加粗斜线代表重难点,加粗代表重点,斜线代表难点
文章目录
一、计算机网络概述
计算机网络的形成与发展
重点:(1)计算机网络的定义
-
从
物理结构
上来看,计算机网络是在标准的网络协议及网络操作系统的控制下,由
分布在不同地理位置
的,具有独立功能的多台计算机、数据传输设备以及其他相关设备组成的
计算机复合系统
; -
从
应用目的
上看,计算机网络是以
互相共享硬件和软件资源为目的
而连接起来具有独立功能的
多台计算机系统的集合
。
总和:是利用通信设备和线路把地理上分散的多台具有独立功能的计算机系统连接起来、在功能完善的网络软件支持下,进行数据通信,实现资源共享、互操作和协同工作的系统
(2)计算机网络的功能
-
数据通信
数据通信功能是在计算机之间传输数据;
数据通信功能是其他功能的基础; -
资源共享
资源共享是指用户在权限范围内共享网络中各计算机的资源,包括硬件共享、软件共享以及数据共享 -
分布式处理和均衡负荷
分布式处理
:通过调度把一项任务分配给计算机网络上的多个计算机,每个计算机承担其中的一部分计算任务
均衡复合
:在多台计算机之间动态的进行任务调度,均衡的使用网络资源,提高系统的利用率及整体处理能力
难点:(1)面向终端的计算机网络和多主机互联的计算机网络系统结构 (2)终端、前端处理机、通信控制处理机
1. 面向终端的计算机网络
各用户在自己的终端上分时轮流是用中央计算机的资源对数据进行处理,处理结果再返回终端。

当终端用户增多时:
- 中央计算机负载大
- 通信线路利用率低
对应措施:
面向终端的计算机网络远程联机系统
-
将通信控制功能分离出来,由
前端处理机FEP
或
通信处理机CCP
负责 - 在终端集中的区域设置集中器或复用器
2. 多主机互联的网络阶段
新需求
:一个单位的多个计算机系统之间共享资源、交换信息
ARPA网建立的意义
:
- 完成了计算机网络的定义、分类与子课题研究内容的描述
- 提出了资源子网、通信子网的两级网络结构的概念
- 研究了报文分组交换的数据交换方法
- 采用了层次结构的网络体系结构模型与协议体系
- 促进了TCP/IP协议的发展
3.开放式标准化计算机网络阶段
-
新需求
:不同制造厂家的计算机和网络互联困难,限制了更大范围的信息交换与共享 - 1979年,ISO提出了“开放系统互联”目标,1984年提出OSI/RM模型(国际ISO7498),7层模型
-
局域网络特点
:距离范围有限、拓扑结构规范、协议简单、联网容易、传输速率高、使用方便、价格低廉
4.网络互联与高速网络阶段
- Internet:TCP/IP网络体系结构,各种使用TCP/IP协议的设备均可互联通信,是计算机网络最辉煌的成就。
- 新的网络技术:光线局域网、全光网络、5G无线通信、物联网
计算机网络的定义
1.定义
-
从
物理结构
上来看,计算机网络是在标准的网络协议及网络操作系统的控制下,由
分布在不同地理位置
的,具有独立功能的多台计算机、数据传输设备以及其他相关设备组成的
计算机复合系统
-
从
应用目的
上看,计算机网络是以
互相共享硬件和软件资源为目的
而连接起来具有独立功能的
多台计算机系统的集合
计算机网络:是利用通信设备和线路把地理上分散的多台具有独立功能的计算机系统连接起来,在功能完善的网络软件支持下,进行数据通信,实现资源共享、互操作和协同工作的系统。
2.梅特卡夫规则
网络价值以用户数量的平方的速度增长。
互联网企业以免费来吸引用户。
计算机网络的功能
1.数据通信
-
数据通信
功能是在计算机之间传输数据 - 数据通信功能是其他功能的基础
2.资源共享
-
资源共享
是指用户在权限范围内共享网络中各计算机的资源 - 硬件共享:硬件资源包括各种大型的处理器、存储设备等,用户可以共享主机设备,也可以共享外部设备,提高了计算机硬件额利用率
- 软件共享:软件资源包括操作系统、应用软件和驱动程序等。避免了软件的重复开发与购置
- 数据共享:数据包括用户文件、配置文件、数据文件等。类似酒店客房和餐饮、交通信息等数据库。
3.分布式处理和均衡负荷
-
分布式处理
:通过调度把一项任务分配给计算机网络上的多个计算机,每个计算机承担其中的一部分计算任务。 -
均衡负荷
:在多台计算机之间动态的进行任务调度,均衡的使用网络资源,提高系统的利用率及整体处理能力。
4.提高安全可靠性
资源可以存放在多个地点,用户可以通过多种途径访问网络资源。一旦莫一台计算机出现故障,起任务可以立即由担任备份功能的计算机执行,避免了系统瘫痪。
计算机网络的特点
计算机网络的逻辑组成
ARPANET的资源子网和通信子网
计算机网络从
逻辑上
划分
-
位于虚线框外的
资源子网
-
位于虚线框内的
通信子网

