基于MATLAB的迭代求解线性方程组(附完整代码与算法)

  • Post author:
  • Post category:其他


前言

在之前的文章中更新了线性方程组的基本解法,大型方程组的分解求法。本节将介绍线性方程组的迭代求解。

一. 三个变换

在线性方程组的

迭代求解

中,会用到系数矩阵A的

上三角矩阵



对角矩阵



下三角矩阵

。这三种变化在MATLAB中,可以直接利用函数实现。

1.1 上三角变换

triu(A,1)

1.2 对角变换

diag(A)

1.3 下三角变换

tril(A,-1)

针对此类矩阵的解释,可以参看这篇文章:


MATLAB:矩阵基础_唠嗑!的博客-CSDN博客

例题1

对以下矩阵A做此三种变换。

A=\begin{bmatrix}1&2&-2\\1&1&1\\2&2&1 \end{}

解:

MATLAB代码如下:

clc;clear;
A=[1 2 -3;1 1 1;2 2 1];

%上三角变换
up=triu(A,1)

%对角变换
diag=diag(A)

%下三角变换
down=tril(A,-1)

运行结果:

up =

0     2    -3

0     0     1

0     0     0


diag =

1

1

1


down =

0     0     0

1     0     0

2     2     0


分析:

二. Sylvester方程

Sylvester方程的形式如下:

AX+XB=C

此方程中,A是
m\times m
矩阵,B是
n\times n
矩阵,C和X都是
m\times n
矩阵。

在MATLAB中可以直接调用函数求解,如下:

X=sylvester(A,B,C)

例题2

求解Sylvester方程AX+XB=C的解X。其中A,B,C矩阵如下:

A=\begin{bmatrix}1&0&2&3\\ 4&1&0&2\\ 0&5&5&6\\ 1&7&9&0 \end{}

B=\begin{bmatrix}0&-1\\1&0 \end{}

C=\begin{bmatrix}1&0\\2&0\\0&3\\1&1 \end{}

解:

MATLAB代码如下:

clc;clear;
A=[1 0 2 3;4 1 0 2;0 5 5 6;1 7 9 0];
B=[0 -1;1 0];
C=[1 0;2 0;0 3;1 1];

X=sylvester(A,B,C)

运行结果如下:

X =

0.4732   -0.3664

-0.4006    0.3531

0.3305   -0.1142

0.0774    0.3560

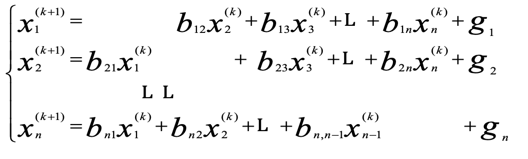
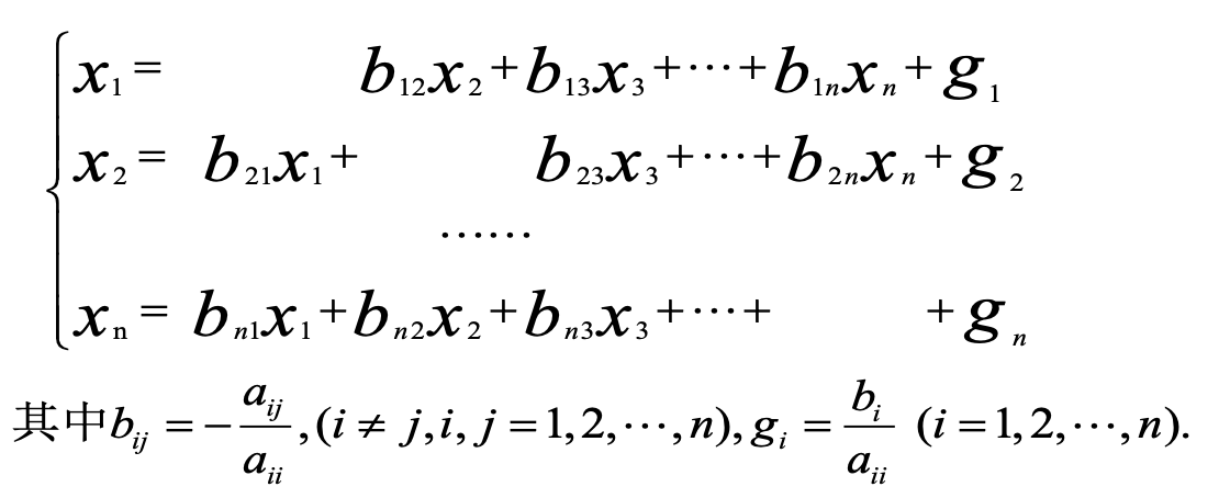
三. Jacobi迭代法

