弹性网络_线性回归(7)—— 弹性网络

  • Post author:
  • Post category:其他


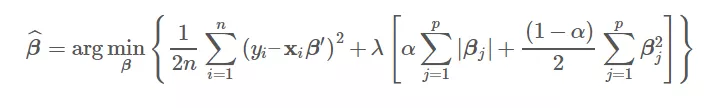
之前有同学问,对于岭回归和Lasso该如何选择呢?岭回归在于 “抑制住回归系数的锋芒,不让 系数那么大,但是不会让 系数变为0”. 如果在你的数据中每个变量都特别重要,你不想有些变量被剔除,那么岭回归可能比较适合你。Lasso回归在于 “稀疏是这个世界的真相,随着lambda的变大,它会让一些回归系数变为0”。如果你的数据中变量特别多,希望挑选出一些特征变量,那么Lasso回归可能比较适合你。此外,还有一种方法将岭回归和Lasso回归的优势综合了起来——弹性网络。它将L1惩罚与L2惩罚同时引入到目标函数的最小化过程中,在获得稀疏系数的同时,维持了岭回归的正则属性。弹性网络在很多特征互相联系的情况下是非常有用的。Lasso 很可能只随机考虑这些特征中的一个,而弹性网络更倾向于选择两个。在实践中,Lasso 和 Ridge 之间权衡的一个优势是它允许在循环过程中继承 Ridge 的稳定性。 弹性网络包含了一个混合参数α,它和lambda同时起作用。 α是一个0和1之间的数,lambda和前面一样,用来调节惩罚项的大小。 当α=0时,弹性网络等价于岭 回归; 当α=1时,弹性网络等价于Lasso。如下:

d38462633958639825835e2de22d4098.png

弹性网络的矩阵推导同岭回归,这里就不多说了,有兴趣的自行推导下。我们这里直接来实战演



版权声明:本文为weixin_35133198原创文章,遵循 CC 4.0 BY-SA 版权协议,转载请附上原文出处链接和本声明。