资源子网: -
组成
:主机、用户终端、终端控制器、联网外部设备、各种软件资源与信息资源 -
功能
:负责全网的数据处理业务,向网络用户提供各种网络资源与网络服务,如web服务、email服务、文件共享服务等。
通信子网
-
组成
:
– 通信控制处理机CCP(网络节点):负责网络数据包的接收、存储、校验和转发,如路由器、交换机;
– 通信线路:包括电话线、双绞线等有线线路和微波、卫星等无限线路;
– 其他通信设备:主要是型号变换设备,使信号适合在通信线路上传输,如调制解调器。 -
功能
– 网络数据传输
现代网络中的资源子网和通信子网
由于计算机成本的降低,用户不再使用用户终端连接主机,而是直接通过计算机连接到局域网,再通过局域网联入广域网。局域网与广域网、广域网与广域网的互联通过路由器实现。但是仍然可以把计算机网络从逻辑上划分为虚线框外的资源子网和虚线框内的通信子网。
计算机网络的硬件组成
主体设备
又称为
主机,
可分为
工作站
和
中心站
- 工作站(客户机):供用户使用网络的本地计算机,一般对其性能和配置要求不高,多采用普通的PC机。
-
中心站(服务器):主要用于为网络上的用户提供服务,要求
长时间稳定运行
,对性能和配置有较高要求。
网络设备
是指再计算机网络中起到连接和转换作用的设备。
传输介质
是指计算机网络中用来连接主机和网络设备的物理介质,可分为有线传输介质和无线传输介质。
计算机网络的软件组成
1.网络协议和通信软件
网络协议和通信软件主要是通过协议程序实现网络协议功能,如TCP/IP、NetBEUI协议等。
2.网络操作系统
网络操作系统用于实现资源共享、管理用户对不同资源访问的应用程序,是最主要的网络软件,常见的有:
3.网络管理及网络应用软件
-
网络管理及网络应用软件
–网络管理软件:是用来对网络资源进行监控管理和对网络进行维护的软件,如简单网络管理协议SNMP、Openview等。
-网络应用软件:是为网络用户提供服务并为网络用户解决实际问题的软件,如web服务器软件Apache
计算机网络的分类
-
按照
覆盖范围
划分
–局域网:地理范围在
10km
以内。
–城域网:
10km到100km
。
–广域网:从
数百公里到数千公里
。 -
按照
数据交换方式
划分
–数据交换:通过网络节点的某种转接方式实现从任一端系统到另一端系统之间的数据通路
-
按照
通信介质
划分
–可划分为双绞线网络﹑同轴电缆网络﹑光纤网络﹑微波网络﹑卫星网络等。 -
按照
网络应用范围和管理性质
划分
–
公用网络
:为公众提供商业性或公益性的通信和信息服务的通用计算机网络·例如公共数据网PDN ·公共电话交换网PSTN等。
–
专用网络
:是某单位或企业为本系统的特定业务需要而建设的计算机网络,不对本单位或企业之外的人员开放。例如校园网。
按照网络拓扑结构划分
可以划分为总线型网络、环型网络、星型网络、数型网络、网状网络等。
-
基本含义
– 拓扑:从图论演变而来的,是一种研究与大小和形状无关的点、线、面特点的方法。
– 计算机网络的拓扑结构:指网络中各个节点之间互相连接的几何构形,表示了网络服务器、工作站的网络配置和互相之间的连接。
– 意义:对整个网络的功能、可靠性、费用、设备类型、管理模式等有重要影响。
– 计算机网络的拓扑结构 -
总线型拓扑
– 总线:作为公共信道(数据通道)的传输介质,一般为有线介质。
– 结构特点:所有节点都通过相应的硬件接口连接到总线上
– 信号传播与接收:沿总线向两端传播,所有节点都可以接收到;在目的地一致的站点接收信息
–
信息发送
:
同一时刻
只能由
一个节点
发送信息
–
优缺点
:结构简单,可靠性高,易于扩充;
总线传输距离有限,多用户发送数据易产生冲突,网络性能降低
-
环型拓扑
– 令牌:一个在环路上的个节点间传递的特殊信息帧。
拥有令牌的节点有权发送数据,数据沿环路传递一周后回到发送节点,发送节点再把令牌传递给下一个节点;倘若无需发送数据,直接传递令牌

–
优缺点
:当节点数确定时,信息传递的延迟时间是固定的,实时性强;节点数量增加将导致信息传递的延迟增大,效率降低,且单个节点影响全局,故障检测困难。
-
星型拓扑
– 信息发送:任何两个节点的通信都必须经过中央节点转发。
– 实现方法:一是采用具有数据处理和转接功能的高配置计算机;二是采用具有信号再生和转发功能的交换机或集线器
–
优缺点
:解决了总线、环型的缺点,同时可以进行集中控制;需要电缆较多,中央节点制约了全局和扩展能力
-
树型拓扑
– 信息交换:主要发生在上、下节点之间,相邻及同层之间一般不进行数据交换或数据交换量较少。
–
优缺点
:故障易于隔离,易于扩展;根节点影响全局
-
网状拓扑
– 结构特点:每个节点至少与两个以上节点有直接线路连接,也叫做
分布式结构
–
优缺点
:容错能力最强的网络拓扑结构,便于共享资源,可改善线路的信息流量分配和选择最佳路径,网络延迟小;控制复杂、线路费用高、扩充受限,往往只用于大型网络系统和公共通信骨干网
-
混合型拓扑
由前几种拓扑结构混合组成
二、数据通信基础
数据通信系统的概念与模型
数据通信的概念
- 数据:把事件的某些属性规范化后的表现形式
-
信号:数据的具体的物理表现,它把信息用
电信号
的形式表达 -
数据通信:依照一定的
通信协议
,在两点或多点之间通过某种
传输媒介
(如电缆、光缆)以数字
二进制信息单元
形式
交流信息的过程
通信系统模型
- 基本任务:有效而可靠地传递信息
- 类型:多样型,功能和结构上各不相同
-
基本形式:
点与点之间建立的通信系统
数据通信系统的概念
-
定义:是通过
数据电路
将分布在远地
的数据终端设备
与
计算机系统
连接起来。实现数据传输、交换、存储和处理的系统 -
理解:
从计算机网络的角度看
,是把数据源计算机所产生的数据迅速、可靠、准确地传输到数据宿(目的)计算机或专用外设
数据通信系统模型
-
数据终端DTE
:数据通信系统中用于发送和接收数据的设备 -
通信控制器
:实现通信双方的同步、差错控制、传输链路的建立、维持和拆除及数据流量控制等功能的设备、需要协议软件 -
数据终接设备DCE
:该设备及其与通信网路的连接构成了网络终端的用户网络接口。它提供了到网络的一条物理连接、转发通信量,并且提供用于同步DCE和DTE之间数据传输的时钟信号。 -
数据电路
:在
线路或信道上假信号变换设备
之后形成的二进制比特流通路,由
传输信道及其两端的数据电路连接设备DCE
组成。 -
数据链路
:在
数据电路已经建立的基础上
,通过
发送方和接收方
之间交换“握手”(通信双发建立同步联系、使双发设备处于正确的收发状态、通信双发互相核对地址)信号,使双发确认后,方可开始传输数据的两个或两个以上的终端装置与互连线路的组合体
数据通信方式
按照数字信号排列顺序分类
- 并行传输
- 数据流以并行方式多位同时在多条信道上传输
- 需要的传输信道多,不适合长距离传输
-
通信速率难以
很高
简单比方来说就是当距离拉长时,无法保证每条信道上的比特流(0或1)同时输送到另一端
- 串行传输
- 数据流以串行方式逐位地在一条信道上传输
- 收发双发应约定字节中各位传输地先后顺序
- 易于实现,长距离和告诉传输中可靠性高
按照信息传递的方向与事件的关系分类
- 单工通信
-
信息流只能沿着
一个方向传播,不能反向
- 通常采用二线制
-
一般用于无线广播、有线广播及电视广播,数据通信中使用很少
- 半双工通信
-
信息流
可双向传播,但不能同时双向传播
-
仅需一个信道(通常
2线制
),但
效率极低
-
会话式通信,现场总线的数据通信常采用这种方式
- 全双工通信
-
信息流可
同时双向传播
-
需要两个信道(通常是
3线制
) -
效率高、结构相对复杂、成本相对较高
-
多用于计算机通信系统、远程监控和控制系统
数据通信系统的主要技术指标
术语
-
文本消息
:由文字和数字的自负序列组成,这些文字和数字应属于有限字符集合 -
字符
:某个字母表或符号集合中的一个。每个字符可以映射成一个二进制数字序列 -
比特流
:二进制数据流。也通常称为基带信号 -
码元
:在信息传输通道中,携带数据信息的信号单元叫码元。
一个码元由k比特组成,该k比特就是一个单元
,用于表示来自有限码元集或字母表中的消息码元mi(i从1到M),字符集的大小为M=2的k次方 -
数字波形
:用于表示数字符号(码元)的电压或电流波形(基带传输的脉冲或带通传输的正弦波)
波特率RB
单位时间内通过信道传输的码元数目称为码元传输率,简称波特率,也称调制速率,其为码元长度的倒数
比特率Rb
单位时间内传递的平均信息量或比特数,又称为
信息传输速率

