复习 [kuangbin带你飞]专题5 并查集

  • Post author:
  • Post category:其他




1. poj 2236 Wireless Network

  • 水题
#include <iostream>
using namespace std;
const int MAXN = 2e5+100;
int set[MAXN];
int rank[MAXN];
struct NODE{
	int x,y;
}node[MAXN];
int FIND_PATH(int x){
	if(x == set[x]) return x;
	return set[x] = FIND_PATH(set[x]);
}
void UNION(int x,int y){
	x = FIND_PATH(x);
	y = FIND_PATH(y);
	if(x == y) return;
	if(rank[x] > rank[y]) set[y] = set[x];
	else{
		set[x] = set[y];
		if(rank[x] == rank[y]) rank[y]++;
	}
}
int dis(NODE X,NODE Y){
	int dx = X.x - Y.x;
	int dy = X.y - Y.y;
	return (dx * dx + dy * dy);
}
int vis[MAXN];
int main(){
	char c;
	int n,d,m,p;
	cin>>n>>d;
	for(int i=1;i<=n;i++) set[i] = i;
	for(int i=1;i<=n;i++) cin>>node[i].x>>node[i].y;
	while(cin>>c){
		if(c == 'O'){
			cin>>m;
			for(int i=1;i<=n;i++){
				if(vis[i]&&i!=m&&dis(node[m],node[i])<=d*d){
					UNION(i,m);
				}
			} 
			vis[m] = 1;
		}else if(c == 'S'){
			cin>>m>>p;
			if(FIND_PATH(m) == FIND_PATH(p)) cout<<"SUCCESS"<<endl;
			else cout<<"FAIL"<<endl;
		}
	}
	return 0;
}



2. poj 1611 The Suspects

#include <iostream>
using namespace std;
const int MAXN = 2e5+100;
int set[MAXN];
int rank[MAXN];
struct NODE{
	int x,y;
}node[MAXN];
int FIND_PATH(int x){
	if(x == set[x]) return x;
	return set[x] = FIND_PATH(set[x]);
}
void UNION(int x,int y){
	x = FIND_PATH(x);
	y = FIND_PATH(y);
	if(x == y) return;
	if(rank[x] > rank[y]) set[y] = set[x];
	else{
		set[x] = set[y];
		if(rank[x] == rank[y]) rank[y]++;
	}
}
int main(){
	int n,m,p,x,y;
	while(cin>>n>>m){
		if(n == 0&&m == 0) break;
		for(int i=0;i<n;i++) set[i] = i;
		while(m--){
			cin>>p>>x;
			for(int i=1;i<p;i++){
				cin>>y;
				UNION(x,y);
			}
		}
		int ans = 0;
		for(int i=0;i<n;i++){
			if(FIND_PATH(i) == FIND_PATH(0)) ans++;
		}cout<<ans<<endl;
	}
	return 0;
}



3. hdu 1213 How Many Tables

  • 水题
#include <bits/stdc++.h>

using namespace std;

int main(){
    ios::sync_with_stdio(false);
    cin.tie(0);
    int t;
    cin >> t;
    while(t--){
        int n, m;
        cin >> n >> m;
        vector<int> s(n + 1);
        for(int i=1;i<=n;i++) s[i] = i;
        function<int(int)> FIND = [&](int u){
            return s[u] == u ? u : s[u] = FIND(s[u]);
        };
        for(int i=0;i<m;i++){
            int u, v;
            cin >> u >> v;
            u = FIND(s[u]);
            v = FIND(s[v]);
            s[u] = v;
        }
        int ans = 0;
        for(int i=1;i<=n;i++){
            if(i == FIND(i)) ans += 1;
        }
        cout << ans << '\n';
    }
    return 0;
}



