k-NN: Euclidean Distance(欧几里德距离)、Manhattan Distance(曼哈顿距离)、Cosine Similarity(余弦相似度)

  • Post author:
  • Post category:其他




k-NN classification

  • k的值要选择奇数,避免比如 k=4时, result : 2:2;或者 k=4时, result : 3:3 这种无法决策的情况出现
  • 那么k到底选择什么值合适呢?

    – 根据数据集大小选择

    – 增加k的值,在验证数据集上测试准确性,选择最合适的k值
  • 说到验证数据集,这里就介绍一下

    – 验证数据集是从训练数据集中分出来的一部分,一般是训练数据集的20%

    – 验证数据集一般用来选择超参数(超参数不是在训练过程中学习到的,它是在训练前就设置好的,不如说KNN中的k值就是超参数,所以在验证数据集中调试超参数)

    在这里插入图片描述



Euclidean Distance(欧几里德距离)

在这里插入图片描述

import numpy as np

def distEuclid(x, y):
    distance= np.sqrt(np.sum(np.square(x-y)))
    return distance

x = np.array([1, 2])
y = np.array([3, 4])

distance = distEuclid(x, y)
print(distance)
#2.8284271247461903



Manhattan Distance(曼哈顿距离)

在这里插入图片描述

import numpy as np

def distManhatten(x, y):
    distance = sum(abs(x-y))
    return distance

x = np.array([1, 2])
y = np.array([3, 4])

distance = distManhatten(x, y)
print(distance)
#4



Cosine Similarity(余弦相似度)

在这里插入图片描述

import numpy as np

def cosine_similarity(x, y):
    a = y.dot(x.T)
    b = np.sqrt(np.sum(x**2) * np.sum(y**2))      
    similarity = a / b      
    return similarity

x = np.array([1, 2])
y = np.array([3, 4])

distance = cosine_similarity(x, y)
print(distance)



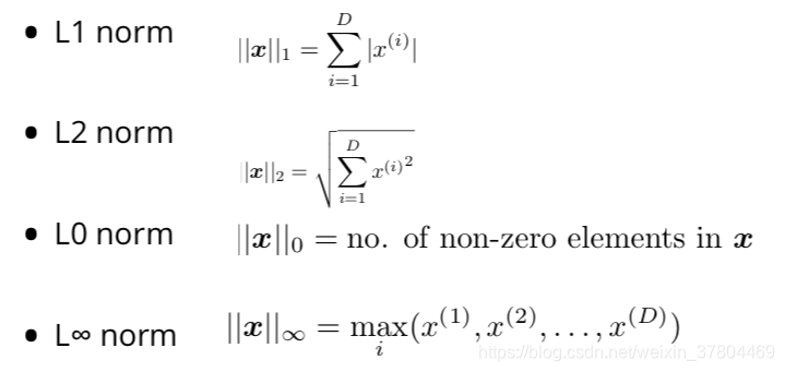
Vector norms(向量范数)

在这里插入图片描述



版权声明:本文为weixin_37804469原创文章,遵循 CC 4.0 BY-SA 版权协议,转载请附上原文出处链接和本声明。