【CS229机器学习】作业 Problem Set #1 有监督学习

  • Post author:
  • Post category:其他


本次的作业包含了逻辑回归,指数族函数,高斯判别分析和weighted linear regression的考察,并且有两个数据集供分析。

作业原题链接:

https://github.com/cyr429/Machine-Learning-master/blob/master/CS229/ps1/ps1.pdf

数据集链接:

https://github.com/cyr429/Machine-Learning-master/tree/master/CS229/ps1/dataset


第一,二题

代码参见:

https://github.com/cyr429/Machine-Learning-master/blob/master/CS229/ps1/ps1-1.ipynb


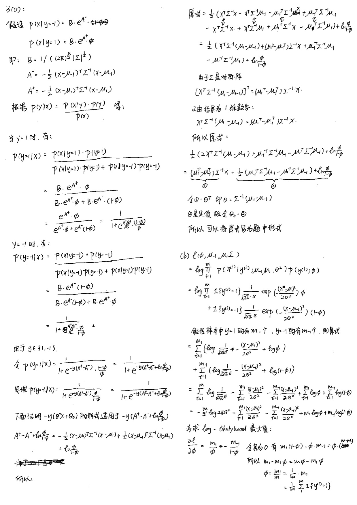
第三,四题(1)


第三,四题(2)


第五题

代码参见:

https://github.com/cyr429/Machine-Learning-master/blob/master/CS229/ps1/ps1-5.ipynb



版权声明:本文为cyr429原创文章,遵循 CC 4.0 BY-SA 版权协议,转载请附上原文出处链接和本声明。