4. hdu 3038 How Many Answers Are Wrong

给出若干个区间加法关系,让你判断这里面有多少错误

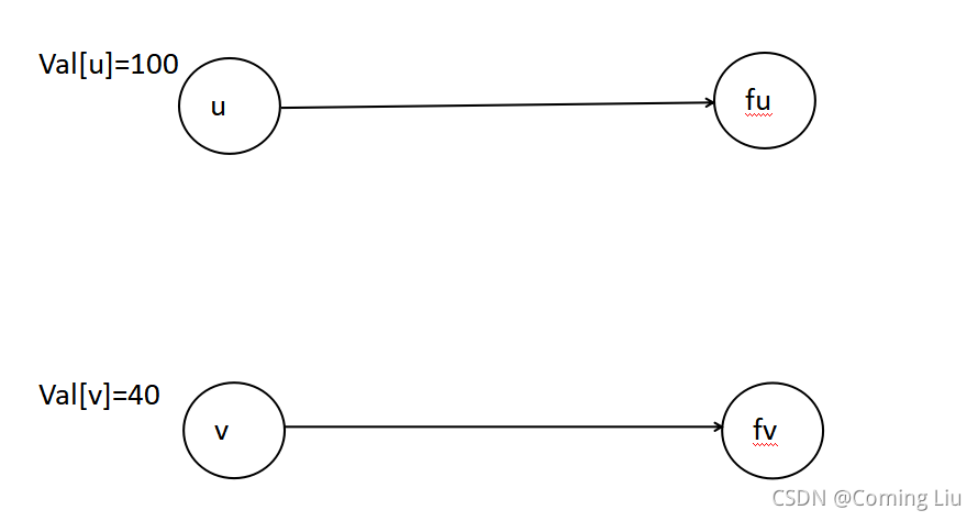
  • 此题是带权并查集
  • 我们来研究一下权值的更新过程,假设输入



    u

    ,

    v

    ,

    w

    u,v,w






    u


    ,




    v


    ,




    w





    ,先画出下面的图

    在这里插入图片描述

  • 上图表示



    u

    u






    u





    的祖先节点是



    f

    u

    fu






    f


    u









    v

    v






    v





    的祖先节点是



    f

    v

    fv






    f


    v









    v

    a

    l

    val






    v


    a


    l





    数组的含义是当前节点相对于祖先节点的权值,如果现在要合并



    u

    u






    u









    v

    v






    v





    ,那么我们要合并



    f

    u

    fu






    f


    u









    f

    v

    fv






    f


    v







    在这里插入图片描述

  • 那么假设我们现在以



    f

    v

    fv






    f


    v





    为祖先节点进行合并,那么显然两条路径权值应该相等,所以有



    v

    a

    l

    [

    u

    ]

    +

    v

    a

    l

    [

    f

    u

    ]

    =

    v

    a

    l

    [

    v

    ]

    +

    w

    val[u]+val[fu]=val[v]+w






    v


    a


    l


    [


    u


    ]




    +








    v


    a


    l


    [


    f


    u


    ]




    =








    v


    a


    l


    [


    v


    ]




    +








    w





    ,而现在我们要求的是



    v

    a

    l

    [

    f

    u

    ]

    val[fu]






    v


    a


    l


    [


    f


    u


    ]





    ,所以有



    v

    a

    l

    [

    f

    u

    ]

    =

    v

    a

    l

    [

    v

    ]

    v

    a

    l

    [

    u

    ]

    +

    w

    val[fu]=val[v]-val[u]+w






    v


    a


    l


    [


    f


    u


    ]




    =








    v


    a


    l


    [


    v


    ]













    v


    a


    l


    [


    u


    ]




    +








    w




  • 上面是合并的例子,如果我们现在已经发现



    u

    u






    u









    v

    v






    v





    已经处于一个集合,那么有下图

    在这里插入图片描述

  • 注意我们已经进行路径压缩,所以



    u

    u






    u









    f

    v

    fv






    f


    v





    的总长为



    v

    a

    l

    [

    u

    ]

    val[u]






    v


    a


    l


    [


    u


    ]





    ,那么此时应该进行验证了,应该有



    w

    +

    v

    a

    l

    [

    v

    ]

    =

    v

    a

    l

    [

    u

    ]

    w+val[v]=val[u]






    w




    +








    v


    a


    l


    [


    v


    ]




    =








    v


    a


    l


    [


    u


    ]





