参考书籍《动手学深度学习(pytorch版),参考网址为:
https://zh-v2.d2l.ai/chapter_multilayer-perceptrons/index.html
https://tangshusen.me/Dive-into-DL-PyTorch/#/chapter03_DL-basics/3.8_mlp
请大家也多多支持这两个很好用的平台~
大部分内容为书中内容,也有部分自己实验和添加的内容,如涉及侵权,会进行删除。
一、模型选择、欠拟合和过拟合
在前几节基于Fashion-MNIST数据集的实验中,我们评价了机器学习模型在训练数据集和测试数据集上的表现。如果你改变过实验中的模型结构或者超参数,你也许发现了:当模型在训练数据集上更准确时,它在测试数据集上却不一定更准确。
1.1 训练误差和泛化误差
在解释上述现象之前,我们需要区分
训练误差(training error)
和
泛化误差(generalization error)
。通俗来讲,前者指模型在训练数据集上表现出的误差,后者指模型在任意一个测试数据样本上表现出的误差的期望,并常常通过测试数据集上的误差来近似。计算训练误差和泛化误差可以使用之前介绍过的损失函数,例如线性回归用到的平方损失函数和softmax回归用到的交叉熵损失函数。
让我们以高考为例来直观地解释训练误差和泛化误差这两个概念。训练误差可以认为是做往年高考试题(训练题)时的错误率,泛化误差则可以通过真正参加高考(测试题)时的答题错误率来近似。假设训练题和测试题都随机采样于一个未知的依照相同考纲的巨大试题库。如果让一名未学习中学知识的小学生去答题,那么测试题和训练题的答题错误率可能很相近。但如果换成一名反复练习训练题的高三备考生答题,即使在训练题上做到了错误率为0,也不代表真实的高考成绩会如此。
在机器学习里,我们通常假设训练数据集(训练题)和测试数据集(测试题)里的每一个样本都是从同一个概率分布中相互独立地生成的。基于该独立同分布假设,给定任意一个机器学习模型(含参数),它的训练误差的期望和泛化误差都是一样的。例如,如果我们将模型参数设成随机值(小学生),那么训练误差和泛化误差会非常相近。但我们从前面几节中已经了解到,模型的参数是通过在训练数据集上训练模型而学习出的,参数的选择依据了最小化训练误差(高三备考生)。所以,训练误差的期望小于或等于泛化误差。也就是说,一般情况下,由训练数据集学到的模型参数会使模型在训练数据集上的表现优于或等于在测试数据集上的表现。由于无法从训练误差估计泛化误差,
一味地降低训练误差并不意味着泛化误差一定会降低。
机器学习模型应关注降低泛化误差。
1.2 模型选择
在机器学习中,通常需要评估若干候选模型的表现并从中选择模型。这一过程称为模型选择(model selection)。可供选择的候选模型可以是有着不同超参数的同类模型。以多层感知机为例,我们可以选择隐藏层的个数,以及每个隐藏层中隐藏单元个数和激活函数。为了得到有效的模型,我们通常要在模型选择上下一番功夫。下面,我们来描述模型选择中经常使用的验证数据集(validation data set)。
验证数据集
从严格意义上讲,测试集只能在所有超参数和模型参数选定后使用一次。不可以使用测试数据选择模型,如调参。由于无法从训练误差估计泛化误差,因此也不应只依赖训练数据选择模型。鉴于此,我们可以预留一部分在训练数据集和测试数据集以外的数据来进行模型选择。这部分数据被称为验证数据集,简称验证集(validation set)。例如,我们可以从给定的训练集中随机选取一小部分作为验证集,而将剩余部分作为真正的训练集。
然而在实际应用中,由于数据不容易获取,测试数据极少只使用一次就丢弃。因此,实践中验证数据集和测试数据集的界限可能比较模糊。从严格意义上讲,除非明确说明,否则本书中实验所使用的测试集应为验证集,实验报告的测试结果(如测试准确率)应为验证结果(如验证准确率)。
K折交叉验证
由于验证数据集不参与模型训练,当训练数据不够用时,预留大量的验证数据显得太奢侈。一种改善的方法是K折交叉验证(K-fold cross-validation)。在K折交叉验证中,我们把原始训练数据集分割成K个不重合的子数据集,然后我们做K次模型训练和验证。每一次,我们使用一个子数据集验证模型,并使用其他K−1个子数据集来训练模型。在这K次训练和验证中,每次用来验证模型的子数据集都不同。最后,我们对这K次训练误差和验证误差分别求平均。
1.3 欠拟合和过拟合
接下来,我们将探究模型训练中经常出现的两类典型问题:一类是模型无法得到较低的训练误差,我们将这一现象称作欠拟合(underfitting);另一类是模型的训练误差远小于它在测试数据集上的误差,我们称该现象为过拟合(overfitting)。在实践中,我们要尽可能同时应对欠拟合和过拟合。虽然有很多因素可能导致这两种拟合问题,在这里我们重点讨论两个因素:模型复杂度和训练数据集大小。
模型复杂度
为了解释模型复杂度,我们以多项式函数拟合为例。给定一个由标量数据特征x和对应的标量标签y组成的训练数据集,多项式函数拟合的目标是找一个K阶多项式函数。

来近似 y。在上式中,wk 是模型的权重参数,b是偏差参数。与线性回归相同,多项式函数拟合也使用平方损失函数。特别地,一阶多项式函数拟合又叫线性函数拟合。
因为高阶多项式函数模型参数更多,模型函数的选择空间更大,所以高阶多项式函数比低阶多项式函数的复杂度更高。因此,高阶多项式函数比低阶多项式函数更容易在相同的训练数据集上得到更低的训练误差。给定训练数据集,模型复杂度和误差之间的关系通常如图所示。给定训练数据集,如果模型的复杂度过低,很容易出现欠拟合;如果模型复杂度过高,很容易出现过拟合。应对欠拟合和过拟合的一个办法是针对数据集选择合适复杂度的模型。

训练数据集大小
