机器学习03-分类问题

  • Post author:
  • Post category:其他


之前我们有提到邮箱里垃圾邮件分类、肿瘤分类,就是分类问题的一种,是两类分类问题。在这些问题中,我们可以尝试预测的变量y是有两个取值的变量,0或1,就等于垃圾、不垃圾,恶性、良性,通常0表示负类、1表示正类。通常1是代表我们需要寻找的东西。

在这里插入图片描述

假设我们现在有一个给定的训练集,图示如下:

在这里插入图片描述

如果我们用直线去拟合它,我们可能会得到下面的图:

在这里插入图片描述

门槛(分界线)设在0.5,如果小于0.5,则等于0,大于0.5,则等于1。

用直线设置下图看似很合理,假如我们有另一个训练样本位于右边处,如下:

在这里插入图片描述

而我们拟合出来的线就会发生变化:

在这里插入图片描述

而这样的拟合你就发现,拟合的效果并不好。

而且假设函数的输出值会大于1或者小于0,因此我们就要用到一个名为

logistic回归

的算法(说是回归,但是是用于分类的算法),特点在于,预测值都会在0到1之间,不会大于1或小于0



logistic回归算法

众所周知,如果用线性回归算法,假设函数的公式就是这个:

在这里插入图片描述

而logistic回归算法,就是把右边的式子套进一个函数中,如下:

在这里插入图片描述

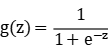
而g(z)的表达式则如下:

在这里插入图片描述

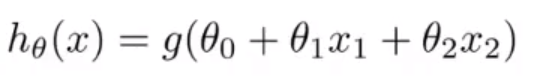
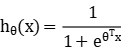
因此假设函数h等于:

在这里插入图片描述

而图示是这样的:

在这里插入图片描述

根据图示,h(x)的结果只会在0-1之间,而这个h(x)的值是一个条件概率:

在这里插入图片描述

意思是在参数θ和参数x的条件下,y=1的概率是多少。

用肿瘤大小举例的话,就是在参数θ和肿瘤大小x的条件下,该肿瘤是恶性肿瘤的概率是多少。

看图可知,θTX>=0时,g(z)>=0.5,y=1,θTX<0时,g(z)<0.5,y=0



决策界限

什么是决策界限呢,其实和上面所说到的门槛十分相像,决策界限内的一种结果,决策界限外是另一种结果。

例如,我们现在有一个训练集,分布是如下:

在这里插入图片描述

假设我们已经有一个此模型的参数,如下:

在这里插入图片描述

假设我们的θ=[-3,1,1],根据上面的规则,即当参数是-3+x1+x2>=0,y=1,也就是打叉部分,而 -3+x1+x2=0 就是我们的

决策界限



在这里插入图片描述

而这个参数怎么设置,后面再说,

现在我们看一个更复杂的例子:

在这里插入图片描述

看到这幅图,第一感觉就是决策界限应该是个园,所以我们的h(x)是:

在这里插入图片描述

θ=[-1,0,0,1,1],然后我们就可以画出一个圆作为这个训练集的决策界限:

在这里插入图片描述

我们已经知到了决策界限,知道了假设函数,下面我们来看看logistic回归算法的代价函数是什么?



logistic回归算法的代价函数

已知

线性回归函数

的公式如下:

在这里插入图片描述

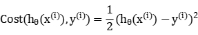
我们设一个cost函数,如下:

在这里插入图片描述

而代价函数J就可以变成如下的样子:

在这里插入图片描述

而我们知道,logistic回归算法的假设函数h(x)已经变成了如下式子:

在这里插入图片描述

因此,如果把logistic回归算法的假设函数h(x)放到线性回归算法的代价函数中,就会产生出一个非凸函数:

在这里插入图片描述

这样的一个非凸函数不能通过梯度下降法计算出我们想要的最优解,我们想象的代价函数的图应该是和线性回归时的图一样光滑才对。

在这里插入图片描述

而logistic回归算法的cost函数是怎么样的呢?