(H:每个码元符号含有的信息量(信息熵))
技术指标
-
数据传输速率
首先根据概率计算出每一个信息符号发送的概率,然后根据公式

计算出每一个符号的信息源的熵,进而求出信源的比特率,也即信息传输速率
2.
差错率
-
码元差错率Pe(也称
误码率
):错误
码元
数/传输总
码元
数
– 误码率是最常用的
数据通信传输质量指标
-
信息差错率(也称
误信率
)Pb:错误
比特
数/传输总
比特
数
– 二进制传输中。码元差错率即是比特差错率,也即Pe=Pb
-
带宽
- 电子学上:电路可以正常工作的频率范围。如显示器的带宽、滤波器的带宽
-
通信领域上:
– 数字信号角度:通信线路的最大数据传输速率,单位为b/s
– 模拟信号角度:通信线路上允许传输的信号的最高频率与最低频率之差
4.
信道容量
- 定义:最大信息传输速率。凡是小于这个信息量的数据必能在此信道中无错误地传输
-
无噪声
信道中信道容量:当信道具有理想低通矩形特性和无噪声情况下
-
加性高斯白噪声
干扰信道中信道容量
香农公式
:

例题:


注意:
- db单位的转换为log(S/N)*10。
- 香农公式中的N与无噪声中的N意义不同
数据编码与数据传输
信息编码与格式化
- 编码定义与功能:表示一个确定的内容的一种数据组合。解决了非数值信息的表示问题
- 格式化
-
概念
– 信号处理最基本的步骤,目的是使消息(源信号)适合数字处理
– 传输格式化:源信息到数字码元的变换
– 信源编码:目的是数据压缩,有些学者认为格式化是信源编码的特例
– 信道编码:目的是提高传输的可靠性
– 基带信号:频谱从直流(或其附近)到不超过兆赫兹的有限值的信号 -
格式化在通信系统中的位置
-
文本数据格式化
-
模拟数据的格式化
主要步骤:抽样、量化、编码
抽样
-
定义:连续信号f(t)通过某种处理,取出信号在各个离散时刻对应的数值,得到其时间离散信号
– 低通抽样定理(
奈奎斯特采样定理
):对于频段在(0,fh)的模拟信号,如果以抽样频率fs大于或等于2fh进行等间隔抽样,则该模拟信号可由抽样值完全确定(恢复出来)。

-
只要满足fs≥2fm,就不会发生重叠和失真
-
若通过一截止频率为fm的理想低通滤波器,则可以恢复信号f(t)
– 带通抽样定理:

通常将满足抽样定理的最低抽样频率称为
奈奎斯特抽样频率
量化
-
均匀量化:采用相等间隔量化区间。
– 优点:编解码容易;缺点:要达到相应的信噪比占用的宽带大 - 量化噪声:量化结果和被量化的模拟量的差值。且级数越多,误差越小。
- 非均匀量化:采用不相等间隔,根据输入信号的概率密度函数来分布量化电平。
编码
- 定义:将经过量化的信号样值用一组数字代码表示
- 自然二进制码:简单易行、权重码,可直接进行数学运算
- 格雷码:相邻电平对应的码之间只有1位二进制数不同,减小了切换时的尖峰脉冲。但无法进行数学运算
- 折叠二进制码:适合表示正负极性对称的双极限信号。
数据编码在通信系统中传输的方式
数字信号传输
-
基带信号传输
– 基带(Baseband):信源发出的没有经过调制(进行
频谱搬移
和变换)的原始电信号所固有的频带。分为
数字基带
信号和
模拟基带
信号
– 特点:频率较低,信号频谱从零频附件开始,具有
低通形式
– 注:语音:<3.4KHz
图像:<6MHz
-
数字基带信号
– 分类:单极性码,双极性编码,归零码(指在一个码元内),非归零码,差分码(用电平的变化与否来代表逻辑“0”与“1”)
– 存在多种编码波形的原因
1.直流成分的多少有区别
2.带宽利用率有区别
3.提供同步定时信号的能力有区别
4.抗干扰的能力有区别
5.检错纠错能力有区别

