函数极限连续
第一章 题型
常见奇函数和偶函数
常见的有界函数
需要分左右极限的问题

常见无穷大量排序
常用不等式


常用基本极限
常用等价无穷小

泰勒公式

夹逼定理和定积分原理的方法选择
极限常用公式
常用单调性的判定方法
用递推函数来判断是通过单调性来做还是通过先求出极限后证明来做
先求出极限后证明方法。
判断积分无穷小阶数常用方法
上限可以不为一个常数,可以是一个函数,n则为这个函数的阶数。
等价变上限积分替换

数列极限先斩后奏
被积函数阶的无穷小比较公式
导数与微分
连续可导可微之间的关系
常用求导公式
特殊函数求导公式

高阶导数求导公式
分段函数的可导性判断方法
方法一:
定义法
导数存在和极限存在的充要条件
用导数存在推极限存在时要求方框趋向0,用极限存在推导数存在要求方框不仅仅从两个方向都趋向0

分母的方框可推广为三角,要求三角趋向于0且与方框同阶
带有绝对值的函数可导性结论

如果没有连续,函数可导不能推出函数绝对值可导,函数绝对值也不能推出函数可导。
如果函数连续,则在0点如果导数的绝对值为0(函数切线为水平线),则函数可导能推出函数绝对值可导,函数绝对值可导也可以推出函数可导(因为不会产生尖点)


