FM
在推荐系统中,经常会碰到电影评分这样高度稀疏的数据,在之前的
个人总结:推荐算法篇(附协同过滤等) 综述
的基于模型的协同过滤中,提到了
FunkSVD(LFM,Latent Factor Model)
,通过设置隐含特征,进行矩阵分解,来实现对未知评分的预测。这里FM,和LFM一样,也是
隐变量
模型。
问题背景
传统逻辑回归认为特征直接是相互独立的,但是很多情况下特征之间的依赖关系不可忽视,因此需进行特征组合,但是大多数业务场景下,类别特征做完onehot后会变得非常稀疏,尤其是特征组合后,特征空间变得很大,而FM就是为了解决特征组合下数据稀疏所带来的问题。
由线性回归说起
一般的线性模型定义如下,很直观可以看出特征均单独出现。
引入二阶多项式,可以引入特征之间的依赖关系
二阶特征的参数共有n(n – 1)/2种,且任意参数间相互独立,并且在进行参数估计时发现,对于这些二次项的参数,都需要大量的非零样本来进行求解,
但是很多时候特征空间是相当稀疏的,这种情况下参数的估计值变得相当不准确。
二阶FM原理
FM引入
矩阵分解
的思路,对交叉项的系数矩阵进行了如下分解:
这个分解的思想是:由于
特征之间不是相互独立
的,因此可以使用一个
隐因子
来串联,类似于推荐算法中将一个打分矩阵分解为user矩阵和item矩阵,也就是前面提到的FunkSVD(LFM,Latent Factor Model),每个user和item都可以用一个隐向量来表示,

FM采用类似思想,将所有二次项系数组成为一个对称矩阵W,W可被分解为V^T*V
V的第j列vj即为第j维特征的隐向量,每一个特征对应一个隐变量
,即
特征向量xi和xj的交叉项系数就等于xi对应的隐向量与xj对应的隐向量的内积
,即每个参数
![]()
。
其中
![]()
为超参数
,
表示隐向量的长度
,因此wij可表示为
两个特征xi和xj的特征组合的权重值,通过特征对应的向量vi和vj的内积表示,这
本质上是在对特征进行embedding化表征
。
于是模型可以表示为
我们将向量v按行拼成长方阵V
交互矩阵
这里用到了一个结论:
当k足够大,对于任意对称正定的实矩阵
![]()
,均存在实矩阵
![]()
,使得成立
![]()
。
![]()
的对称性可以得到保证,那么如何保证正定性呢?因为我们只关心
互异特征
之间的相互关系,因此
![]()
的对角线元素是可以任意取值的,只需将其取的足够大,就可以保证
![]()
的正定性。
我们希望k取得足够大,但是在高度稀疏的场景下,由于没有足够的样本来估计交互矩阵,因此k通常取得较小。实际上对k(FM的
表达能力
)的限制,一定程度上可以提高模型的泛化能力。
复杂度分析
直观上看FM的
预测复杂度
为O(kn^2),通过化简可以优化至O(kn)
实际应用中,n(特征维数)往往很大,如果是O(kn^2),就完全没办法被工业界使用了,所以要进行算法复杂度优化。这也是为什么
LR(算法复杂度和特征数量n成线性关系)
在CTR业界被广泛应用的原因。
在高度稀疏的场景中,特征向量绝大部分分量为0,而关于i的求和只需对非零元素进行,于是复杂度变成了
![]()
。因此,FM参数训练的复杂度也是
O(kn)
(一共有n个隐向量,每个隐向量的长度为k,所以参数量是kn,而不是原始的O(n^2)个w,k往往是很小的,远小于n)。
再看看FM的
训练复杂度,
利用SGD训练模型,模型各个参数的梯度如下:
其中
![]()
是隐向量
![]()
的第f个元素,
![]()
只与f有关,而与i无关,每次迭代过程中,只需计算一次所有f的
![]()
,就能方便得到所有
![]()
的梯度。显然计算所有f的
![]()
的复杂度是
O(kn)
。已知
![]()
时,计算每个参数梯度的复杂度是O(1),得到梯度后,更新每个参数的复杂度是O(1),模型参数一共有nk+n+1个。因此,FM参数训练的复杂度也是
O(kn)
。
综上可知,
FM可以在线性时间训练和预测
,是一种非常高效的模型。
关于隐向量
这里的vi 是xi 特征的低纬稠密表达,
实际中隐向量的长度通常远小于特征维度N(一般3、4左右)
。在实际的CTR场景中,数据都是很稀疏的category特征,通常表示成离散的one-hot形式,这种编码方式,使得one-hot vector非常长,而且很稀疏,同时特征总量也骤然增加,达到千万级甚至亿级别都是有可能的,而实际上的category特征数目可能只有几百维。
FM学到的隐向量可以看做是特征的一种embedding表示,把离散特征转化为Dense Feature,这种Dense Feature还可以后续和DNN来结合,作为DNN的输入,事实上用于DNN的CTR也是这个思路来做的