    ,如果不满足说明出现矛盾

#include <bits/stdc++.h>

using namespace std;

int main(){
    ios::sync_with_stdio(false);
    cin.tie(0);
    int n, m;
    while(cin >> n >> m){
        vector<int> s(n + 1);
        vector<int> val(n + 1);
        for(int i=1;i<=n;i++) s[i] = i;
        function<int(int)> FIND = [&](int u){
            if(u != s[u]){
                int fa = s[u];
                s[u] = FIND(fa);
                val[u] += val[fa];
            }
            return s[u];
        };
        int ans = 0;
        while(m--){
            int u, v, w;
            cin >> u >> v >> w;
            u -= 1;
            int fu = FIND(u);
            int fv = FIND(v);
            if(fu == fv){
                if(val[u] - val[v] != w){
                    ans += 1;
                }
            }else{
                s[fu] = fv;
                val[fu] = w + val[v] - val[u];
            }
        }
        cout << ans << '\n';
    }
    return 0;
}



5. poj 1182 食物链

  • 扩展域并查集
#include <iostream>
#include <algorithm>
#include <cstring>
#include <cmath>
#include <vector>
#include <map>
#include <iomanip>
#include <queue>
#include <numeric>
#include <set>
#include <stack>

using namespace std;

typedef long long ll;

const int N = 5e4 + 100;
int st[N * 3];
int FIND(int x){
  return x == st[x] ? x : st[x] = FIND(st[x]);
}
void Merge(int x, int y){
  int fx = FIND(x);
  int fy = FIND(y);
  if(fx != fy){
    st[fx] = fy;
  }
}
int main(){
  ios::sync_with_stdio(false);
  cin.tie(0);
  cout.tie(0);
  int n, k;
  cin >> n >> k;
  for(int i=1;i<=3*n;i++){
    st[i] = i;
  }
  int ans = 0;
  for(int i=0;i<k;i++){
    int d, x, y;
    cin >> d >> x >> y;
    if(x > n || y > n){
      ans += 1;
      continue;
    }
    if(x == y && d == 2){
      ans += 1;
      continue;
    }
    if(d == 1){
      if(FIND(x) == FIND(y + n) || FIND(x) == FIND(y + 2 * n)){
        ans += 1;
        continue;
      }
      Merge(x, y);
      Merge(x + n, y + n);
      Merge(x + 2 * n, y + 2 * n);
    }else{
      if(FIND(x) == FIND(y) || FIND(x) == FIND(y + 2 * n)){
        ans += 1;
        continue;
      }
      Merge(x, y + n);
      Merge(x + n, y + 2 * n);
      Merge(x + 2 * n, y);
    }
  }
  cout << ans << '\n';
  return 0;
}



6. poj 1417 True Liars

  • 带权并查集+dp
#include <iostream>
#include <algorithm>
#include <cstring>
#include <cmath>
#include <vector>
#include <map>
#include <iomanip>
#include <queue>
#include <set>
#include <stack>

using namespace std;
const int N = 700;

