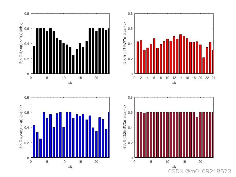
含有分布式电源的配电网日前优化调度粒子群算法的MATLAB程序,目标函数为网络损耗或电压偏差,也可两者结合,代码注释详细,有相关参考文献。

_:8430
656792919606

浪迹天涯

版权声明:本文为m0_69218573原创文章,遵循 CC 4.0 BY-SA 版权协议,转载请附上原文出处链接和本声明。