。
多阶FM
可以任意刻画d
![]()
个特征向量的相互关系
虽然理论上FM可以对高阶特征组合进行建模,但实际上因为计算复杂度的原因一般都只用到了二阶特征组合。
回归与分类
通常优化函数构造为
回归
在回归问题中,一般使用最小平方误差
二分类
1. hinge loss
当y = +1时
当y = -1时
模型训练后用
![]()
的正负号来预测x的分类。
2. logit loss
在进行二分类时,FM的输出要经过sigmoid变换,这与Logistic回归是一样的。
可见,
![]()
和
![]()
越接近,损失越小。
优化方法
目前包括三种
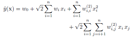
回顾一下模型:
若记模型的参数为
对于任意
![]()
,存在两个与θ取值无关的函数
和
。使得成立
具体有
红色部分为
,蓝色部分为
。
通常计算只用计算
,而
则利用
![]()
来计算。
所以
![]()
关于θ的偏导数为
我们的目标是整体损失函数
于是FM的最优化问题就变为
加入L2
正则化
,变为
参数集
![]()
通常较大,如果每个参数
![]()
都对应一个正则化系数,那么这些正则化系数的确定将会变得很繁琐。因此考虑
分组
策略,即先对参数进行分组,然后分在同一个组中的参数适用同一个正则化参数,从而减少正则化系数的个数。具体可以:
![]()
单独一组,
![]()
按照
特征分量的意义
可以分成几个组,从而正则化系数集为
![]()
表示参数
![]()
被分到第
![]()
组。
正则化系数通常通过
网格搜索
来确定。
使用随机梯度下降训练FM模型,矩阵V的初始化采用符合正态分布
![]()
的随机初始化。
可见对于一个给定的样本
![]()
,
训练时
计算复杂度为
![]()
。对于一轮迭代计算复杂度就是
![]()
。
回归时使用均方误差
在分类时使用logit loss
FM与SVM的比较
我们都知道SVM的决策函数为
其中n为样本数量,K为核函数。前面的yi αi以及xi合在一起就是wi。于是线性的SVM决策函数可以写为
如果使用多项式核
当d=2时,模型函数可以表示为
这里就出现了二次项,可以看做是特征组合,和FM的二次项十分相似。但是
区别
在于,SVM的二元特征交叉参数
![]()
是
独立
的,而FM的二元特征参数

是由两个向量相乘,由于其他参数也可能用到这两个向量中的某一个,于是
该参数就与其他参数相互影响,并非独立,比如<vi, vj>和<vi, vk>不是相互独立的
。
而多项式SVM
在稀疏条件下并没有很好的表现
,这是因为它需要在
训练集上共现才能被学习,而稀疏条件下无法达到这种条件
,因此表现不如人意,而FM可以提取更深层次的抽象意义,表现更加良好。同时,
FM的训练和预测复杂度是线性的
,
而二阶多项式核SVM需要计算核矩阵,核矩阵复杂度就是N平方
。
从FM到FFM
举个例子,假设有三个字段分别可以代表媒体,广告主和具体商品,性别。其中媒体有5种数据,广告主有10种数据,性别有男女2种,经过onehot后,每个样本有17个特征,其中只有3个特征非空。
如果使用FM,则17个特征,每个特征对应1个隐变量,
一共有17个隐变量
。我们的W矩阵最后就是这17个隐变量两两相乘而得到。
如果使用FFM,则17个特征,每个特征对应3个隐变量,即每个特征对应每一个
类型(field)
有一个隐变量,具体来说就是每个特征对应媒体,广告主,性别三个field各有一个隐变量。
一共有17×3个隐变量
,参数扩大了3倍。
类似FM,可以得出FFM模型
表示特征i与特征j互作用时对应的向量,f_j代表j对应的field。
举个例子:
上图的红色数字对应的field,蓝色对应的是特征,绿色对应的是值(1是因为离散特征被onehot了,连续特征未进行处理,也可以离散化处理)。
损失函数与优化
与FM类似,FFM也可以用于回归和分类问题,当面对回归问题时使用MSE,面对分类问题时使用logistic loss
这里假设是分类问题,于是损失函数可以定义为
同理我们可以采用
随机梯度下降
来进行优化。
国立台湾大学在Criteo比赛中提出了FFM,并对其进行了C++实现:
github
。该版本省略了常数和一次项,模型方程如下:
且在该版本中采用Logistic loss以及L2惩罚项作为损失函数,因此
该版本
只能用于二元分类问题
FFM数据预处理
样本归一化
需对样本进行归一化,防止数据溢出,造成梯度计算失败。即在该版本中设置