– 不归零码优缺点
优点:
1.发送能量大,有利于提高接收信噪比
2.占用频带较窄
缺点:
1.难以提取位同步信息
– 单极性码优缺点
优点:
1.可以直接提取位同步信息
2.接收判决门限为0,抗噪性能强
缺点:
1.只适合极短距离传输
–
曼彻斯特码

上图中第三个是在ControlNet中的曼彻斯特码,第四个是在IEEE802.3协议中的曼彻斯特码
– 典型应用:使用802.3协议的基带同轴电缆和CSMA/MD机制的双绞线
总结:1. 在ControlNet等现场总线中:由高到低表示0,由低到高表示1。2. 相邻的0-1码不变则每半个周期进行一次跳变。3. 码元分为两半,前半个时间段所传信号使该时间段传送比特值的反码,后半个时间段传送得是比特值本身。4. 在ControlNet中上述定义全部相反,如下图

–
差分曼彻斯特码
数据在开始表示,无变化为1,有变化为0,同步在码元中间表示
优点:自带同步,无直流分量
缺点:带宽较原信码大,同步与数据同时发生
总结:1. 差分曼彻斯特码第一个是0的从低到高,第一个是1的从高到低,之后根据跳变判断波形,倘若有跳变则为0,倘若无跳变则为1。2. 每个0-1码必定对应一次波形的跳变
(差分曼彻斯特码常用在802.5令牌环双绞线网络中)

频带数字信号传输
-
频带信号:信源发出的信号进过调制(进行
频谱搬移
和变换)形成的具有一种或有限种频率的交流信号。 -
特点:频率较高,是带通形式
-
模拟调制
– 调幅:载波信号的
幅值
随调制信号的变化而变化
– 调频:载波信号的
瞬时频率
随调制信号的变化而变化
– 调相:载波信号的
瞬时相位
虽调制信号的变化而变化 -
数字调制
– 幅移键控(ASK):载波信号的
幅值
随调制信号的变化而变化
– 频移键控(FSK):载波信号的
瞬时频率
随调制信号的变化而变化
– 相移键控(PSK):载波信号的
瞬时相位
随调制信号的变化而变化
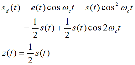
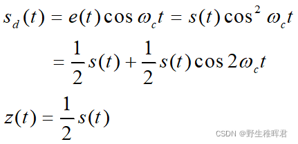
ASK
-
BASK调制模型

-
BASK的非相干检测(包络解调法)
-
BASK的相干检测

FSK
-
二进制频移键控调制模型
-
相位不连续频移键控(DPFSK)
-
相位连续频移键控(CPFSK)
- 二进制频移键控解调
-
非相干检测

-
相干检测
-
示例
PSK
- 二进制相移键控调制(BPSK)
-
调制模型
-
直接调相法
-
键控法
- 二进制相移键控解调
-
BPSK的相干解调
-
倒Π现象
- 二进制差分相移键控
-
BDPSK调制实现
-
BDPSK解调


同步传输与异步传输
同步的基本概念
- 位同步
- 目的是能正确区分出信号中的每一位
- 是所有其他同步的基础
- 要求数据信号与定时信号间保持相同的频率和固定的相位关系
- 单独提供时钟定时或从数据信号中提取时钟信号
- 字符同步
- 目的是能正确区分出信号中的每一个字符
- 以字符为边界实现字符的同步接收
- 每个字符开始传输时都进行同步,频率漂移不会累计
- 每两个字符间隔不固定
- 增加了辅助位,效率低
- 帧同步
- 目的是能正确分帧的起始和结束
-
以帧头帧尾为特征实现同步
异步传输
- 传输方式
- 起源:电传打印电报系统
- 属于字符同步,每传输一个字符都要同步一次
- 发送方可以在任意时刻开始发送字符,使用起始位和停止位
- 字符间隔不固定,字符内各位之间时间间隔固定
- 收发双方的时钟信号频率不要求一致
- 优点和缺点
-
优点:
– 不需要传输定时信号,容易实现,对收发设备的要求较低
– 每个字符都同步一次,时钟漂移不会产生大的累积 -
缺点:
– 起始位和停止位带来额外的开销,效率低 -
适用场合
– 低俗、会话式通信设备
同步传输
- 传输方式
- 多个字符组成一个信息帧一起发送,每帧由帧头、数据块、帧尾组成
- 各字符之间间隔固定、字符各位间隔固定
- 收发双方的时钟信号频率和相位始终保持一致
- 无数据传送时要在线路上传输“空闲”字符或同步字符
- 一次传输的字符数多(可达几千),效率高、速率高
- 对时钟要求高
- 面向字符的同步传输
- 也叫做“字符填充的首位定界符法”
- 多个字符组成一个信息帧(帧由字符序列组成)
- 数据帧包括控制字符和数据块,以同步字符(SYN)开始,以帧终止符结束
- 控制字符应与数据块中的字符不同,若数据块中出现与控制字符相同的数据字符,则应在该数据字符前插入转义控制符。
- 典型示例:IBM的BSC协议
- 面向位的同步传输
- 多个字符组成的一个信息帧(数据块看做bit流)
- 采用特殊的bit组合模式作为帧头和帧尾标志,例如011111110
- 位插入:数据块的bit流中出现与帧头或帧尾相同的bit组合时,发送方在中间插入0,避免混淆,接收方删除插入的0
-
典型实例:IBM的SDLC协议和ISO的HDLC协议
传输介质和特性
有线传输介质(Twisted Pair)
- 双绞线
-
两根绝缘的导线按一定的密度互相绞在一起,可以降低信号的干扰程度
– 屏蔽双绞线:


– 非屏蔽双绞线:

- 同轴电缆
-
传输特性
-
按粗细
- 大量被光纤取代
- 光纤
-
利用全反射原理
– 芯线折射率高
– 包层折射率低 -
优点
– 带宽大(单模200GHz,多模7GHz)
– 损耗低、传输距离远
– 抗干扰能力强,对外无·电磁干扰
– 安全、保密性好 -
单模光纤
– 光信号仅与光纤轴成单个可分辨角度(单条光通路)
– 传输频段宽,衰减小,传输距离大
– 价格贵
– 要求光源的频谱窄和稳定性较高 -
多模光纤
– 光信号仅与光纤轴成多个可分辨角度(多条光通路)
– 传输距离相对较近(几千米)
– 价格便宜
– 要求光源的要求相对较低
无线传输介质
- 微波通信
-
使用频率位10
9
~10
10
Hz - 近似直线传播
-
能穿透电离层而不反射到地面
- 红外通信
-
使用频率为10
11
~10
14
Hz - 具有很强的方向性,沿直线传播
-
优点:
-
缺点:
- 激光通信
-
频率为10
14
~10
15
-
优点:
-
缺点:
数据交换技术
数据交换概述
- 数据交换的定义
- 数据交换技术:通过网络节点的某种转接方式实现从任一端系统到另一端系统之间的数据通路的技术。
电路交换技术
- 原理
- 起源:电话交换(呼叫建立,通话,连接释放)
-
过程
– 电路建立:站点擦混熟数据前,通过呼叫建立源到目标站的线路
– 数据传输:在已建立的传输通道上进行信号传输
– 电路拆除:由一方节点发出拆除请求,逐点拆除到对方节点,释放线路占用的节点和信道资源
- 特点
-
传输延时短且固定,适用于实时、大批量、连续数据传输
- 传输迅速可靠、并且保持原来的数据顺序
- 提供“透明通路”:交换网站站点信息的编码方法、信息格式、传输控制程序等都不限制。双方站点类型必须相同。
- 电路(信道)独占,利用率低。
报文交换技术
-
报文交换的概念
起源于传统的邮递和电报传输方式(
存储-转发
)
- 报文:用户拟发送的完整数据
-
报文的信息格式
- 报文交换的原理
-
交换过程
-
优点:
– 信道利用率高:多个报文可实时分享
– 不存在建立电路的延时
– 可靠性高:支持校验和重传,可选择路径
– 支持多目标服务:一个报文传给多个站点
– 便于类型、规格和速度不同的计算机之间进行通信:存储转发中可进行编码和速率转换
– 允许建立数据传输的优先级 -
缺点:
– 实时性较差:存储转发机制导致转发延迟(接收报文,检验正确性、排队、发送时间等)
– 对报文长度无限制,对节点缓冲区有要求,可能因缓冲补足丢失报文
– 报文可能不按顺序到达目的地
虚电路分组交换技术
- 虚电路分组交换的概念
- 起源:由电路交换演变而来,是一种面向连接的分组交换。
-
虚电路:
– 开始数据传输之前,在源站与目的站之间建立的一条逻辑通路
– 每个逻辑通路(虚电路)用一个虚电路标识符描述 -
报文分组(Packet)
– 报文分割而成的较短的格式化的信息
– 不携带地址信息,携带虚电路标识符
– 分组沿虚电路标识符指定的虚电路传输,直到传输结束才拆除虚电路
- 虚电路分组交换原理
- 虚电路建立:传输数据前,通过呼叫建立源站到目标站的逻辑连接(虚电路)
- 数据传输:报文分组沿虚电路传输
-
虚电路拆除:释放逻辑信道标识符
- 虚电路分组交换的特点
-
优点:
– 加速了数据在网络中的传输:分组以流水线的方式发送;分组使因缓存不足的等待减小
– 简化了存储管理:分组长度固定、相应的缓冲区也固定
– 减少了出错几率和重发数据量
– 分组短小,更适用于采用优先级策略,便于及时传送一些紧急数据
数据报分组交换
- 数据报分组交换原理
- 数据报:报文分割而成的较短的格式化的信息,带有地址信息。
-
与虚电路分组交换的区别:

- 优点
- 加速了数据在网络中的传输;分组以流水线的方式发送;分组使因缓存不足的等待减小
- 简化了存储管理:分组长度固定、相应的缓冲区也固定
- 减少了出错几率和重发数据量
- 分组短小,更适用于采用优先级策略
- 没有呼叫阶段,传输少量分组时效率比虚电路方式高
- 分组独立传输,某节点故障时不会影响整个报文
- 缺点
- 分组独立传输,站点必须具有存储和重新排序能力
- 分组独立传输,不保证分组按序到达,数据的丢失也不会立即知晓
其他交换技术

多路复用技术
频分复用
- 定义
-
频分多路复用
将信道可用的频率资源划分成若干个不重叠的频带供多个信号同时传输,每个信号使用其中的一个频带
- 基本原理
-
发送端
将几路基带信号以不同频率的载波进行调制,再叠加成一个复合信号在一个物理信道上传输
-
接收端
使用带通滤波器分离各路信号后再分别解调
- 调制方法
-
基带信号是模拟信号
-
基带信号是数字信号
- 正交频分复用
- 各个载波相互正交的:每个载波在一个符号时间内有整数个载波周期,每个载波的频谱零点和相邻载波的零点重叠,这样便减小了载波间的干扰
-
由于载波间有部分重叠,所以它比传统的FDM提高了频带利用率
时分复用
- 定义
-
时分多路复用
把信道传输信息的时间划分为若干顺序排列时间段,称为时隙(Time Slot),每路信号占据其中的一个时隙传输
- 原理
-
理论依据
– 奈奎斯特抽样定理

– 实现模型
- 分类
-
同步时分多路复用
时隙先分配给各路信号,且固定不变,可能存在时隙浪费
-
异步时分多路复用
时隙动态按需分配
- 优点
- 适合传输数字信号
- 复用和分接电路结构相同,主要采用数字电路,易于实现,对信道的非线性失真要求可以降低
- 容易控制各路信号之间的干扰(串话),合理设计码脉波形可使频带得到充分利用并且防止码间串扰
- 应用举例
-
同步时分复用
公共电话网PSTN -
异步时分复用
X.25、帧中继、ATM、TCP/IP
码分复用
-
定义
是一种通过一组互相正交的编码序列来区分各路信号,从而实现多路复用的技术
- 正交
- 几何上的正交:垂直
- 正交:两个向量的内积(点乘)为0
-
原理
-
正交码
- 特点
-
所有子信道可以在同一时间使用整个物理信道的频率范围进行数据传输
差错控制技术
差错控制概述
差错产生的原因
- 信噪比的降低
-
– 损耗:信号功率的降低
信号能量再传输过程中被吸收、转向、分散或反射
– 噪声:干扰功率的增大
热噪声、宇宙噪声、大气噪声、瞬时切换、互调制噪声、其他信号源的干扰
噪声特点
- 随机热噪声
- – 信道固有的、持续存在的
-
– 引起
随机差错
:某位码元的差错是孤立的,与前后码元无关 -
冲击噪声
– 呈突发状,持续时间端、幅度大、无法靠提高信号幅度来避免冲击噪声引起的差错
– 引起
突发差错
:影响一串码元
传输差错的类型
-
帧丢失
帧没有到达另一方 -
帧破坏
– 按单位数据域内发生差错的数据位个数及其分布
传输差错的控制
-
差错控制指的是用于
检测
和
校正
帧传输过程中出现差错的机制 -
常用的差错控制技术:
– 差错检测:利用报文中的冗余信息(检错码)判断是否存在传输错误的信息;
– 自动请求重传:利用差错检测技术、超时机制发现传输差错,并要求发送方重新传输;
– 前向纠错:利用报文中的冗余信息(纠错码)纠正传输中的错误数据信息
差错控制编码
奇偶校验与求和校验
- 奇偶校验
-
纵向奇偶校验
– 方法:
step1:将信息码元分组(每p位构成1组)
step2:在每组的最后添加奇偶校验位

