二叉树的之字形层序遍历

  • Post author:
  • Post category:其他




二叉树的之字形层序遍历



1、参考资料

https://www.nowcoder.com/practice/47e1687126fa461e8a3aff8632aa5559



2、题目要求


题目描述

给定一个二叉树,返回该二叉树的之字形层序遍历,(第一层从左向右,下一层从右向左,一直这样交替)

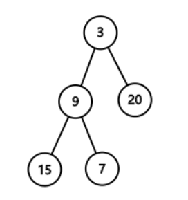
例如:给定的二叉树是

{3,9,20,#,#,15,7}

image-20200905002707893

该二叉树之字形层序遍历的结果是

[
[3],
[20,9],
[15,7]
]


示例

输入

{1,#,2}

输出

[[1],[2]]



3、代码思路

基于双栈的层序遍历

  1. 我们可以使用

    queue

    对二叉树进行层序遍历,现在要求进行之字形层序遍历,即第一层正序输出,第二层逆序输出,第三层又正序输出,以此类推。。。
  2. 但凡牵涉到逆序,我们就会想到栈这个数据结构,因为栈先进后出,先进入栈的数据最后出栈,所以栈能实现逆序的效果
  3. 起初写代码的时候我卡壳了,因为我只用了一个栈,抠破脑袋也捋清思路,现在想想,这不挺简单的一个道理嘛~~~
  4. 假设我们现在遍历到二叉树第二层,首先,为了实现逆序遍历,二叉树第二层的节点肯定都保存在一个栈中(

    stack1

    ),这是毋庸置疑的,那么下一层节点咋办呢?肯定不能往

    stack1

    里面塞,因为塞了之后就把

    stack1

    的栈顶给封住了,第二层剩余的节点就取不出来了,所以我们还需要一个栈(

    stack2

    )存储下一层的节点
  5. 在经历上述操作后,

    stack1

    变为了空栈,

    stack2

    存储了第三层的节点,然后我们接着遍历

    stack2

    ,将第四层的节点存入

    stack1

  6. 仔细想了想,我这里的设计思路还有点牛逼(自恋一下),引用

    JVM

    幸存者区的一句话:谁空谁是

    to

    ,这点在我代码中也有体现,

    stackOut

    表示存储当前层节点的栈,

    stackIn

    表示存储下一层节点的栈,

    stack1



    stack2

    的身份在

    stackOut



    stackIn

    之间不停地切换
  7. 关于遍历的方向:从左往右遍历(正向遍历)时,我们需要先将当前节点的左节点

    stackIn

    中;从右往左遍历(反向遍历)时,我们需要先将当前节点的右节点

    stackIn


举例说明

  1. 以下面这颗二叉树举例说明,先将根节点

    1

    压入

    stack1

          1 
         / \
        2    3
       /      \
      4        5
    
  2. 首先遍历的方向为正向遍历(

    isForward = true

    ,从左往右遍历)时

    1. 此时

      stack1



      stackOut



      stack2



      stackIn

      ,遍历完成后

      stack1

      为空,

      stack2

      中存储着第二层的节点
    2. 遍历时不断

      pop()



      stackOut

      中的节点,添加至

      ArrayList

      中,得到第一层的顺序遍历
          1         <-------当前层
         / \
        2    3
       /      \
      4        5
    
  3. 遍历完第一层后转换方向,变为从右往左遍历(

    isForward = false

    ),

    1. 此时

      stack2



      stackOut



      stack1



      stackIn

      ,遍历完成后

      stack2

      为空,

      stack1

      中存储着第三层的节点
    2. 遍历时不断

      pop()



      stackOut

      中的节点,添加至

      ArrayList

      中,得到第二层的逆序遍历
          1
         / \
        2    3      <-------当前层
       /      \
      4        5
    
  4. 以此类推



4、代码实现

代码

class Solution {
    public ArrayList<ArrayList<Integer>> zigzagLevelOrder(TreeNode root) {

        ArrayList<ArrayList<Integer>> zigzagOrder = new ArrayList<>();

        // Guard safe
        if (root == null) {
            return zigzagOrder;
        }

        // 双栈
        Deque<TreeNode> stack1 = new LinkedList<>();
        Deque<TreeNode> stack2 = new LinkedList<>();
        stack1.push(root); // 将根节点压入栈中
        boolean isForword = true; // 初始顺序为从左往右遍历

        // 但凡只要有一个栈中还有元素,则证明当前层还有节点
        while (stack1.isEmpty() == false || stack2.isEmpty() == false) {
            // 谁空谁来存储下一层节的点,谁不空谁存储了当前层节点
            Deque<TreeNode> stackOut = stack1.isEmpty() ? stack2 : stack1;
            Deque<TreeNode> stackIn = stack1.isEmpty() ? stack1 : stack2;
            zigzagOrder.add(new ArrayList<>());
            // 遍历完当前层的节点
            while (stackOut.isEmpty() == false) {
                // 栈顶节点出栈
                TreeNode curNode = stackOut.pop();
                // 添加至 ArrayList
                zigzagOrder.get(zigzagOrder.size() - 1).add(curNode.val);
                if (isForword) {
                    // 如果方向是从左往右,则先遍历当前节点的左节点
                    pushNode(stackIn, curNode.left);
                    pushNode(stackIn, curNode.right);
                } else {
                    // 如果方向是从右往左,则先遍历当前节点的右节点
                    pushNode(stackIn, curNode.right);
                    pushNode(stackIn, curNode.left);
                }
            }
            isForword = !isForword; // 改变方向
        }

        return zigzagOrder;
    }

    private void pushNode(Deque<TreeNode> stack, TreeNode node) {
        if (node != null) {
            stack.push(node);
        }
    }
}

class TreeNode {
    int val = 0;
    TreeNode left = null;
    TreeNode right = null;

    public TreeNode(int val) {
        this.val = val;
    }
}



版权声明:本文为oneby1314原创文章,遵循 CC 4.0 BY-SA 版权协议,转载请附上原文出处链接和本声明。