-
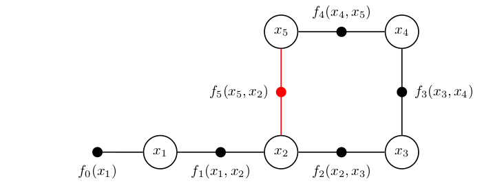
什么是回环?
机器人在其雷达/相机中,辨认出之前访问的路标点。(后端优化)
下图来自于官网,
x5
,
x
2
x_5,x_2
x
5
,
x
2
为相同路标点,添加回环之后,重新优化位姿,可以有效降低不确定度(协防差)。

绿色包围的大小表示不确定度(matlab画出)。
-
代码1:官方例程
.g2o文件:
VERTEX_SE2 0 0.000000 0.000000 0.000000
VERTEX_SE2 1 0.774115 1.183389 1.576173
VERTEX_SE2 2 -0.262420 2.047059 -3.127594
VERTEX_SE2 3 -1.605649 0.993891 -1.561134
EDGE_SE2 0 1 0.774115 1.183389 1.576173 1.000000 0.000000 0.000000 1.000000 0.000000 1.000000
EDGE_SE2 1 2 0.869231 1.031877 1.579418 1.000000 0.000000 0.000000 1.000000 0.000000 1.000000
EDGE_SE2 2 3 1.357840 1.034262 1.566460 1.000000 0.000000 0.000000 1.000000 0.000000 1.000000
EDGE_SE2 2 0 0.303492 1.865011 -3.113898 1.000000 0.000000 0.000000 1.000000 0.000000 1.000000
EDGE_SE2 0 3 -0.928526 0.993695 -1.563542 1.000000 0.000000 0.000000 1.000000 0.000000 1.000000
使用pcl_viewer查看:(左图为矫正前,右图为矫正后(原理详见slam14讲第10讲))

代码:
#include <gtsam/slam/lago.h>
#include <gtsam/slam/dataset.h>
#include <gtsam/slam/PriorFactor.h>
#include <gtsam/geometry/Pose2.h>
#include <fstream>
using namespace std;
using namespace gtsam;
int main(int argc,char** argv){
//read data
string g2oFile="/home/n1/notes/gtsam/loopclosure/noisyToyGraph.g2o";
NonlinearFactorGraph::shared_ptr graph;
Values::shared_ptr initial;
//boost::tie:将两个内部参数赋值(最多可以有10个),并将其合并为一个类型范围
// template<class T0, class T1>
// inline typename detail::tie_mapper<T0, T1>::type
// tie(T0& t0, T1& t1) {
// typedef typename detail::tie_mapper<T0, T1>::type t;
// return t(t0, t1);
// }
boost::tie(graph,initial)=readG2o(g2oFile);
//readG2o(file,is3D,kernelFuntionType)
// file:文件路径
// is3D:默认false 是否为3d问题
// kernelFuntionType:采用何种核函数
NonlinearFactorGraph graphWithPrior=*graph;
noiseModel::Diagonal::shared_ptr priorModel=noiseModel::Diagonal::Variances(Vector3(1e-6,1e-6,1e-8));
graphWithPrior.add(PriorFactor<Pose2>(0,Pose2(),priorModel));//添加起始点
std::cout << "Computing LAGO estimate ..." << std::endl;
//使用lago 快速初始化因子图
Values estimate=lago::initialize(graphWithPrior);//返回因子图中的值
std::cout << "done" << std::endl;
estimate.print("estimateLago");
string outputfile="/home/n1/notes/gtsam/loopclosure/corretnoisy.g2o";
std::cout << "Writing results to file: " << outputfile << std::endl;
writeG2o(*graph,estimate,outputfile);
//graph:图结构
//estimate:估计值
//outputfile:保存路径
std::cout << "done! " << std::endl;
}
- 例子2:
原始数据.g2o
#include <gtsam/slam/InitializePose3.h>
#include <gtsam/slam/dataset.h>
#include <gtsam/slam/BetweenFactor.h>
#include <gtsam/slam/PriorFactor.h>
#include <fstream>
#include <string>
using namespace std;
using namespace gtsam;
int main(int argc,char** argv){
string g2ofile="/home/n1/notes/gtsam/loopclosuresphere3d/sphere.g2o";
NonlinearFactorGraph::shared_ptr graph;
Values::shared_ptr initial;
bool is3D=true;
boost::tie(graph,initial)=readG2o(g2ofile,is3D);
NonlinearFactorGraph graphPrior=*graph;
noiseModel::Diagonal::shared_ptr priormpdel=noiseModel::Diagonal::Variances(Vector6(1e-6,1e-6,1e-6,1e-4,1e-4,1e-4));
Key firstKey=0;
for(const Values::ConstKeyValuePair& key_value:*initial){
std::cout<<"添加 起始因子 到g2o"<<std::endl;
firstKey=key_value.key;//获取其第一个因子键值(因为不一定起始为0)
graphPrior.add(PriorFactor<Pose3>(firstKey,Pose3(),priormpdel));
break;
}
std::cout<<"Initialzing Pose3"<<std::endl;
Values initialzation=InitializePose3::initialize(graphPrior);//初始化
std::cout<<"done"<<endl;
initialzation.print("initialzatoin");
string output="/home/n1/notes/gtsam/loopclosuresphere3d/correctsphere.g2o";
std::cout<<"wirte results to file:"<<output<<std::endl;
writeG2o(*graph,initialzation,output);
std::cout<<"done"<<std::endl;
return 0;
}
版权声明:本文为weixin_37781153原创文章,遵循 CC 4.0 BY-SA 版权协议,转载请附上原文出处链接和本声明。