– 编码效率:

– 检测能力
基数个错误比特的错误 -
横向奇偶校验
– 方法:
step1:将信息码元先分组(每p位构成1
组,取q组生成校验码)
step2:对各组的相同为生成校验位
step3:所有校验位作为一个校验字符放在信息码元后面

– 编码效率

– 检测能力
各段同一位上的奇数个错误比特的错误
突发长度小于等于p的所有突发错误。
代价:需要缓存能力
- 求和校验
-
校验码生成
step1:在发送端将数据分为k段,每段均为等长的n比特
step2:将所有分段的值求和,得到长度为n比特的求和结果
step3:求和结果取反,得到校验码
-
检验过程
step1:将接收的数据分为k+1段(包括校验码),每段均为等长的n比特
step2:将k+1个分段的值求和,得到长度为n比特的求和结果
step3:求和结果取反,为0则无错误 -
编码效率

检错能力:95%的错误可检出
纵向冗余校验和循环冗余校验
- 纵向冗余校验(LRC)
-
校验码生成

-
检错能力
无法检出的错误:
– 某个单位数据域内有偶数个比特错误
– 另有奇数个单位数据域内比特错误数量与模式与之相同
- 循环冗余校验
-
校验码生成
不借位,实际为异或
-
生成多项式
– 是一个系数用0和1标识的n次多项式,表示一个n+1位二进制数
– 最高位和最低为都为1



(CRC-5-CCITT) -
校验方法
– 用收到的码字(包括校验码的)除生成码,余数为0,则正确接收 -
检错能力
– 全部奇数个比特错误
– 全部离散2比特错误
– 全部长度小于等于k(生成多项式最高次幂)的突发错误
– 以1-(1/2)
k-1
的概率检查出长度为k+1的突发错误
差错控制技术
自动请求重传
- 概述
-
自动请求重传(ARQ,Automatic Repeat Request)
接收端检测到数据传输错误时要求发送方重新发送该数据,并用重新传输过来的正确数据替代出错的数据 -
分类
-
停止等待自动重传
-
拉回式自动重传
-
选择重发式自动重传
前向差错纠正
- 前向纠错纠正(FEC)
-
概念
在
发送端
被传输的信息序列上
附加一些监督码元
,这些监督码元与信息码元之间以某种确定的规则相互关联(约束),
接收端通过监督码元来检错和纠错
-
监督码元(纠错码)长度
表明出错状态所需的冗余位个数与数据单元长度有关,在仅纠正单比特错误的情况下:
2
r
≥m+r+1
m:数据单元长度;r:纠错码长度 -
纠错能力
大多数纠错技术都只纠正1到2比特的错误
- 海明码
-
概述
– 是前向纠错码的一种,可在任意长度的数据单元上使用
– 基本编码过程
step1:根据数据单元长度确定冗余比特数
step2:确定个冗余比特插入数据单元中的位置
step3:计算各冗余比特的值 -
编码过程举例
要求采用海明码对7位ASCII码数据进行传输,可纠正单比特错误
–
根据数据单元长度确定冗余比特数

–
确定各冗余比特插入数据单元中的位置
将4个冗余位r1~r4分别插入以下位置;

–
计算各冗余比特的值
将数据位1~11用二进制表示;
每个冗余位分别对一组数据位进行偶校验:
四、计算机网络体系结构
计算机网络体系结构及分层原理
计算机网络的体系结构与分层模型
- 计算机网络体系结构的定义和发展
-
计算机网络系统的复杂性
-
计算机网络体系结构的定义
– 计算机网路体系结构是计算机网络的
层次
、各层次的
功能
、网络
拓扑结构
、各层
协议
和相邻层
接口
的总称

– 一个完整的计算机网络体系结构应该包含以下内容
如何为网络实体或组件命名。
如何协调处理命名、寻址、路由、分配等功能之间的关系。
如何确定网络实体或组件状态变化的时间和方式。
如何维护和处理网络实体或组件状态的变化。
如何对网络功能进行合理的划分,并以模块化的方式实现。
网络资源的分配原则及其在实体或组件上的实现机制。
如何保证网络安全。
如何实现网络管理。
如何满足不同的应用需求。 -
计算机网络体系结构的发展
- 网络体系结构的分层模型
-
OSI/RM模型的相关概念





– 服务类型

– 数据单元 Data Unit
-
分层原理

P
n
表示第N层的协议 -
分层的好处
独立性强、灵活性好、易于实现和维护、能够促进标准化 -
分层的原则
– 层次不能太多,也不能太少,太多则使系统的描述和集成都有困难,太少则会把不同的功能混杂在同一层次中,这必将导致每一层的协议复杂化
– 应在接口服务描述工作量最小、穿过相邻边界相互作用次数最少或通信量最小的地方建立边界
– 每层应当实现一个定义明确的功能
– 每一层的功能要尽量局部化
– 每层功能的选择应该有助于制定网络协议的国际标准
– 同一节点内相邻层次之间通过接口通信,每一层只与它的上、下邻层产生接口,规定相应的业务
– 不同节点的同等层按照协议实现同等层之间的通信
TCP/IP参考模型
TCP/IP参考模型概述
-
起源
– TCP(Transmission Control Protocol):传输控制协议
– IP(Internet Protocol):网际协议
– 诞生时间:1977~1979
-
参考模型