二阶导数存在,洛必达只能用到一阶,需用定义求解

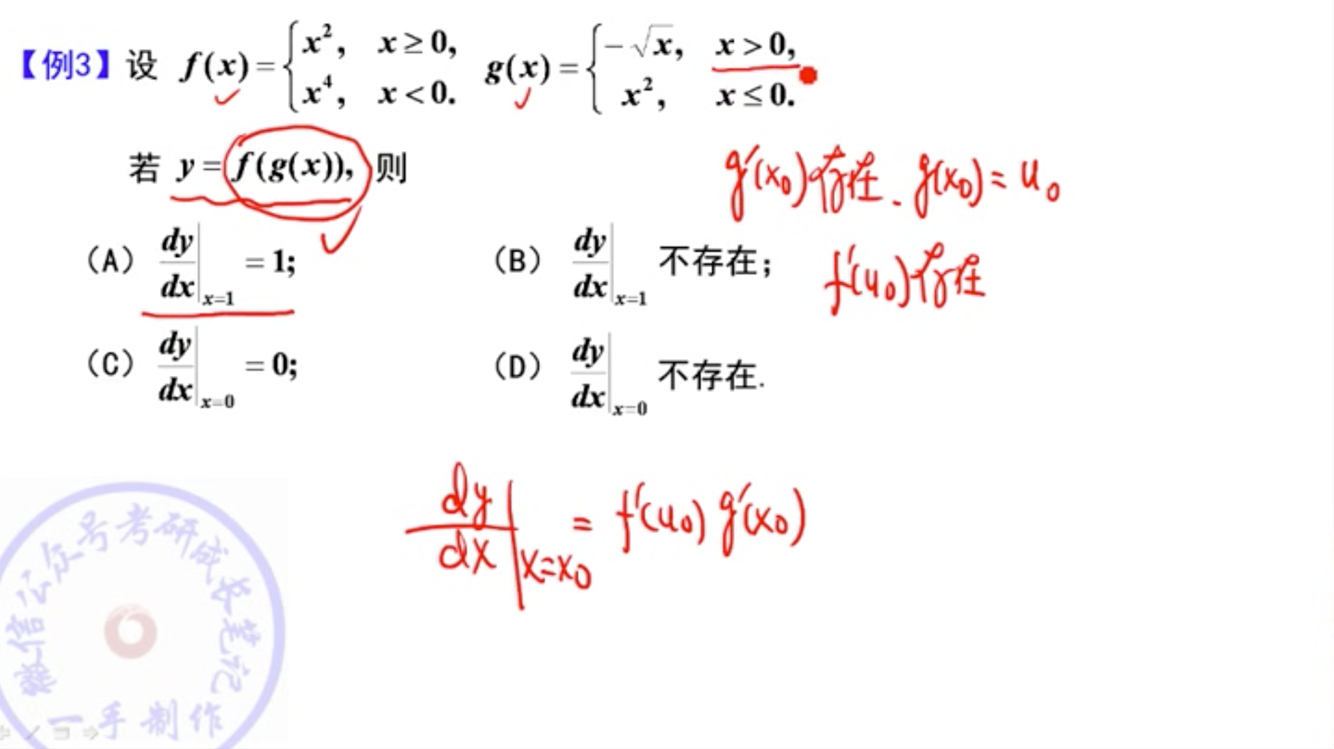
复合函数链导法


内层导数存在外层导数存在则符合函数导数存在,但是内存函数导数不存在或外层导数不存在并 不能推出符合函数导数不存在
隐函数求导,通过原函数化简
隐函数定点求导只需求出定点的导数值
判断参数方程是否用公式
求二阶导数用定义

求二阶导数定点值用公式
反函数求导,注意反函数的自变量是y
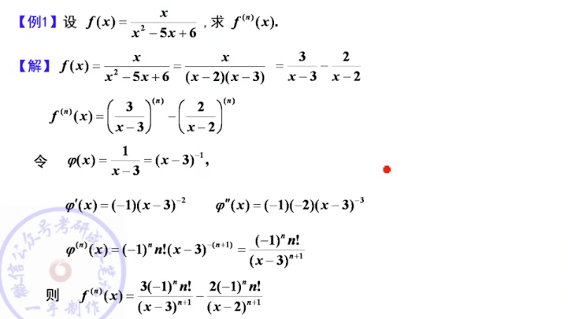
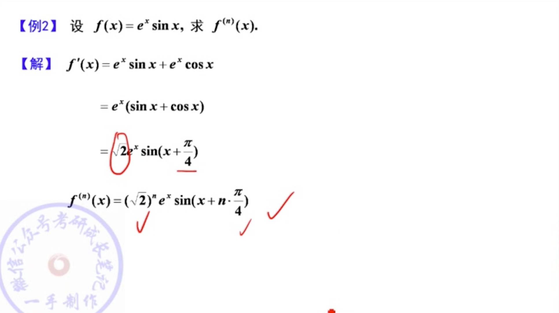
高阶导数常用方法


重要三角公式

导数的基本应用
微分中值定理

渐近线公式
曲率计算公式
求斜渐近线注意事项
将方程化成ax+b+O(x),直接求出斜渐近线

遇到要e
x
需要讨论正无穷和负无穷

遇到arctanx需要分别讨论正无穷和负无穷

方程根的存在性及其个数求解方法
单调性判断根存在,出现端点值不好算,找出区间好算的点解决
方程求导后求不出等于0的点,带入0周围的点找出根
带参数的方程根的问题,先分离参数

证明函数不等式的方法
常用不等式证明函数不等式
常数不等式证明,通过常数变变量
遇到高阶导数,常用泰勒公式和拉格朗日
利用凹凸性证明不等式

微分中值定理有关证明题


微分不等式构造辅助函数一般规律

存在两个点的微分中值定理证明题解题方法
没有分数用拉格朗日,有分数用柯西(两端点不要求不一样)


通过第一问来判断分段点(要求两端点不一样)再分别使用拉格朗日和柯西
待定中间点求出最终等式分析c点应该是什么值(要求不相等)

含高阶导数的微分中值定理证明题

用来泰勒公式之后,看不等式推断x的取值,把4除到分母上去,发现分母是(b-a)/2,要使两个泰勒公式中都出现这个值,确定x选取(a+b)/2
一般选取导数值信息来展开泰勒公式,通过函数值来带入x
根据已知条件推断出导数值信息,再用函数值带入(同上面存在两个点的微分中值定理一样,待定该点求出来了之后,通过分析判断c的值)
一元函数积分学
原函数的存在性
连续,可积,存在原函数之间的关系,
可导可以推连续,所以可导可以推出所有