pa.norm
为真。
特征归一化
由于数值特征和类别特征本身处于不同量纲,因此在样本归一化后,容易产生诡异的样本值,如销量5000和性别男性(1),归一化后使得性别的值略小于0.0002,而销量近似1,这使得性别
在最后的模型方程中产生很小的作用。
因此需要对
每个特征再次单独进行归一化
。
零值特征
零值特征在模型方程中无法体现作用,因此被省略。这会为稀疏样本的运行提升速度。
Wide&Deep
wide&deep主要分为两部分,wide部分就是传统的LR模型,deep部分就是DNN,整个模型结构如下
wide部分是一个LR模型,而Deep部分就是DNN。Wide&Deep将两者的优点结合到一起。
Wide部分
wide输入的特征部分包括
基础特征和交叉特征
,这里的交叉特征是
人工构建
的,通过对数据的了解,构建这种特征可以捕捉
两个特征
间的交互,起到添加
非线性
的作用。交叉特征可表示为
![]()
是布偶变量,两项特征交叉,于是
只有该两项特征对应的
![]()
为1
,
其余为0
,于是
![]()
只与对应的两项特征的值有关,只有特征值均为1时,
![]()
才为1。比如性别和语言的交叉特征,我们认定性别为男,语言为中文时,该交叉特征为1,除此之外其他条件均为0。
最后的wide部分的输出为
Deep部分
deep部分先将
稀疏高维的类别特征
转化为
低维的稠密向量
,通常也是使用
embedding
的方式,嵌入向量的维度数量级通常在
O(10)到O(100)
,然后将得到的嵌入向量输入隐层,进行
前向传播
,这里用的激活函数一般是
ReLU
。
l代表层数,f是激活函数。W、a、b分别代表权重,输入以及偏置。最终通过
反向传播
更新嵌入向量。
Joint of Wide&Deep
从模型的图中,可以很清晰地看出是将Wide与Deep模型进行了融合,其模型为
也就是将两部分的值简单相加,再加入偏置后输入激活函数,就得到了最后的估计值。
联合训练
Wide&Deep使用的是联合训练,而GBDT+LR采用的是集成训练。集成训练是独立训练,也就是说先训练GBDT,再训练LR。而联合训练是同时训练两部分同时产出,然后使用反向传播进行优化。
在训练时,Wide部分主要是为了弥补Deep部分的缺陷,所以主要采用了小规模的交叉特征实现,使用Follow-the-regularized-leader(FTRL)算法以及L1正则化算子。Deep部分使用AdaGrad算法进行优化。
从FM和Wide&Deep到DeepFM
由于在Wide&Deep中wide部分需要人工构建交叉特征,而FM的优势就在于能够自动构建交叉特征,所以
wide部分直接使用FM
,就能省去构建人工特征的部分。
在输入上,
FM和DNN共享原始特征
,保证模型特征的准确与一致性。下面是DeepFM的基本结构
虽然这里提到了Field,但是纵观论文通篇没有提到FFM,所以这里生成embedding还是使用的FM。这里Field内部的特征为特征进行onehot编码后的表示。
最后输出表示为
FM部分
结合公式来看
Inner Product
部分就体现了
二阶
交叉特征,而
Addition
部分体现的是
一阶
特征。
Deep部分
首先看一下子网络细节
每个field在进行onehot后输入网络,由于field特征长度不同,但是子网络输出的向量需具有相同维度,论文中设置的embedding size为5。当输入一个样本时,对于每一个field,我们可以看到,
只有在为1的那个特征
,会将该特征对应的所有权重(这里是5个)映射为embedding向量,也就是说,
训练第一层的权重就是在训练embedding,embedding就隐藏在权重中
。
这里需要提醒的是,
FM训练的隐向量数量是和onehot后对应的特征数量相同的
,所以这里其实就通过每次输入不同的样本,可以训练到不同的隐变量(embedding vector)。
关于初始化,文中
没有使用FM预训练embedding
的方法,取而代之的是,
将FM和DNN整合到一起来对embedding进行训练,它们共享第一层的权重。
将embedding的输出表示为
ei是第i个field的embedding,其中m是fields的数量。将这一层的输出继续输出到深度神经网络中,前向传播的过程为
l代表层的深度。a、W、b分别代表输出,权重和偏置。
效果
在多个数据集对比多个算法,显示出了DeepFM的优越性。
调参
使用不同激活函数的效果
Dropout:神经元被保留在网络中的概率
每层神经元的数量
隐层的数量
网络形状