int fa[N], val[N];
int dp[N][N]; // dp[i][j]表示存储到第i个集合, 选择种类和为j的方法数
int path[N][N];
int vis[N][2];
int FIND(int x){
  if(x != fa[x]){
    int root = FIND(fa[x]);
    val[x] ^= val[fa[x]];
    fa[x] = root;
  }
  return fa[x];
}
void Merge(int u, int v, int d){
  int fu = FIND(u);
  int fv = FIND(v);
  if(fu != fv){
    fa[fv] = fu;
    val[fv] = val[u] ^ val[v] ^ d;
  }
}
int g[N];
int tag[N][2];
int main(){
  ios::sync_with_stdio(false);
  cin.tie(0);
  cout.tie(0);
  int n, p1, p2;
  while(cin >> n >> p1 >> p2){
    if(n + p1 + p2 == 0) break;
    for(int i=1;i<=p1+p2;i++) fa[i] = i;
    memset(vis, 0, sizeof vis);
    memset(dp, 0, sizeof dp);
    memset(path, 0, sizeof path);
    memset(val, 0, sizeof val);
    memset(tag, 0, sizeof tag);
    memset(g, 0, sizeof g);
    for(int i=0;i<n;i++){
      int u, v;
      string s;
      cin >> u >> v >> s;
      if(s[0] == 'y'){
        Merge(u, v, 0);
      }else{
        Merge(u, v, 1);
      }
    }
    int cnt = 0;
    for(int i=1;i<=p1+p2;i++){
      if(i == FIND(i)) g[i] = ++cnt;
    }
    for(int i=1;i<=p1+p2;i++){
      tag[g[FIND(i)]][val[i]] += 1;
    }
    dp[0][0] = 1;
    for(int i=1;i<=cnt;i++){
      for(int j=0;j<=p1+p2;j++){
        if(j - tag[i][0] >= 0 && dp[i - 1][j - tag[i][0]]){
          dp[i][j] += dp[i - 1][j - tag[i][0]];
          path[i][j] = tag[i][0];
        }
        if(j - tag[i][1] >= 0 && dp[i - 1][j - tag[i][1]]){
          dp[i][j] += dp[i - 1][j - tag[i][1]];
          path[i][j] = tag[i][1];
        }
      }
    }
    if(dp[cnt][p1] != 1){
      cout << "no\n";
    }else{
      for(int i=cnt,j=p1;j>0&&i>0;i--){
        if(path[i][j] == tag[i][0]){
          vis[i][0] = 1;
        }else{
          vis[i][1] = 1;
        }
        j -= path[i][j];
      }
      for(int i=1;i<=p1+p2;i++){
        if(vis[g[FIND(i)]][val[i]]){
          cout << i << '\n';
        }
      }
      cout << "end\n";
    }
  }
  return 0;
}



7. poj 1456 Supermarket

  • 贪心,把商品按照价格降序排列,逆序枚举每一天,看能否购买即可
  • 正确性证明,因为卖货全都是一天时间,卖个贵的显然要优于卖个便宜的,且可以等价替换
#include <iostream>
#include <algorithm>
#include <cstring>
#include <cmath>
#include <vector>
#include <map>
#include <iomanip>
#include <queue>
#include <set>
#include <stack>

using namespace std;
struct st{
  int p, d;
  bool operator < (const st &B)const{
    return p > B.p || (p == B.p && d > B.d);
  }
};
int main(){
  ios::sync_with_stdio(false);
  cin.tie(0);
  cout.tie(0);
  int n;
  while(cin >> n){
    vector<st> vs(n);
    int mx = -1;
    for(int i=0;i<n;i++){
      cin >> vs[i].p >> vs[i].d;
      mx = max(mx, vs[i].p);
    }sort(vs.begin(), vs.end());
    vector<int> vis(mx + 1);
    int ans = 0;
    for(int i=0;i<n;i++){
      for(int j=vs[i].d;j>0;j--){
        if(!vis[j]){
          ans += vs[i].p;
          vis[j] = 1;
          break;
        }
      }
    }
    cout << ans << '\n';
  }
  return 0;
}



8. poj 1733 Parity game

  • 如果区间



    [

    u

    ,

    v

    ]

    [u,v]






    [


    u


    ,




    v


    ]





    内部有偶数个1,那么不妨设



    v

    a

    l

    [

    v

    ]

    v

    a

    l

    [

    u

    1

    ]

    =

    0

    val[v]-val[u-1]=0






    v


    a


    l


    [


    v


    ]













    v


    a


    l


    [


    u













    1


    ]




    =








    0





    ,如果内部有奇数个1,那么



    v

    a

    l

    [

    v

    ]

    v

    a

    l

    [

    u

    1

    ]

    =

    1

    val[v]-val[u-1]=1






    v


    a


    l


    [


    v


    ]













    v


    a


    l


    [


    u













    1


    ]