变上限积分和被积函数之间的可导性判定
不定积分基本性质
主要的积分法
常用化简公式

几个积不出的积分

常见函数积分方法
基本积分公式
带绝对值的函数可能需要分段讨论
定积分
定积分的题型
定积分概念(本质就是n个矩形面积和)
定积分的存在性和计算方法

变上限积分及其应用
定积分常用不等式
积分中值定理
极限上下限相差一个常数求极限常用积分中值定理
极限上下限都为常数变量在里面,考虑夹逼定理和积分中值定理
定积分的几何意义要求上限一定大于下限
定积分的几何应用(圆)
带有周期性的计算,平方项开根号带绝对值,绝对值分区间计算
上下限为0到π的积分三角函数带有n次方的用公式
遇到根号下平方考虑三角代换
遇到求积分的积分大概率里面的积分算不出来,所以通过分部积分制造里面积分的导数计算,分部积分时需要考虑被积函数的变换
分子分母都是三角函数是线性组合的积分
上下限积分为常数时可以考虑变量代换(
x=a+b-t
)

给定一个函数是函数加定积分形式,通过积分求这个定积分
变上限积分可导性判断
变上限积分奇偶性



0比0的极限通过消除分母0因子来求


当积分上下限大小不一样的时候,凑上下限
题目里面存在单调性条件,则转换为变上限积分来解决

导函数的和函数通过积分中值定理和变上限积分联系起来
当遇到平方的时候考虑柯西积分不等式
反常积分


比较判别法(新大纲)











