目前移动设备主流的屏幕帧率是每秒(60)帧
下面数据结构能够支持随机的插入和删除操作、并具有较好的性能的是
正确答案: A
链表和哈希表
数组和链表
哈希表和队列
堆栈和双向队列
数组插入删除要移动大量元素,不满足具有较好性能
如果某系统12*5=61成立,则系统采用的是()进制
(1 * n + 2) * 5 = 6 * n + 1
n = 9
在黑盒测试方法中,设计测试用例的主要根据是
正确答案: B
程序内部逻辑
程序外部功能
程序数据结构
程序流程图
黑盒测试是对软件
已经实现的功能是否满足需求进行测试和验证
,黑盒测试
完全不考虑程序内部的逻辑结构和内部特性
,只根据程序的需求和功能规格说明,检查程序的功能是否符合它的
功能说明
。
白盒测试又称结构测试、透明盒测试、逻辑驱动测试或基于代码的测试。白盒测试是一种测试用例
设计
方法,盒子指的是被测试的软件,白盒指的是盒子是可视的,你清楚盒子内部的东西以及里面是如何运作的。”白盒”法全面了解程序内部逻辑结构、对所有逻辑路径进行测试。”白盒”法是穷举路径测试。在使用这一方案时,测试者必须检查程序的内部结构,从检查程序的逻辑着手,得出测试数据。贯穿程序的独立路径数是天文数字。
对于以下代码,
char* p=new char[100];
正确的是 D
p和new出来的内存都在栈上
p和new出来的内存都在堆上
p在堆上,new出来的在栈上
p在栈上,new出来的在堆上
new 出来的对象放在堆中,局部变量放在栈中。
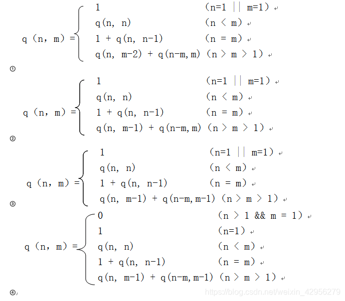
设 q ( n , m )是将正整数 n 划分成最大加数不大于 m 的若干不同正整数之和的划分数,则 q ( n , m )为( )。
正确答案: B
递归思想,1)n=1或m=1时,n分成不大于m的正整数的和的划分数只有1一种。2)n<m时,n分成不大于m的整数==n分成不大于n的整数(n总不能大于n吧)==q(n,n)。3)n=m时 将n分成n(m)这一种情况去掉,就变成1+q(n,n-1)。4)n>m>1时,首先q(n,m-1)中m-1>0为正整数 所以1要排除,这一项意味着把所有将n拆解出的可能中包含m的部分去掉,然后去掉的部分等价于q(n-m,m),这个式子意味着n被默认已经拆出来一个m,然后再让他分解出的整数不大于m。
现在有一个tcp服务端监听了80端口,问最多同时能建立多少连接
正确答案: D
1023
65534
64511
非常多基本和内存大小相关
在大规模的语料中,挖掘词的
相关性
是一个重要的问题。以下哪一个信息不能用于确定两个词的相关性。
正确答案: B
互信息
最大熵
卡方检验
最大似然比
最大熵代表了
整体分布的信息
,通常具有最大熵的分布作为该随机变量的分布, 不能体现两个词的相关性,但是卡方是检验两类事务发生的相关性。
下面关于ID3算法中说法错误的是()
正确答案: D
ID3算法要求特征必须离散化
信息增益可以用熵,而不是GINI系数来计算
选取信息增益最大的特征,作为树的根节点
ID3算法是一个二叉树模型
ID3算法(Iterative Dichotomiser 3 迭代二叉树3代)是一个由Ross Quinlan发明的用于决策树的算法。可以归纳为以下几点:
- 使用所有没有使用的属性并计算与之相关的样本熵值
- 选取其中熵值最小的属性
-
生成包含该属性的节点
D3算法对数据的要求: - 所有属性必须为离散量;
- 所有的训练例的所有属性必须有一个明确的值;
- 相同的因素必须得到相同的结论且训练例必须唯一。
ID3 算法生成的决策树是一棵多叉树,分支的数量取决于分裂属性有多少个不同的取值
执行以下代码
#define SUM(x,y) x+y
int a=3;
int b=2;
a+=a*SUM(a,b)*b;
a的值为: 正确答案: A
16
30
33
39
宏函数SUM只在预编译阶段做
预处理
工作,即只是简单地进行
字符替换
而已。
a += a*SUM(a,b)*b
a+= a*a+b*b
如果要得到C选项,宏函数就得这样写:
#define SUM(x, y) ((x)+(y))
N-gram是一种简单有效的统计语言模型,通常n采用1-3之间的值,它们分别称为unigram、bigram和trigram。现有给定训练语料合计三个文档如下:
D1: John read Moby Dick
D2: Mary read a different book,
D3: She read a book by Cher
利用bigram求出句子“John read a book”的概率大约是( )
正确答案: B
1
0.06
0.09
0.0008
2-gram公式
P(s1,s2,s3…) = P(s1)*P(s2|s1)*P(s3|s2)…
john在文章开头的概率:P(john) = 1/3
P(read | John) = 1
P(a|read) = 2/3
P(book|a) = 1/2
P(尾巴|book) = 1/2, book出现两次,其中一次是在句子结尾处
P(“John read a book”) = 1/3 * 1 * 2/3 * 1/2 * 1/2 = 1/18 ≈ 0.06,故选择B
unigram,bigram,trigram,是自然语言处理(NLP)中的问题。父词条:n-gram.
unigram: 单个word P(s1,s2,s3…) = P(s1)*P(s2)*P(s3)…
bigram: 双word
trigram:3 word P(s1,s2,s3…) = P(s1)*P(s2|s1)*P(s3|s1s2)…
比如:
西安交通大学:
unigram 形式为:西/安/交/通/大/学
bigram形式为: 西安/安交/交通/通大/大学
trigram形式为:西安交/安交通/交通大/通大学
下列有关k-mean算法说法正确的是()
正确答案: A D
不能自动识别类的个数,随机挑选初始点为中心点计算
数据数量不多时,输入的数据的顺序不同会导致结果不同
不能自动识别类的个数,不是随机挑选初始点为中心点计算
初始聚类中心的选择对聚类结果的影响很大
B: Kmeans优化目标函数的过程中,两步均是遍历
所有的点,累加损失
。 因此与数据的输入顺序无关。
D:传统的K-means聚类算法太依赖于聚类数目和初始聚类中心位置的选择了,聚类数目一般要人为设定,这个根据经验来定,至于位置,一般可以选择生成随机数的方法,随机数就比较随意了,如果随机数刚好落在了密度很大的数据区域,本来这个区域是最终可以聚为一类的,可是现在有好几个初始聚类中心落在这里了,那么这个区域就会被强行划分成几类,显然就会造成误检,误检就是,本来不应该形成一类,却形成了。
Ref
相关性
Pearson要求
连续线性
;
Spearman只要求
单调
就可以了,不一定要连续线性。
两个定序测量数据之间也用spearman相关系数,不能用pearson相关系数
正常建立一条TCP连接需要()个步骤,正常关闭一个TCP连接需要()个步骤
正确答案: B
3,3
3,4
4,4
4,3
三次握手 四次挥手
在给定文件中查找与设定条件相符字符串的命令
正确答案: B
gzip
grep
ls
find
一个有偏的硬币,抛了100次,出现1次人头,99次字。问用最大似然估计(ML)和最小均方误差(LSE)估计出现人头的概率哪个大?
正确答案: B
ML=MSE
ML>MSE
ML<MSE
解答:相等
