题目及要求

解题思路:
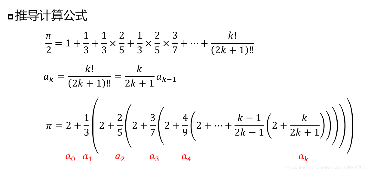
使用泰勒展开将题目可视化。

通过双向循环链表的存储结构计算a,即先算k* a(k-1)再算 k* a(k-1)/(2k+1),并将此数据放入链表num中,之后将num与sum两个链表所表示的数据相加,不断重复上述过程,计算次数越多越精确。
在本题中,笔者限于实力,只能先将PI值进行许多次计算,再在输出时截断至所需位数。这对时间或空间来说都是一场灾难。大佬则可根据下图来确定每次所需计算次数来节省时间和空间。

代码:
#include <stdio.h>
#include <stdlib.h>
typedef struct Node{
int data;
struct Node *pre;
struct Node *next;
}Node, *LinkList;
LinkList num, sum;
LinkList InitList (); //初始化链表
void ExtendList(LinkList m, int data); //延长链表
void MulList(LinkList L, int son); //乘法
void DivList(LinkList m, int mother); //除法
void AddList(LinkList m, LinkList n); //加法
void PrintList(LinkList m, int n); //输出链表数据
void DesList(LinkList m); //销毁链表
int main()
{
int n;
scanf("%d", &n);
num = InitList ();//num储存每次运算结果
sum = InitList ();//sum储存最终结果
for (int i = 0; i < 600; i++) {
//使两者可储存足够多的位数
ExtendList(num,0);
ExtendList(sum,0);
}
for (int j = 1, k = 3; j < 2000; j++) {
MulList(num, j); //乘
DivList(num, k); //除
AddList(num, sum);//加
k += 2;
}
PrintList(sum, n); //输出
DesList(num);//销毁两者
DesList(sum);
return 0;
}
LinkList InitList ()
{ //初始化链表
LinkList m;
m = (LinkList) malloc (sizeof(Node));
m -> data = 2;
m -> pre = m;
m -> next = m;
return m;
}
void ExtendList(LinkList m, int data)
{ //延长链表
LinkList tmp, s;
tmp = m;
if(tmp == NULL){
return;
}
tmp = tmp -> pre;
s = (LinkList) malloc (sizeof(Node));
s -> data = data;
s -> next = tmp -> next;
s -> pre = tmp;
tmp -> next -> pre = s;
tmp -> next = s;
}
void MulList(LinkList m, int son)
{ //乘法
int tmp, ret = 0;
LinkList p;
p = m -> pre;
while(p != m) {
tmp = p -> data * son + ret;
p -> data = tmp % 10;
ret = tmp /10; //进位
p = p ->pre;
}
p -> data += ret;
}
void DivList(LinkList m, int mother)
{ //除法
int tmp, ret = 0;
LinkList p;
p = m;
while(1) {
tmp = p -> data + ret * 10;
ret = tmp % mother; //余数
p -> data = tmp / mother;
p = p -> next;
if(p == m) break;
}
}
void AddList(LinkList m, LinkList n)
{ //加法
int tmp, ret = 0;
LinkList p, q;
p = m -> pre;
q = n -> pre;
while (1){
tmp = p->data + q->data + ret;
q -> data = tmp % 10;
ret = tmp / 10;
p = p -> pre;
q = q -> pre;
if(p == m -> pre) break;
}
}
void PrintList(LinkList m, int n)
{ //输出链表数据
LinkList p;
p = m;
printf("%d.", p -> data);
p = p -> next;
for (int i = 0; i < n; i++) {
printf("%d", p -> data);
p = p -> next;
}
printf("\n");
}
void DesList(LinkList m)
{ //销毁链表
LinkList tmp;
tmp = m -> next;
while(tmp != m) {
m -> next = tmp -> next;
free(tmp);
tmp = m -> next;
}
m -> pre = m;
free(m);
m = NULL;
}
版权声明:本文为weixin_53068269原创文章,遵循 CC 4.0 BY-SA 版权协议,转载请附上原文出处链接和本声明。