    =








    1





    ,那么显然是一个带权并查集,更新权值的过程中采用异或代替取模操作

#include <iostream>
#include <algorithm>
#include <cstring>
#include <cmath>
#include <vector>
#include <map>
#include <iomanip>
#include <queue>
#include <set>
#include <stack>

using namespace std;

map<int, int> mp, val;

int FIND(int x){
  if(x == mp[x]) return x;
  if(x != mp[x]){
    int root = FIND(mp[x]);
    val[x] ^= val[mp[x]];
    mp[x] = root;
  }
  return mp[x];
}
void Merge(int u, int v, int d){
  int fu = FIND(u);
  int fv = FIND(v);
  if(fu != fv){
    val[fu] = val[u] ^ d ^ val[v];
    mp[fu] = fv;
  }
}
int main(){
  ios::sync_with_stdio(false);
  cin.tie(0);
  cout.tie(0);
  int n, m;
  cin >> n >> m;
  vector<int> a(m), b(m), c(m);
  for(int i=0;i<m;i++){
    cin >> a[i] >> b[i];
    a[i] -= 1;
    mp[a[i]] = a[i];
    mp[b[i]] = b[i];
    string s;
    cin >> s;
    if(s[0] == 'e') c[i] = 0;
    else c[i] = 1;
  }
  int ans = 0;
  for(int i=0;i<m;i++){
    if(FIND(a[i]) != FIND(b[i])){
      Merge(a[i], b[i], c[i]);
    }else{
      if(val[a[i]] ^ val[b[i]] != c[i]) break;
    }
    ans += 1;
  }
  cout << ans;
  return 0;
}



9. poj1984 Navigation Nightmare

  • 显然是两个方向上的带权并查集即可,注意两个方向完全独立
#include <iostream>
#include <algorithm>
#include <cstring>
#include <cmath>
#include <vector>
#include <map>
#include <iomanip>
#include <queue>
#include <set>
#include <stack>

typedef long long ll;
using namespace std;

ll ABS(ll x){
  return x < 0 ? -x : x;
}
const int N = 4e4 + 10;
int fax[N], fay[N];

ll xx[N], yy[N];
int FINDx(int x){
  if(x == fax[x]) return x;
  int root = FINDx(fax[x]);
  xx[x] += xx[fax[x]];
  return fax[x] = root;
}
int FINDy(int x){
  if(x == fay[x]) return x;
  int root = FINDy(fay[x]);
  yy[x] += yy[fay[x]];
  return fay[x] = root;
}
void Mergex(int u, int v, int d){
  int fu = FINDx(u);
  int fv = FINDx(v);
  if(fu != fv){
    xx[fu] = xx[v] + d - xx[u];
    fax[fu] = fv;
  }
}
void Mergey(int u, int v, int d){
  int fu = FINDy(u);
  int fv = FINDy(v);
  if(fu != fv){
    yy[fu] = yy[v] + d - yy[u];
    fay[fu] = fv;
  }
}
struct st{
  int id;
  int u, v;
  ll dis;
  char c;
};
struct ask{
  int u, v;
  int number;
  int id;
  bool operator < (const ask &B)const{
    return number < B.number;
  }
};
int main(){
  ios::sync_with_stdio(false);
  cin.tie(0);
  cout.tie(0);
  int n, m;
  cin >> n >> m;
  for(int i=1;i<=n;i++){
    fax[i] = i;
    fay[i] = i;
  }
  vector<st> vs(m);
  for(int i=0;i<m;i++){
    cin >> vs[i].u >> vs[i].v >> vs[i].dis >> vs[i].c;
    if(vs[i].u > vs[i].v){
      swap(vs[i].u, vs[i].v);
      if(vs[i].c == 'E') vs[i].c = 'W';
      else if(vs[i].c == 'W') vs[i].c = 'E';
      else if(vs[i].c == 'N') vs[i].c = 'S';
      else if(vs[i].c == 'S') vs[i].c = 'N';          
    }
    vs[i].id = i;
  }
  int q;
  cin >> q;
  vector<ask> que(q);
  for(int i=0;i<q;i++){
    cin >> que[i].u >> que[i].v >> que[i].number;
    que[i].id = i;
  }sort(que.begin(), que.end());
  int now = 0;
  vector<ll> ans(q);
  for(int i=0;i<q;i++){
    while(now < que[i].number){
      if(vs[now].c == 'E'){
        Mergex(vs[now].u, vs[now].v, vs[now].dis);
        Mergey(vs[now].u, vs[now].v, 0);
      }
      if(vs[now].c == 'W'){
        Mergex(vs[now].u, vs[now].v, -vs[now].dis);
        Mergey(vs[now].u, vs[now].v, 0);
      }
      if(vs[now].c == 'N'){
        Mergey(vs[now].u, vs[now].v, vs[now].dis);
        Mergex(vs[now].u, vs[now].v, 0);
      }
      if(vs[now].c == 'S'){
        Mergey(vs[now].u, vs[now].v, -vs[now].dis);
        Mergex(vs[now].u, vs[now].v, 0);
      }
      now += 1;
    }
    if(FINDx(que[i].u) == FINDx(que[i].v) && FINDy(que[i].u) == FINDy(que[i].v)){
      ans[que[i].id] = ABS(xx[que[i].u] - xx[que[i].v]) + ABS(yy[que[i].u] - yy[que[i].v]);
    }else{
      ans[que[i].id] = -1;
    }
  }
  for(int i=0;i<q;i++){
    cout << ans[i] << '\n';
  }
  return 0;
}