-
TCP/IP模型的特点

应用层的功能包含了OSI/RM模型中会话层和表示层的功能;

在设计时考虑到要与具体的物理传输无关,没有对最低两层做出规定;
网络接口层并不是一个层次,二十一个接口;

TCP/IP一开始就考虑到多种
异构
网互联,并将
IP协议
作为TCP/IP的重要组成部分,定义了各种网络的
分组交换
共同的方法;

可以越层使用更低层提供的服务,有更高的协议效率
网络接口层
– TCP/IP的网络接口层相当于OSI的数据链路层和物理层
– 包括用于物理连接、传输的所有功能
– 负责把IP分组发送到网络传输介质上以及从网络传输介质上接收IP分组
– 没有为网络接口层定义任何协议,仅仅定义了与不同网络进行连接的接口
网络互联层
-
提供的服务
– 提供无连接的分组交换服务 -
主要功能
– 处理来自传输层的分组发送请求
– 处理输入数据报
– 处理ICMP报文(Internet Control Message Protocol,互联网控制保温协议) -
辅助协议
– 地址解析协议(ARP)
– 逆向地址解析协议(RARP)
– 互联网控制保温协议
– 互联网组管理协议(IGMP)
传输层
-
主要功能
– 在源节点和目的节点的两个
进程实体
之间提供
可靠的端到端的
数据传输
每个分组带有校验码;
确认与重传
– 实现不同应用程序的标识问题
端口号(Port) -
协议
– 传输控制协议TCP(Transmission Control Protocol)
可靠的、面向连接的,三次握手建立连接;
完成应用层字节流的分段和安顺序重组;
进行流量控制;
使用传输质量较高、实时性要求不高的场合
– 用户数据报协议UDP(User Datagram Protocol)
不可靠的、无连接的;
不提供顺序重组;
适用传输质量要求不高、实时性要求高的场合
应用层
-
主要功能
– 向应用程序提供访问其他服务的能力,并定义应用程序用于交换数据的协议 -
主要协议
– 文件传输协议
– 超文本传输协议
– 简单邮件传输协议
– 邮局协议
– 域名系统
– 简单网络管理协议
– 路由选择信息协议(RIP)
– 终端仿真协议(Telnet) -
网络应用程序
– 属于分布式软件系统,整个软件需要运行在多个主机之上
– 分为服务器端和客户端
OSI/RM与TCP/IP参考模型的比较
-
相同点
– 均采用按功能划分的层次结构,且都存在可比的传输层和网络层
– 传输层及其以上层都为希望进行通信的进程提供端到端的、与网络无关的传输服务
– 传输层以上的各层都是传输服务的用户,并且是面向应用的用户
– 都是一种基于协议数据单元的包交换网络
-
不同点
– 出发点
国际标准 vs 军用网arpanet
– 层次关系
7层 vs 4层
– 对网络管理的考虑
晚 vs 早
– 对异构网络的考虑
晚 vs 早
– 对可靠性的考虑
数据链路层、网络层、传输层vs传输层
– 对无连接服务的考虑
晚 vs 早
总结
- 曼彻斯特码波形绘制
- 数据交换
电路交换
报文交换
虚电路分组交换
数据报分组交换

检错纠错码
互联网

计算机网络设备
网络接口
- 局域网接口类型
-
同轴电缆接口分类

BNC接口
之前用于10Base-2以太网(10Mbps,总线型)
目前仍用于视频设备、音频设备、网络设备的E1接口
安装方式:冷压式(推压式)、焊接式、直拧式
AUI接口
D型15针,连接粗同轴电缆
多用于令牌环网或总线型网络,借助外接收发转发器AUI-to-RJ-45可连接10Base-T以太网 -
双绞线接口
双绞线通常用于数据传输,广泛应用于局域网和 ADSL 宽带上网用户的网络设备间网线的连接。
双绞线接口常用的是RJ-45接口。
RJ45 型插头的接线标准
-
光纤接口
ST接口

SC接口

LC接口

MT-RJ接口
-
广域网接口类型
窄带广域网接口



宽带广域网接口
-
逻辑接口
网络接口卡
局域网
带有冲突检测的载波侦听多路访问CSMA/CD
概念
载波侦听(Carrier Sense)
网络上各节点侦听总线上是否有数据传输。
多路访问(Multi Access)
网络上各节点共享通信介质,且通信介质为广播信道。
冲突(Collision)
网络上两个或更多节点同时发送数据,导致数据被互相破坏。
冲突检测(Collision Detection)
发送数据的同时对总线上的数据进行检查,以及时发现数据被破坏的情况。
载波侦听CSMA
各站点发送数据前先侦听信道是否空闲,如果信道被占用,则不发送数据,从而减小冲突的可能,提高系统吞吐量。
三种方法
-
非坚持CSMA(Non-persistent CSMA)

优点
采用随机重传时间减少了碰撞概率。
缺点
随机延迟时间内可能出现信道空闲,信道利用率不高。 -
1坚持CSMA

优点
提高了信道利用率。
缺点
若有两个或更多的站同时在监听信道,则一但信道空闲这些站同时发送的packet必然互相冲突。 -
P坚持CSMA

优点
既能利用总线刚转“闲”后的时段,又能降低该时段发生冲突的概率,因而可以使信道的利用率进一步提高。
缺点
难以选择适应各种通信量的p。
冲突检测CD
原因
载波侦听只能减小冲突的概率,不能完全避免冲突。
冲突发生后如果继续发送,将浪费带宽。
-
冲突窗口(碰撞槽时间)
是检测到冲突所需的最大时间,等于信号延迟的2倍。