无穷区间看最高次,趋向于0看最低次
定积分的应用



微分方程




常系数线性方程组
如果发现不是可分离变量,不是其次,不是线性处理方法


知道解找方程,先找其次的解,然后找到特征根,定下来其次之后再求非其次

多元函数微分学


没有洛必达法则
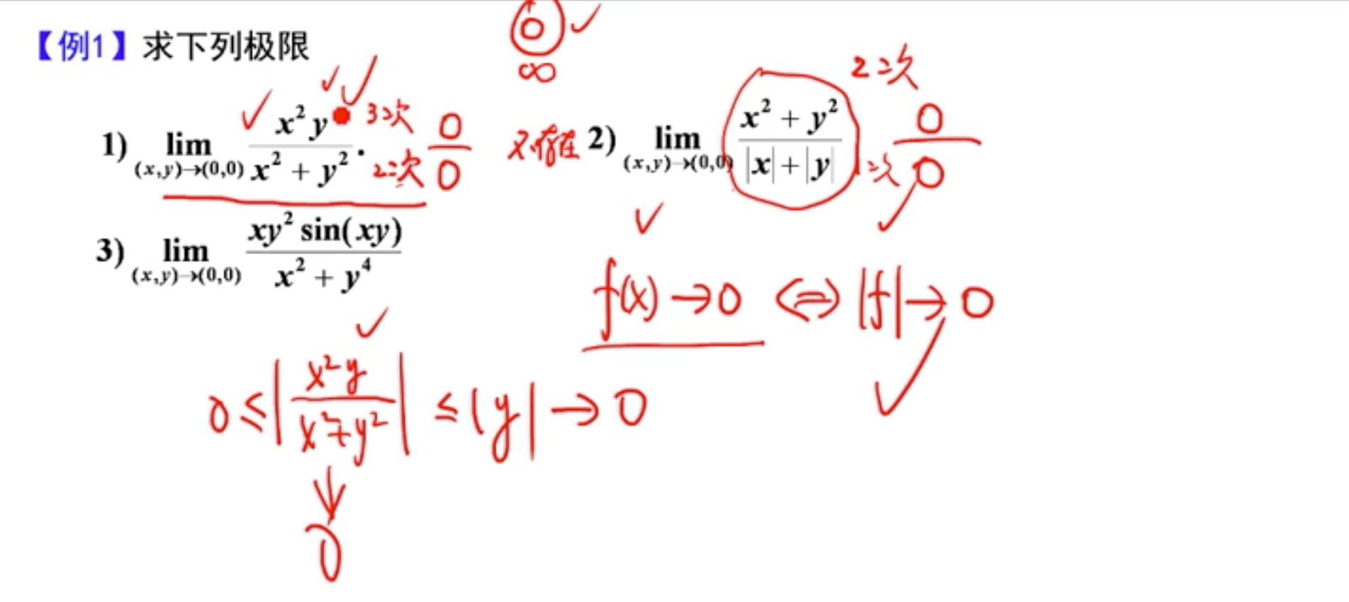
重极限,判断次数,取绝对值夹逼定理


2ab<=a
2
+b
2
证明重极限不存在
连续

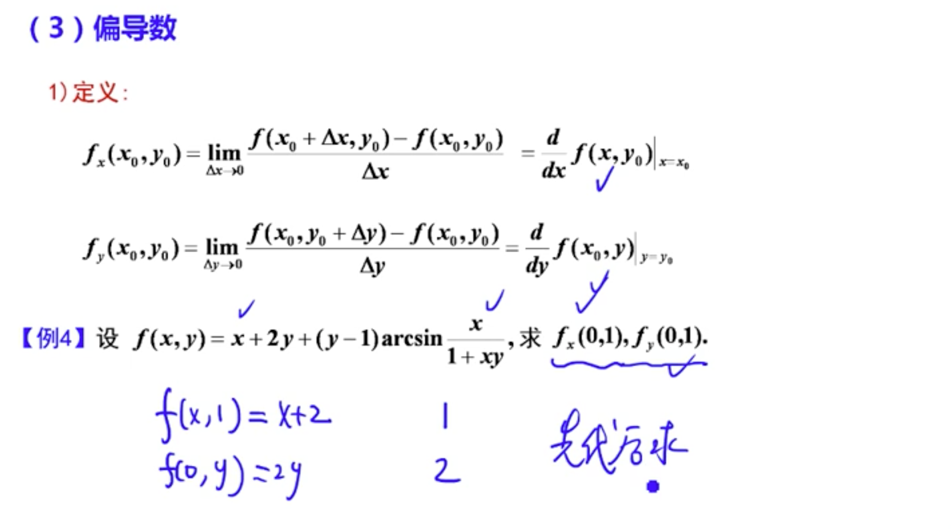
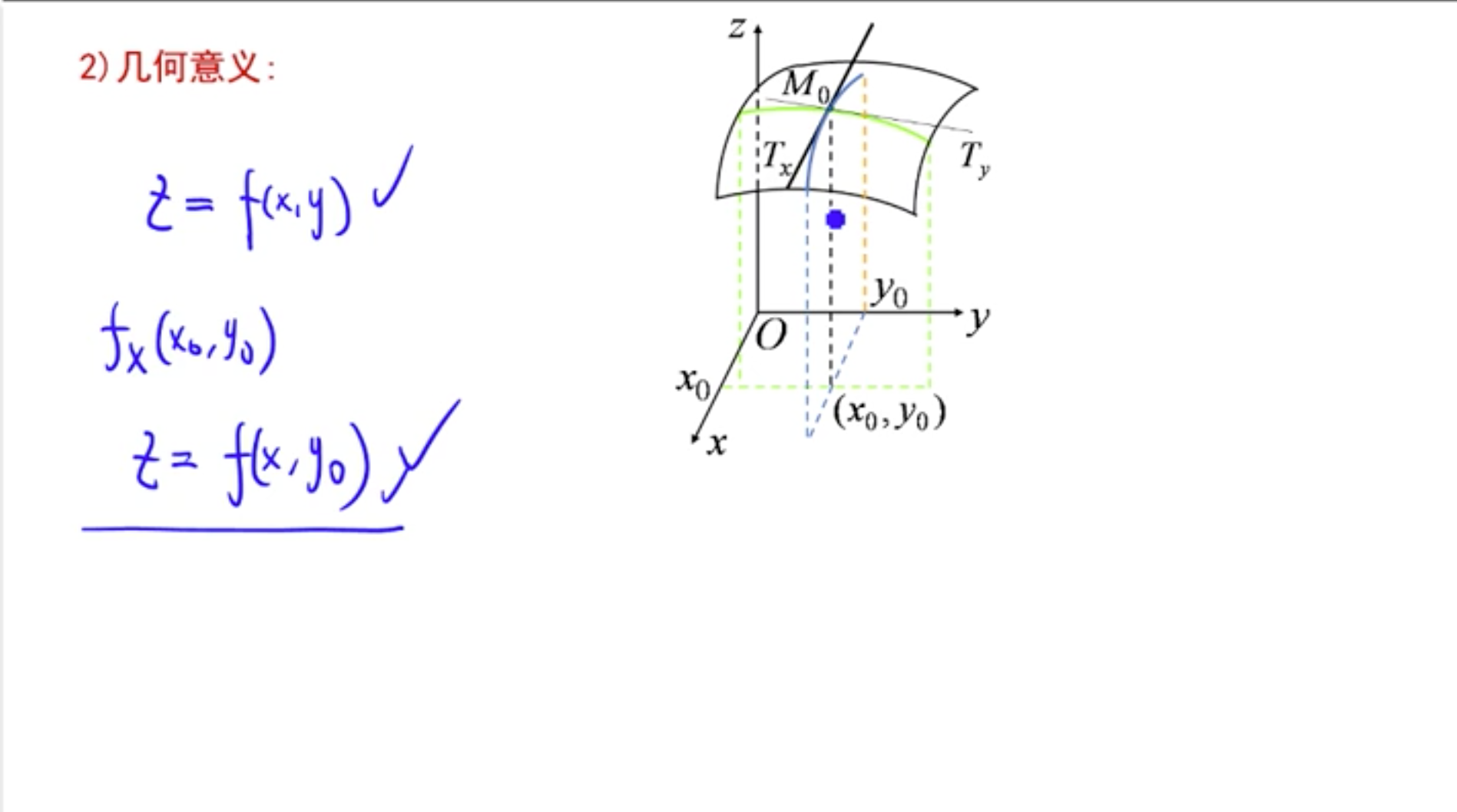
偏导数