10. poj 2912 A Bug’s Life




  • [

    u

    ,

    v

    ]

    [u,v]






    [


    u


    ,




    v


    ]





    表示异性,问是否矛盾

  • 和食物链那题类似,只不过种类数变少了, 也可使用扩展域并查集,这里使用带权并查集,用权值表示属于哪一类
#include <iostream>
#include <algorithm>
#include <cstring>
#include <cmath>
#include <vector>
#include <map>
#include <iomanip>
#include <queue>
#include <set>
#include <stack>

using namespace std;

const int N = 3e3;

int s[N];
int val[N];

int FIND(int x){
  if(x == s[x]) return x;
  int root = FIND(s[x]);
  val[x] ^= val[s[x]];
  return s[x] = root;
}
int main(){
  ios::sync_with_stdio(false);
  cin.tie(0);
  cout.tie(0);
  int t;
  cin >> t;
  for(int kase=1;kase <= t;kase++){
    int n, m;
    cin >> n >> m;
    for(int j=1;j<=n;j++){
      s[j] = j;
      val[j] = 0;
    }
    bool ok = true;
    cout << "Scenario #" << kase << ":\n";
    for(int j=0;j<m;j++){
      int u, v;
      cin >> u >> v;
      int fu = FIND(u);
      int fv = FIND(v);
      if(fu != fv){
        s[fu] = fv;
        val[fu] = val[u] ^ val[v] ^ 1;
      }else{
        if(val[u] == val[v]) ok = false;
      }
    }
    if(ok) cout << "No suspicious bugs found!\n";
    else cout << "Suspicious bugs found!\n";
    cout << '\n';
  }
  return 0;
}



11. poj 2912 Rochambeau

  • 枚举每一个人可能成为裁判的情况
#include <iostream>
#include <algorithm>
#include <cstring>
#include <cmath>
#include <vector>
#include <map>
#include <iomanip>
#include <queue>
#include <set>
#include <stack>

using namespace std;

struct st{
  int u, v;
  char c;
};
const int N = 505;
int fa[N], val[N];

