1、时间图
对于时间序列数据而言,我们从最简单的时间图开始。时间图是用将观测值与观测时间点作图,散点之间用直线连接。例如图2.1表示在澳大利亚两个最大的城市之间,Ansett航空公司的每周客流量。
例如以下图形:

该时间图直观地展现出数据具有的一些特征:
- 由于1989年当地的工业纠纷,当年的客流量为0.
- 在1992年中,由于一部分经济舱被商务舱取代,导致客流量大幅减少。
- 1991年下半年客流量大幅上升。
- 由于假日效应,在每年年初,客流量都会有一定幅度的下降。
- 这是序列存在长期波动,在1987年向上波动,在1988年向下波动,而在1990年和1991年又再次向上波动。
- 在某些时期存在缺失值。
对该数据进行预测建模时,需要考虑上述所有的特征,以便有效预测未来的客流量。
2、时间序列形态
我们通常使用例如“趋势”、“季节性”等词语描述时间序列。在深入研究时间序列形态时,应该更精确的定义这些词语。
趋势
当一个时间序列数据长期增长或者长期下降时,表示该序列有 趋势 。在某些场合,趋势代表着“转换方向”。例如从增长的趋势转换为下降趋势。在图 2.2 中,明显存在一个增长的趋势。
季节性
当时间序列中的数据受到季节性因素(例如一年的时间或者一周的时间)的影响时,表示该序列具有 季节性 。季节性总是一个已知并且固定的频率。由于抗糖尿病药物的成本在年底时会有变化,导致上述抗糖尿药物的月销售额存在季节性。
周期性
当时间序列数据存在不固定频率的上升和下降时,表示该序列有 周期性 。这些波动经常由经济活动引起,并且与“商业周期”有关。周期波动通常至少持续两年。
许多初学者都不能很好的区分季节性和周期,然而这两个概念是完全不同的。当数据的波动是无规律时,表示序列存在周期性;如果波动的频率不变并且与固定长度的时间段有关,表示序列存在季节性。一般而言,周期的长度较长,并且周期的波动幅度也更大。
许多时间序列同时包含趋势、季节性以及周期性。当我们选择预测方法时,首先应该分析时间序列数据所具备的特征,然后再选择合适的预测方法抓取特征。
以下四个示例分别是上述三个特征的不同组合。
- 美国新建房屋销售额(左上)表现出强烈的年度季节性,以及周期为6~10年的周期性。但是数据并没有表现出明显的趋势。
- 美国国债价格(右上)表示1981年美国国债在芝加哥市场连续100个交易日的价格。可以看出,该序列并没有季节性,但是有明显下降的趋势。假如我们拥有该序列更多的观测数据,我们可以看到这个下降的趋势是一个长期循环的一部分。但是现在我们只有连续100天的数据,它表现出下降的趋势。
- 澳大利亚月度电力产值数据(左下)明显表现出向上增长的趋势,以及强季节性。但是并不存在周期性。
- Google收盘股价格(右下)的价格波动没有趋势,季节性和周期性。随机波动没有良好的形态特性,不能很好地预测。
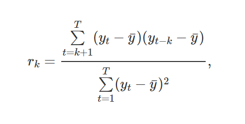
自相关
正如相关系数可以衡量两个变量之间的线性相关关系一样,自相关系数可以测量时间序列 滞后值 之间的线性关系。
以下几个不同的自相关系数,对应于滞后图中的不同情况。例如,
r
1
r_{1}
r
1
例如,衡量
r
t
r_{t}
r
t
和
r
t
−
1
r_{t-1}
r
t
−
1
之间的关系;
r
2
r_{2}
r
2
衡量
r
t
r_{t}
r
t
和
r
t
−
2
r_{t-2}
r
t
−
2
之间的关系。