以太网
以太网规范

以太网帧及其收发
局域网中一般采用以数据块为单位的同步方式,待发送的数据加上一定的控制类信息构成帧。

传统以太网组网技术



高速以太网



Internet
Internet网络层协议
IP协议
- 功能与特性
-
IP协议的功能
是TCP/IP协议族中最核心的协议
功能1:对数据包进行相应的寻址和路由,并从一个网络转发到另一个网络。
功能2:分割和重编在传输层被分割的数据包 -
特性
无连接:每个数据报处理是相互独立的(发送顺序与线路)
不可靠:流传输的可靠性控制,是“尽力交付”的数据报协议,不保证数据成功送达。无重传机制,对底层子网也没有提供任何纠错功能。用户数据报可能出错、丢失、重复和乱序到达。
原因
:方便制作价格低廉的路由器,相比于电信网的交换机成本更低;丢给传输层处理(差错处理、流量控制)
好处
:网络的造价大大降低,运行方式灵活,能够适应多种应用
-
IP数据包格式
版本
:
版本字段占4bit,指IP协议的版本,目前的IP协议版本号为4(IPV4)是根据二进制换算十进制的版本(0100)
首部长度
:
首部长度字段占 4 bit,可表示的最大数值是 15 个单位(每单位 4 字节);
IP 的首部长度的最大值是60字节。
服务类型
:
服务类型字段占 8 bit,用来获得更好的服务。

优先级
:3bit,指定数据报的优先级(0~7),可以用于拥塞控制,目前主机和路由器一般都忽略该信息。
D:设置后表示要求低延迟
T:设置后表示要求高的吞吐量
R:设置后表示要求高的可靠性
C:设置后表示要求最小代价
都用来给路由选择提供建议,不一定要执行。
D、T、R、C这4个参数每次只能设置其中的一个
总长度
总长度字段占 16 bit,指首部和数据之和的长度,单位为字节,因此数据报的最大长度为 65535 字节。
总长度必须不超过最大传送单元 MTU。
标志
:
标志字段占 3 bit,前2位有意义
MF:MF=1表示后面还有分片,为零表示最后一个。
DF:不能分片。只有当DF=0时才允许分片。
片偏移
:
片偏移字段占13 bit,表示此片的数据部分首字节在分片前的原分组的数据部分中的相对位置。
以8个字节为偏移单位。
生存时间
:
生存时间字段占8 bit,表示数据报在网络中的寿命;
初值取决于主机的操作系统,最大255,每经过一个路由器减1。
协议
:
协议字段占8 bit ,指出此数据报携带的数据使用何种协议,以便目的主机的 IP 层将数据部分上交给哪个处理过程
首部校验和
:
首部检验和字段占16 bit;
只检验数据报的首部(不包括数据部分)。
源地址与目的地址
:
均为IP地址,各占 4 字节
IPv4地址
-
物理地址与逻辑地址
物理地址又称MAC地址或链路地址,由网络设备制造商生产时写在硬件内部,物理地址与网络无关。
Internet中,不同物理地址连成虚拟网后必须有一个统一的地址,以便在整个网络上有唯一的结点标识,这就是IP地址(即逻辑地址)。 - IP地址编址方法与分配管理
-
网络地址
网络号的可用位不为0,主机号全为0。
不能作为目的地址和源地址。
用途:标识一个网络。
网际控制报文协议ICMP
-
ICMP用途及其报文格式
ICMP的用途
作为IP协议的补充,允许主机或路由器报告差错情况和提供有关异常的报告。
ICMP报文格式
ICMP包封装在IP数据报中传送。
ICMP协议属于网际互联层。

Internet传输层协议
传输层协议概述
-
进程间的通信
为什么需要传输层
传输层提供应用进程间的逻辑通信
传输层实现复用(multiplexing)和分用(demultiplexing) -
传输层的两个协议
传输控制协议(Transmission Control Protocol,TCP)
面向连接的、可靠的、全双工的信道
TCP连接是点对点的(一对一)
传输的协议数据单元叫做报文段(segment)
用户数据报协议(User Datagram Protocol,UDP)
无连接的、不可靠的信道
传输的协议数据单元叫做UDP用户数据报
可提供一对一、一对多、多对一和多对多的通信

常见应用和应用层协议使用的传输层协议
端口与套接字
端口(port)
端口是应用层的进程和传输控制层的接口。
使用端口号区分端节点上进行通信的不同进程。
16bit,65536个端口,分为三类
- 熟知端口:0~1023,供TCP/IP中最常用的应用层服务使用,可在www.iana.org查询。
-
登记端口:1024~49151,为没有熟知端口号的应用程序使用的。使用这个范围的端口号必须在
IANA 登记,以防止重复。 -
客户端口(短暂端口):49152~65535,留给客户进程选择暂时使用。服务器进程收到客户进程的报文时,就知道了客户进程使用的动态端口号。通信结束后,这个端口号可供其他客户进程以后使用。
套接字(socket)
:
TCP连接的端点是套接字
端节点的IP地址和端口号共同构成一个套接字
套接字socket = (IP地址: 端口号)
-
编号、确认与重发
编号
报文的顺序关系
指示了数据流的位置,更便于流的复原
较大的序号空间(32bit,4Gbyte)
序号不连续,n1<n2<n3…
确认与重传
-
带重传的肯定确认:
接收方收到正确的数据后,向源站回送ACK报文
发送方重传错误数据(受损报文、丢失报文) -
超时定时器
解决确认信息丢失和迟到的问题。
-
TCP实际采用累计确认(提高信道利用率)
ACK number是接收方希望接收的下一个字节编号
对ACK number以前的所有字节的确认 -
捎带确认方式(接收方有数据发送时)
在传送数据时捎带传送确认信息
- 流量控制
-
滑动窗口机制
窗口:发送方和接收方设置的缓冲区
在建立连接时协商窗口的大小
收到确认后发送窗口向前移动
通信中,接收方可根据自己资源的情况动态调整窗口大小,并通知发送方
-
拥塞控制
拥塞控制:防止过多数据注入网络中,使路由器或链路不过载。
拥塞控制是一个全局过程,涉及到所有的主机、路由器,以及与降低网络传输性能有关的所有因素。
流量控制往往是指对点对点通信量的控制,是端到端的问题。
-
拥塞控制方法
监测拥塞的指标:
因缓存不足被丢弃的分组百分比、
平均队列长度、
超时重传的分组数、
平均分组延时、
分组延时的标准差等。
TCP协议的拥塞控制算法有四种
慢开始(slow-start)
拥塞避免(congestion avoidance)
快重传(fast retransmit)
快恢复(fast recovery)