int FIND(int x){
  if(x == fa[x]) return x;
  int root = FIND(fa[x]);
  val[x] = (val[x] + val[fa[x]]) % 3;
  return fa[x] = root;
}
bool Merge(int u, int v, int d){
  int fu = FIND(u);
  int fv = FIND(v);
  if(fu != fv){
    val[fv] = (val[u] + d + 3 - val[v]) % 3;
    fa[fv] = fu;
  }else{
    if((val[v] - val[u] + 3) % 3 != d) return false;
  }
  return true;
}
int main(){
  ios::sync_with_stdio(false);
  cin.tie(0);
  cout.tie(0);
  int n, m;
  while(cin >> n >> m){
    int u, v;
    char c;
    vector<st> vs(m);
    for(int i=0;i<m;i++){
      cin >> vs[i].u >> vs[i].c >> vs[i].v;
    }
    int ans = 0;
    bool ok = true;
    int tot = 0;
    int line = 0;
    for(int i=0;i<n;i++){
      for(int j=0;j<n;j++){
        fa[j] = j;
        val[j] = 0;
      }
      ok = true;
      for(int j=0;j<m;j++){
        int d = 0;
        if(vs[j].u == i || vs[j].v == i) continue;
        if(vs[j].c == '=') d = 0;
        if(vs[j].c == '>') d = 1;
        if(vs[j].c == '<') d = 2;
        if(!Merge(vs[j].u, vs[j].v, d)){
          ok = false;
          line = max(line, j + 1);
          break;
        }
      }
      if(ok){
        tot += 1;
        ans = i;
      }
    }
    if(tot > 1){
      cout << "Can not determine\n";
    }else if(!tot){
      cout << "Impossible\n";
    }else{
      cout << "Player " << ans << " can be determined to be the judge after " << line << " lines\n";
    }
  }
  return 0;
}



12. ZOJ-3261 Connections in Galaxy War

  • 离线倒着处理?以前做的好像挺常规的
#include <bits/stdc++.h>

using namespace std;

typedef long long ll;


const int N = 1e5 + 100;

int fa[N], val[N], p[N];

int FIND(int x){
  if(x == fa[x]) return x;
  int root = FIND(fa[x]);
  val[x] = max(val[x], val[fa[x]]);
  return fa[x] = root;
}
void Merge(int u, int v){
  int fu = FIND(u);
  int fv = FIND(v);
  if(fu != fv){
    if(val[fu] == val[fv]){
      if(fu > fv) swap(fu, fv);
      fa[fv] = fu;
    }else if(val[fu] > val[fv]){
      fa[fv] = fu;
    }else{
      fa[fu] = fv;
    }
  }
}
int main(){
  ios::sync_with_stdio(false);
  cin.tie(0);
  cout.tie(0);
  int n;
  bool f = false;
  while(cin >> n){
    if(f) cout << '\n';
    f = true;
    for(int i=0;i<n;i++){
      cin >> p[i];
      val[i] = p[i];
      fa[i] = i;
    }
    int m;
    cin >> m;
    vector<pair<int, int> > vs(m);
    for(int i=0;i<m;i++){
      cin >> vs[i].first >> vs[i].second;
      if(vs[i].first > vs[i].second) swap(vs[i].first, vs[i].second);
    }
    int q;
    cin >> q;
    vector<vector<int> > operation(q);
    set<pair<int, int> > st;
    for(int i=0;i<q;i++){
      string s;
      int u, v;
      cin >> s;
      if(s == "query"){
        cin >> u;
        operation[i].push_back(u);
      }else{
        cin >> u >> v;
        if(u > v) swap(u, v);
        operation[i].push_back(u);
        operation[i].push_back(v);
        st.insert(make_pair(u, v));
      }
    }
    for(int i=0;i<m;i++){
      if(!st.count({vs[i].first, vs[i].second})){
        Merge(vs[i].first, vs[i].second);
      }
    }
    vector<int> ans;
    for(int i=q-1;i>=0;i--){
      if((int)operation[i].size() > 1){
        int u = operation[i][0];
        int v = operation[i][1];
        Merge(u, v);
      }else{
        int root = FIND(operation[i][0]);
        if(val[root] > p[operation[i][0]]){
          ans.push_back(root);
        }else{
          ans.push_back(-1);
        }
      }
    }
    reverse(ans.begin(), ans.end());
    for(auto i : ans){
      cout << i << '\n';
    }
  }
  return 0;
}