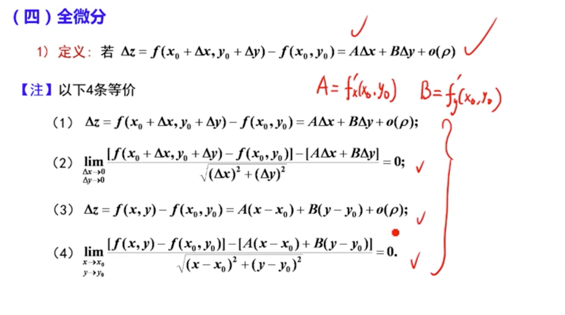
全微分



判断多元微分连续可导和可微
偏导数与全微分的计算

求二重导数可以先求一重导数,然后带入具体点求二重导数
知道偏导数求函数用偏积分
当求原函数的时候定下来一个未知数就带入一个条件,如果题目中没有就创造条件
知道带参数x和y的偏导数就对y和x求导取等式解除参数
知道全微分求函数本身
如果一个方程告诉这个方程对一个变量的偏导数不等于0,就意味着这个变量是方程内其他变量的函数


多元函数的极值和最值




隐函数找驻点,需要用所有变量表示
证明函数在该点去心邻域内都大于或小于某一直的道极大或极小值


几何题

二重积分


一重积分是面积,二重积分是体积




质心形心公式
二重积分的中值定理(新大纲)
二重积分中值定理例题

适合用极坐标解题的积分


奇函数围成的区域
可以做关于奇函数关于y轴对称的辅助线
遇到不在y轴和x轴的偏心圆,先平移把奇点移到圆心
参数方程可以先用直角坐标带入然后再用参数方程换元
积分用什么符号和积分值没有关系