原方程组Ax=b中的矩阵A可以写成,如下:

A=D-L-U

上式子中-L和-U分别为A矩阵的严格下,上三角部分,当然不包含对角元素。其中矩阵D的表达如下:

D=diag[a_{11},a_{22},\cdots,a_{nn}]

根据迭代的思想,x可得如下表达式:

x^{(k+1)}=Bx^{(k)}+f

上式子中的B,f理解如下:

B=D^{-1}(L+U)=I-D^{-1}A,\;f=D^{-1}b

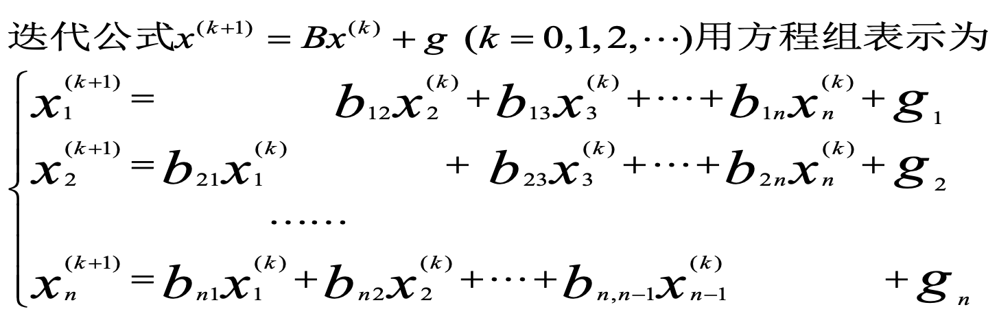
为了更好理解这种迭代形式,将原线性方程组写全,如下:

如果系数矩阵

非奇异

,即
a_{ii}\neq0\quad (i=1,2,\cdots,n)
,那么可得:

运用迭代公式
x^{(k+1)}=Bx^{(k)}+g\quad (k=0,1,2,\cdots)
,最终的方程组如下:

在调用jacobi()函数之前,需要提前编码,我们来看下jacobi函数的内部结构,如下:

function y=jacobi(a,b,x0)
D=diag(diag(a));
U=-triu(a,1);
L=-tril(a,-1);
B=D\(L+U);
f=D\b;
y=B*x0+f;
n=1;
while(norm(y-x0))>=1.0e-6
x0=y;
y=B*x0+f;
n=n+1;
end
n
end

例题3

设x0=0,精度为
10^{-6}
,利用Jacobi方法求解以下方程组。

\begin{cases}10x_1-x_2=9\\-x_1+10x_2-2x_3=7\\-2x_2+10x_3=6 \end{}

解:

MATLAB代码如下:


clc;clear;
a=[10 -1 0;-1 10 -2;0 -2 10];
b=[9;7;6];
jacobi(a,b,[0;0;0])  %注意初始值也为一个矩阵

%对jacobi函数的定义
function y=jacobi(a,b,x0)
D=diag(diag(a));
U=-triu(a,1);
L=-tril(a,-1);
B=D\(L+U);
f=D\b;
y=B*x0+f;
n=1;
while(norm(y-x0))>=1.0e-6
x0=y;
y=B*x0+f;
n=n+1;
end
n
end

运行结果:


n =

11


ans =

0.9958

0.9579

0.7916

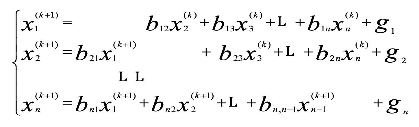
四. Gauss-Seidel迭代法

借助Jacobi的方法,迭代方程也可以如下形式:

x^{(k+1)}=Gx^{(k)}+f

同样地,-L、-U分别为A的严格下、上三角部分,且不包含对角线元素。G,f,D的定义如下:

G=(D-L)^{-1}U,\;f=(D-L)^{-1}b,\;D=diag[a_{11},a_{22},\cdots,a_{nn}]

为了深入理解此种迭代方式,可列出矩阵中的元素。

在迭代计算过程中,需要同时保留两个

近似解

向量
x^{(k)}

x^{(k+1)}
。由此可以把迭代公式改写为如下:


备注:由于显示的原因,上式子中的“L”代表省略号

由此可以在MATLAB中编码seidel()函数,如下:

function y=seidel(a,b,x0)
D=diag(diag(a));
U=-triu(a,1);
L=-tril(a,-1);
G=(D-L)\U;
f=(D-L)\b;
y=G*x0+f;
n=1;
while norm(y-x0)>=1.0e-6
    x0=y;
    y=G*x0+f;
    n=n+1;
end
n
end

例题4

设x0=0,精度为
10^{-6}
,利用Gauss-Seidel方法求解以下方程组。

\begin{cases}10x_1-x_2=9\\-x_1+10x_2-2x_3=7\\-2x_2+10x_3=6 \end{}

解:

MATLAB代码如下:

clc;clear;
a=[10 -1 0;-1 10 -2;0 -2 10];
b=[9;7;6];
seidel(a,b,[0;0;0])

function y=seidel(a,b,x0)
D=diag(diag(a));
U=-triu(a,1);
L=-tril(a,-1);
G=(D-L)\U;
f=(D-L)\b;
y=G*x0+f;
n=1;
while norm(y-x0)>=1.0e-6
    x0=y;
    y=G*x0+f;
    n=n+1;
end
n
end

运行结果:

n =

7


ans =

0.9958

0.9579

0.7916


分析

:此例子可以直接求解。也可能会出现使用Seidel迭代时,结果不收敛的情况。

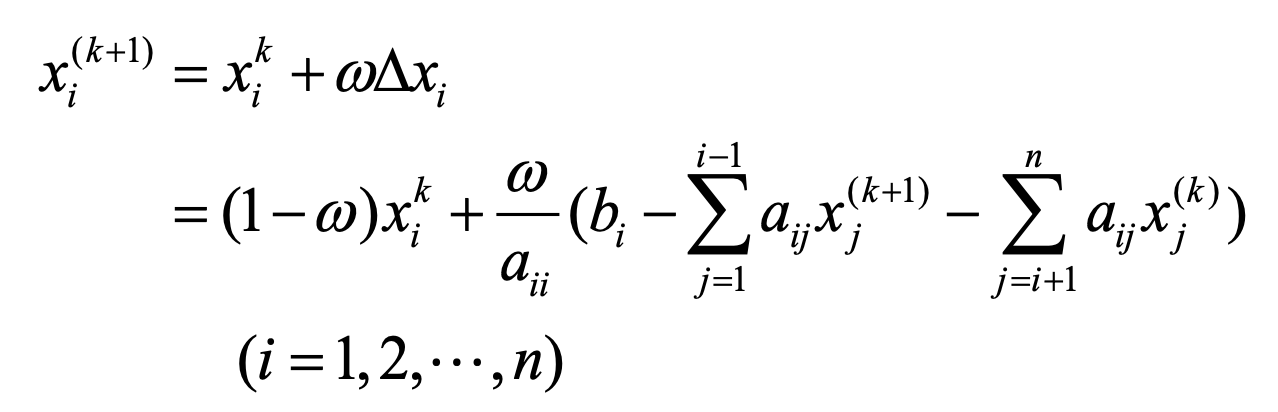
五. SOR迭代法

在某些情况下,Jacobi法和Gauss-Seidel法收敛的过程较慢,为了进一步改进,可以引入一种新的迭代法:

逐次超松弛迭代法

(Succesise Over Relaxation),简记为SQR法。

迭代的公式如下:

X^{(k+1)}=(D-wL)^{-1}((1-w)D+wU)x^{(k)}+w(D-wL)^{-1}b

上式子中,w的最佳值一般在[1,2)之间,具体视情况而定。

松弛法的主题思想是将
\Delta x
乘上一个

参数因子

w来作为修正项,从而得到新的近似解。迭代公式可见如下:

x^{(k+1)}=x^{(k)}+w\Delta x

上式子中的
\Delta x
的计算,可见如下:

由此可得迭代的化简过程,如下:

按照上述式子计算Ax=b的近似解序列的方法,就被称之为松弛法,其中w为

松弛因子

。当w<1时称为低松弛;当w>1时称为超松弛;当w=1时,其实就是Gauss-Seidel迭代。

根据以上过程构造sor函数,MATLAB代码如下:

function y=sor(a,b,w,x0)
D=diag(diag(a)); %形成对角矩阵,其余元素为0
U=-triu(a,1);
L=-tril(a,-1);
M=(D-w*L)\((1-w)*D+w*U);
f=(D-w*L)\b*w;
y=M*x0+f;
n=1;
while norm(y-x0)>=1.0e-6
    x0=y;
    y=M*x0+f;
    n=n+1;
end
n
end

例题5

设x0=0,精度为
10^{-6}
,w=1.103,利用SOR方法求解以下方程组。

\begin{cases}10x_1-x_2=9\\-x_1+10x_2-2x_3=7\\-2x_2+10x_3=6 \end{}

解:

MATLAB代码如下:

clc;clear;
a=[10 -1 0;-1 10 -2;0 -2 10];
b=[9;7;6];
sor(a,b,1.103,[0;0;0])

%函数部分
function y=sor(a,b,w,x0)
D=diag(diag(a)); %形成对角矩阵,其余元素为0
U=-triu(a,1);
L=-tril(a,-1);
M=(D-w*L)\((1-w)*D+w*U);
f=(D-w*L)\b*w;
y=M*x0+f;
n=1;
while norm(y-x0)>=1.0e-6
    x0=y;
    y=M*x0+f;
    n=n+1;
end
n
end

运行结果:

n =

8


ans =

0.9958

0.9579

0.7916

六. 两步迭代法

当线性方程系数矩阵为

对称正定

时,还可以使用一种特殊的迭代法来解决:两步迭代法。迭代的公式,如下:

首先可得:

(D-L)x^{(k+\frac{1}{2})}=Ux^{(k)}+b

(D-U)x^{(k+1)}=Lx^{(k+\1)}=Lx^{(k+\frac{1}{2})}+b

进一步推导可得:

x^{(k+\frac{1}{2})}=(D-L)^{-1}Ux^{(k)}+(D-L)^{-1}b

x^{(k+1)}=(D-U)^{-1}Lx^{(k+\frac{1}{2})}+(D-U)^{-1}b

根据以上计算过程,可以编写twostp()函数,MATLAB代码如下:

function y=twostp(a,b,x0)
D=diag(diag(a));
U=-triu(a,1);
L=-tril(a,-1);
G1=(D-L)\U;f1=(D-L)\b;
G2=(D-U)\L;f2=(D-U)\b;
y=G1*x0+f1;
y=G2*y+f2;
n=1;
while norm(y-x0)>=1.0e-6
    x0=y;
    y=G1*x0+f1;
    y=G2*y+f2;
    n=n+1;
end
n
end

例题6

利用两步法,求解如下方程组:

\begin{pmatrix}10&-1&2&0\\ -1&11&-1&3\\ 2&-1&10&-1\\ 0&3&-1&8\ \end{}\begin{pmatrix}x_1\\x_2\\x_3\\x_4 \end{}=\begin{pmatrix}6\\25\\-11\\15 \end{}

解:

MATLAB代码如下:

clc;clear;
a=[10 -1 2 0;-1 11 -1 3;2 -1 10 3;0 3 -1 8];
b=[6;25;-11;15];
twostp(a,b,[0;0;0;0])

function y=twostp(a,b,x0)
D=diag(diag(a));
U=-triu(a,1);
L=-tril(a,-1);
G1=(D-L)\U;f1=(D-L)\b;
G2=(D-U)\L;f2=(D-U)\b;
y=G1*x0+f1;
y=G2*y+f2;
n=1;
while norm(y-x0)>=1.0e-6
    x0=y;
    y=G1*x0+f1;
    y=G2*y+f2;
    n=n+1;
end
n
end

运行结果:

n =

7


ans =

1.0791

1.9824

-1.4044

0.9560



版权声明:本文为forest_LL原创文章,遵循 CC 4.0 BY-SA 版权协议,转载请附上原文出处链接和本声明。