13. hdu 1272 小希的迷宫

  • 注意要求输出的是权值最大,编号最小的,所以带权并查集维护的祖先节点应该满足这两条,然后常规思路离线处理即可
#include <bits/stdc++.h>

using namespace std;

typedef long long ll;


const int N = 1e5 + 100;

int fa[N], val[N], p[N];

int FIND(int x){
  if(x == fa[x]) return x;
  int root = FIND(fa[x]);
  val[x] = max(val[x], val[fa[x]]);
  return fa[x] = root;
}
void Merge(int u, int v){
  int fu = FIND(u);
  int fv = FIND(v);
  if(fu != fv){
    if(val[fu] == val[fv]){
      if(fu > fv) swap(fu, fv);
      fa[fv] = fu;
    }else if(val[fu] > val[fv]){
      fa[fv] = fu;
    }else{
      fa[fu] = fv;
    }
  }
}
int main(){
  ios::sync_with_stdio(false);
  cin.tie(0);
  cout.tie(0);
  int n;
  bool f = false;
  while(cin >> n){
    if(f) cout << '\n';
    f = true;
    for(int i=0;i<n;i++){
      cin >> p[i];
      val[i] = p[i];
      fa[i] = i;
    }
    int m;
    cin >> m;
    vector<pair<int, int> > vs(m);
    for(int i=0;i<m;i++){
      cin >> vs[i].first >> vs[i].second;
      if(vs[i].first > vs[i].second) swap(vs[i].first, vs[i].second);
    }
    int q;
    cin >> q;
    vector<vector<int> > operation(q);
    set<pair<int, int> > st;
    for(int i=0;i<q;i++){
      string s;
      int u, v;
      cin >> s;
      if(s == "query"){
        cin >> u;
        operation[i].push_back(u);
      }else{
        cin >> u >> v;
        if(u > v) swap(u, v);
        operation[i].push_back(u);
        operation[i].push_back(v);
        st.insert(make_pair(u, v));
      }
    }
    for(int i=0;i<m;i++){
      if(!st.count({vs[i].first, vs[i].second})){
        Merge(vs[i].first, vs[i].second);
      }
    }
    vector<int> ans;
    for(int i=q-1;i>=0;i--){
      if((int)operation[i].size() > 1){
        int u = operation[i][0];
        int v = operation[i][1];
        Merge(u, v);
      }else{
        int root = FIND(operation[i][0]);
        if(val[root] > p[operation[i][0]]){
          ans.push_back(root);
        }else{
          ans.push_back(-1);
        }
      }
    }
    reverse(ans.begin(), ans.end());
    for(auto i : ans){
      cout << i << '\n';
    }
  }
  return 0;
}



14. poj 1308 Is It A Tree?

  • 如果输入的点不能构成一个连通块,或者连边之后出现环就说明不是树
#include <iostream>
#include <algorithm>
#include <cstring>
#include <cmath>
#include <vector>
#include <map>
#include <iomanip>
#include <queue>
#include <set>
#include <stack>

using namespace std;

const int N = 2e5 + 5;
int s[N + 20];
int FIND(int x){
  return x == s[x] ? x : s[x] = FIND(s[x]);
}
int main(){
  ios::sync_with_stdio(false);
  cin.tie(0);
  cout.tie(0);
  int u, v;
  vector<int> vs;
  for(int i=1;i<=N;i++) s[i] = i;
  int mx = 0;
  int kase = 1;
  bool yes = true;
  while(cin >> u >> v){
    if(u == -1 && v == -1) break;
    mx = max(max(u, v), mx);
    while(true){
      if(u == 0 && v == 0){
        sort(vs.begin(), vs.end());
        vs.erase(unique(vs.begin(), vs.end()), vs.end());
        for(int i=1;i<(int)vs.size();i++){
          if(FIND(vs[i]) != FIND(vs[i - 1])) yes = false;
        }
        if(yes){
          cout << "Case " << kase << " is a tree.\n";
        }else{
          cout << "Case " << kase << " is not a tree.\n";
        }
        for(int i=1;i<=mx;i++) s[i] = i;
        kase += 1;
        mx = 0;
        yes = true;
        vs.clear();
        break;
      }
      vs.push_back(u);
      vs.push_back(v);
      mx = max(mx, max(u, v));
      int fu = FIND(u);
      int fv = FIND(v);
      if(fu == fv) yes = false;
      s[fu] = fv;
      cin >> u >> v;
    }
  }
  return 0;
}



版权声明:本文为roadtohacker原创文章,遵循 CC 4.0 BY-SA 版权协议,转载请附上原文出处链接和本声明。