python实现堆排序

  • Post author:
  • Post category:python


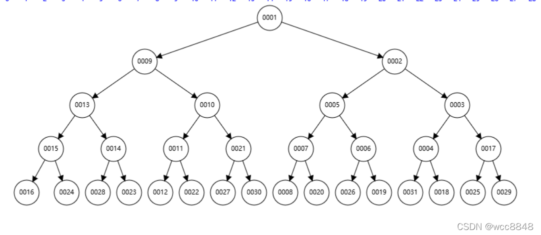
堆排序,首先要理解堆的概念,

堆是由树组成,首先需要涉及到的概念就是,树,二叉树,完全二叉树。,大根堆,小根堆,

可根据别的网站搜索或者

https://www.jb51.net/article/216519.htm

访问可知上述的答案:

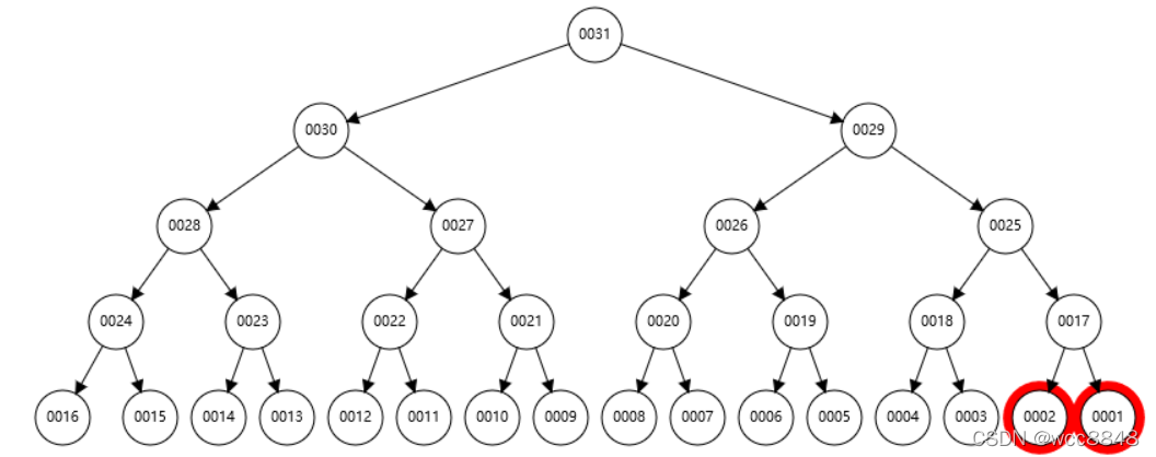
然后 大根堆:所有的孩子节点没有自己大的的完全二叉树:

小根堆:

所有的孩子节点都比自己大的完全二叉树:

然后了解堆的自我调整:

#构建一个堆
#1.建立堆
#2.得到堆顶元素,为最大元素
#3.去掉堆顶,将堆最后一个元素放到堆顶,此时可以通过一次调整重新使堆有序
#4.堆顶元素为第二大元素
#5.重复步骤3,直到堆变空

建立堆


def sift(li,low,high):
    '''

    :param li: 列表
    :param low: 堆的根结点位置
    :param high:堆的最后一个元素的位置,
    :return:
    '''
    i = low #最开始指向根节点
    j = 2*i+1 #j开始是左孩子
    temp = li[low]##存储堆顶元素
    while j <= high: #只要j位置有数

        if j+1<=high and li[j+1]>li[j]:#边界的判定条件,如果右孩子比较大
            j =j+1 #j指向右孩子

        if li[j]>temp:大于堆顶元素
            li[i] = li[j]交换
            i = j
            j = 2*i+1
        else:##如果temp放入i的地方
            li[i] =temp#把temp放入某一节领导的位置
            break
    else:
        li[i] =temp##把temp放到叶子节点上

然后进行排序:

def heap_sort(li):
    n = len(li)
    for i in range((n-2)//2,-1,-1):

        #i表示建堆的时候调整的部分的根下表
        sift(li ,i,n-1)
    ##建堆就完成了
    for i in (n-1,-1,-1):##当前堆的最后一个元素
        li[0],li[i] = li[i],li[0]
        sift(li,0,i-1)##i-1是新的high



版权声明:本文为wcc8848原创文章,遵循 CC 4.0 BY-SA 版权协议,转载请附上原文出处链接和本声明。