如下:

在这里插入图片描述

如果我们是要看y=1的概率的话,cost函数的图就会像这样:

在这里插入图片描述

当y=1时,如果h(x)=1,cost函数的值就等于0,也就是说恶性肿瘤的概率是0。如果h(x)无限接近于0,cost函数的值就无限接近于无穷,也就是恶性肿瘤的概率是无限接近于100%。

如果我们是要看y=0的概率的话,cost函数的图就会像这样:

在这里插入图片描述

当y=0时,如果h(x)无限接近于1,cost函数的值就无限接近于无穷,也就是良性肿瘤的概率是无限接近于100%。如果h(x)=0,cost函数的值就等于0,也就是良性肿瘤的概率等于0。



cost函数整合

那现在我们知道了logistic回归算法的代价函数,如下:

在这里插入图片描述

而cost函数是一个多项式,如下:

在这里插入图片描述

我们的y只能等于0或1.

我们可以把cost函数整合到一起,更加方便写出代价函数,并推导出梯度下降。整合式子如下:

在这里插入图片描述

这是因为y只能去0或1,当y=0或y=1时,式子就和未拆分前一样。

因此,我们的代价函数是:

在这里插入图片描述

这条式子是用概率学中的极大似然法得出来的,而它也是一个凸函数。

然后我们算出最小的代价函数J,得到最优的θ值,输出最优的假设函数h,就可以用来预测了。



logistic回归算法的梯度下降法:

在这里插入图片描述

和线性回归没有太大的区别,而偏导数的结果是:

在这里插入图片描述

和线性回归也没有太大的区别,就是假设函数h已经物是人非了而已,变成了logistic回归算法。



优化梯度下降算法

除了梯度下降算法以外,还有几个进行过优化的算法,它们不需要定义学习率,而且比梯度下降算法要更加快,缺点的话,就是比梯度下降法要更复杂,这些算法叫:

  1. Conjugate gradient(共轭梯度算法)
  2. BFGS
  3. L-BFGS

这方面的内容吴老师并没有细讲,有兴趣可以自己了解一下在python里如何使用



多元分类:一对多

上面所学的分类都是二元分类,现在我们进行学习的是,多元分类的问题。

多元问题,通常就是y=1,2,…,n个数每个数代表一个分类。

例如诊断病人是可以分成:y=1,没有病痛;y=2,感冒;y=3,流感。

而我们用三种符号来代表三个类别:

在这里插入图片描述

对于二元分类,我们会使用一条直线将数据集分为正类和负类。

对于三元分类,我们利用

一对多

分类思想进行分类。

“一对多”有时也叫做“一对余”



原理

个人理解,一对多其实就是用一条直线进行多次使用达到多元划分的结果。

首先,我们先创建一个新的“伪”训练集,其中类别2类别3设定为负类,类别1设定为正类:

在这里插入图片描述

我们需要拟合一个分类器,称其为h_θ^(1)(x),让三角形的值等于1,圆形的值等于0,接着我们经过上面学到的训练,就能得到一个判定边界:

在这里插入图片描述

同样,我们对类别2进行同样的处理,让类别2变成正方形,类别1和类别3变成圆形:

在这里插入图片描述

拟合第二个逻辑回归分类器,我们称为h_θ^(2)(x),然后我们就能得到这样的一个分类器:

在这里插入图片描述

同理,拟合第三个逻辑回归分类器,我们称为h_θ^(3)(x),然后我们就能得到这样的一个分类器:

在这里插入图片描述

每一个分类器都是对应类的概率:

在这里插入图片描述

得到三个分类器后,我们要做的就是,用我们需要预测分类的参数,代入到每一个分类器中,选择出值最大的分类器,也就是选择在哪的概率最大,预测的y就是那个值了。



版权声明:本文为weixin_43142450原创文章,遵循 CC 4.0 BY-SA 版权协议,转载请附上原文出处链接和本声明。