numpy下fft模块提供了丰富的fft函数,几种常用的在这里记录一下使用方式
fft
输入实数samples,如果输入的sample是带虚数部分的话,虚数部分会被默认删除。
t=np.arange(12)
b=np.sin(t)
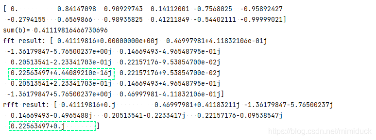
print(b)
print("sum(b)=", np.sum(b))
s = np.fft.fft(b)
print(s)
运行结果截图如下

从图中可以看到,
-
[0]是一个实数,实数部分是所有input中各个元素之和。
-
[i]与[N-i]共轭;输入的N如果是偶数,那么[N/2]没有共轭的元素。
rfft
rfft其实就是对fft的结果输出做了省略。 针对刚刚提到的共轭特性,其实输出结果是要保留(N+1)//2个结果就可以了。
t=np.arange(12)
b=np.sin(t)
print(b)
print("sum(b)=", np.sum(b))
s = np.fft.fft(b)
print("fft result:", s)
s = np.fft.rfft(b)
print("rfft result:", s)
fftfreq
返回fft的频率节点
上面的fft和rfft将时域数据转为频域,得到的数据的bin是哪些范围?
可以通过fftfreq来获取
第一个参数n是时域数据的数据个数,第二个参数d是表示每一个bin的尺度。一般是
1/sample_rate
t=np.arange(12)
b=np.sin(t)
print(b)
print("sum(b)=", np.sum(b))
s = np.fft.fft(b)
print("fft result:", s)
s = np.fft.rfft(b)
print("rfft result:", s)
s= np.fft.fftfreq(12, d=1/8000)
print(s)
其结果为
[ 0. 666.66666667 1333.33333333 2000.
2666.66666667 3333.33333333 -4000. -3333.33333333
-2666.66666667 -2000. -1333.33333333 -666.66666667]
那么结合rfft的数据就有
| Bin | Range | Value |
|---|---|---|
| bin[1] | 1~667HZ | 0.46997981+0.41183211j |
| bin[2] | 667~1334HZ | -1.36179847-5.76500237j |
| bin[3] | 1334~2000HZ | 0.14669493-0.4965488j |
| bin[4] | 2000~2667HZ | 0.20513541-0.2233417j |
| bin[5] | 2667~3333HZ | 0.22157176-0.09538547j |
| bin[6] | 3333~4kHZ | 0.22563497+0.j |
ifft
ifft是逆向fft操作,代码如下
import numpy as np
t=np.arange(12)
b=np.sin(t)
print(b)
s = np.fft.fft(b)
#print(s)
y = np.fft.ifft(s)
print("restore:", y)

它的结果虽然也是复数,但是在实数部分,可以看到,就是结果;
所以也可以直接输出实数部分
np.fft.ifft(s).real
irfft
irfft是配合rfft使用的; 上面的例子可以看到,如果信号长度是n, 那么fft的输出结果的长度也是n;
但是rfft的结果是n//2+1;
irfft匹配的是rfft,所以它的参数长度与ifft是不同的;两者也不可混用。
import numpy as np
t=np.arange(12)
b=np.sin(t)
print(b)
s = np.fft.rfft(b)
#print(s)
y = np.fft.irfft(s)
print("restore:", y)
版权声明:本文为mimiduck原创文章,遵循 CC 4.0 BY-SA 版权协议,转载请附上原文出处链接和本声明。