FAQ问答项目代码细节————BM25+BERT句子相似度

  • Post author:
  • Post category:其他


一、建立FAQ库

一个问题三个形式,

数据增强之后问题和答案一一对应,19MB的ask.txt,答案保存在answer0-424中,每个文件1000个回答。节省处理时间。

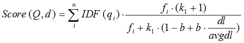
二、BM25初始化


目的:计算bm25公式中需要的值

1、self.titles  <list> len=424043 eg:[‘什么是发票?’,’发票是什么?’,’发票的概念’]

2、self.segTitles <list> len=424043 eg:[ [‘什么’, ‘是’, ‘发票’],[‘发票’, ‘是’, ‘什么’], [‘发票’, ‘的’, ‘概念’]]

3、self.df <dict> len=28387 eg:{“什么”:131898,”是”:136367,”发票”:13734}

4、self.idf <dict> len =28387 eg:{“什么”:0.795219278



版权声明:本文为qq_37228811原创文章,遵循 CC 4.0 BY-SA 版权协议,转载请附上原文出处链接和本声明。