向量及平面方程
定理1:向量a != 0,向量b//a的充要条件是:存在唯一实数k,使b=ka;
向量r的坐标分解式:r=xi+yj+zk,其中xi,yj,zk称为r沿三个坐标轴的分向量
模
向量r=(x,y,z),模长|r|=根号下(x
2+y
2+z^2)
方向角
向量r=(x,y,z)与x,y,z轴的夹角,分别为A,B,C
方向余弦
cosA=x/|r|,cosB=y/|r|,cosC=z/|r|
方向余弦为坐标的向量就是与r同向的单位向量e
投影
a在u轴上的投影:|a|*cosA,A为a与u的夹角
已知终点求起点或已知起点求终点:已知坐标与对应轴的投影的代数和
数量积/点乘
a·b=|a|·|b|·cosA,其中A是a,b的夹角
a·a=|a|
2·cos0=|a|
2
a与b垂直的必要充分条件:a·b=0
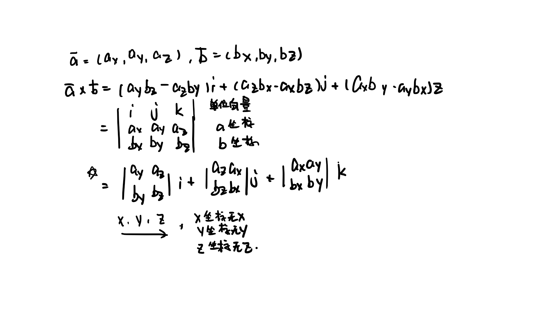
向量积叉乘
c=axb,|c|=|a|·|b|·sinA,其中A为a与b的夹角,c的方向垂直于a,b所决定的平面
右手:四指为a,手心为b,拇指方向为c
- axa=0
- a//b的充要条件:axb=0
-
axb=-bxa
坐标表示:

求三角形面积可用到向量积:
S=1/2·|a|·|b|·sinA=1/2·|axb|
点乘是数,叉乘是向量
平面方程
法线
:可用叉乘求法线。a,b为平面上不共线的向量,n=axb为该平面的一个法向量
点法式方程
一般方程:
截距式方程:
平面夹角
范围:0~180
设两平面法向量n1=(A1,B1,C1),n2=(A2,B2,C2),法向量的锐角夹角为两平面夹角

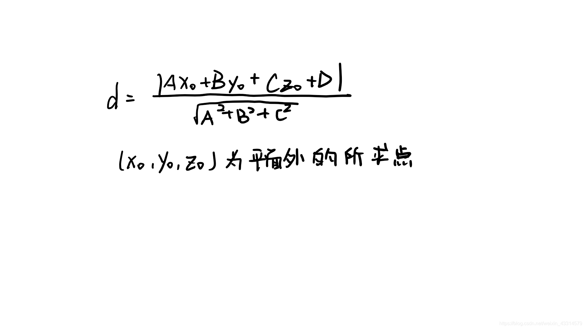
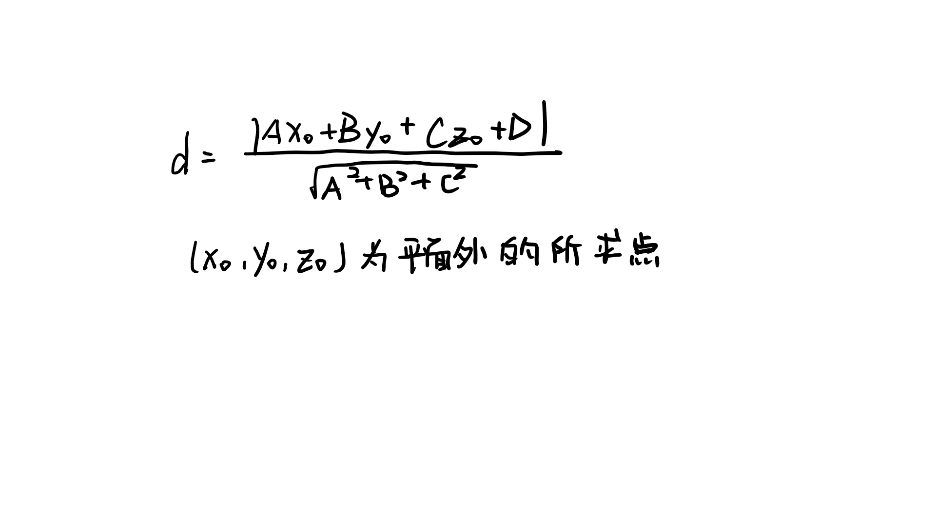
点到平面距离
求平面方程
- 求过平面上三点地平面:直接带入一般式
- 求过一点,且与另一已知平面平行的平面:带入点求比例k
- 求过一点,且与另一已知向量垂直的平面:已知向量为法向量,再带入点
- 求过一点,且与另两条直线平行的平面:法向量与方向向量垂直,带入点
- 求两平面交线与第三个平面的交点:设点,带三个方程
- 求过已知一点和一条已知直线的平面方程:设法向量。法向量与方向向量垂直、已知点在平面上、直线上的一点在平面上,三条方程只剩一个未知数除去地一般方程