影响欠拟合和过拟合的另一个重要因素是训练数据集的大小。一般来说,如果训练数据集中样本数过少,特别是比模型参数数量(按元素计)更少时,过拟合更容易发生。此外,泛化误差不会随训练数据集里样本数量增加而增大。因此,在计算资源允许的范围之内,我们通常希望训练数据集大一些,特别是在模型复杂度较高时,例如层数较多的深度学习模型。
1.4 多项式函数拟合实验
demo1:
import torch
import numpy as np
import matplotlib.pyplot as plt
# 生成数据集
# y=1.2x-3.4x^2+5.6x^3+5+ϵ,噪声项ϵ服从均值为0、标准差为0.01的正态分布
# 训练数据集和测试数据集的样本数都设为100
n_train, n_test, true_w, true_b = 100, 100, [1.2, -3.4, 5.6], 5
features = torch.randn((n_train + n_test, 1)) #特征x
poly_features = torch.cat((features, torch.pow(features, 2), torch.pow(features, 3)), 1) #1表示对列横向拼接,即展宽
labels = (true_w[0] * poly_features[:, 0] + true_w[1] * poly_features[:, 1]
+ true_w[2] * poly_features[:, 2] + true_b)
labels += torch.tensor(np.random.normal(0, 0.01, size=labels.size()), dtype=torch.float)# 给标签加上噪声
#poly_features[:, 0]的形状已经是torch.Size([200])了
print(features.shape, poly_features.shape, labels.shape)
print(poly_features[:n_train, :].shape[-1])
#定义、训练和测试模型
#先定义作图函数semilogy,其中 yy 轴使用了对数尺度
def semilogy(x_vals, y_vals, x_label, y_label, x2_vals=None, y2_vals=None,
legend=None, figsize=(3.5, 2.5)):
#d2l.set_figsize(figsize)
plt.xlabel(x_label)
plt.ylabel(y_label)
plt.semilogy(x_vals, y_vals)
if x2_vals and y2_vals:
plt.semilogy(x2_vals, y2_vals, linestyle=':')
plt.legend(legend)
plt.show()
#,多项式函数拟合也使用平方损失函数。因为我们将尝试使用不同复杂度的模型来拟合生成的数据集,所以我们把模型定义部分放在fit_and_plot函数中
num_epochs, loss = 100, torch.nn.MSELoss()
def fit_and_plot(train_features, test_features, train_labels, test_labels):
net = torch.nn.Linear(train_features.shape[-1], 1) #train_features.shape[-1]是3
# 通过Linear文档可知,pytorch已经将参数初始化了,所以我们这里就不手动初始化了
batch_size = min(10, train_labels.shape[0])
dataset = torch.utils.data.TensorDataset(train_features, train_labels)
train_iter = torch.utils.data.DataLoader(dataset, batch_size, shuffle=True)
optimizer = torch.optim.SGD(net.parameters(), lr=0.01)
train_ls, test_ls = [], [] #存储训练集和测试集的损失
for _ in range(num_epochs):
for X, y in train_iter:
l = loss(net(X), y.view(-1, 1))
optimizer.zero_grad() # 梯度清零
l.backward()
optimizer.step()
train_labels = train_labels.view(-1, 1)
test_labels = test_labels.view(-1, 1)
train_ls.append(loss(net(train_features), train_labels).item())
test_ls.append(loss(net(test_features), test_labels).item())
print('final epoch: train loss', train_ls[-1], 'test loss', test_ls[-1])
semilogy(range(1, num_epochs + 1), train_ls, 'epochs', 'loss',
range(1, num_epochs + 1), test_ls, ['train', 'test'])
print('weight:', net.weight.data,
'\nbias:', net.bias.data) #查看拟合的权重和偏差
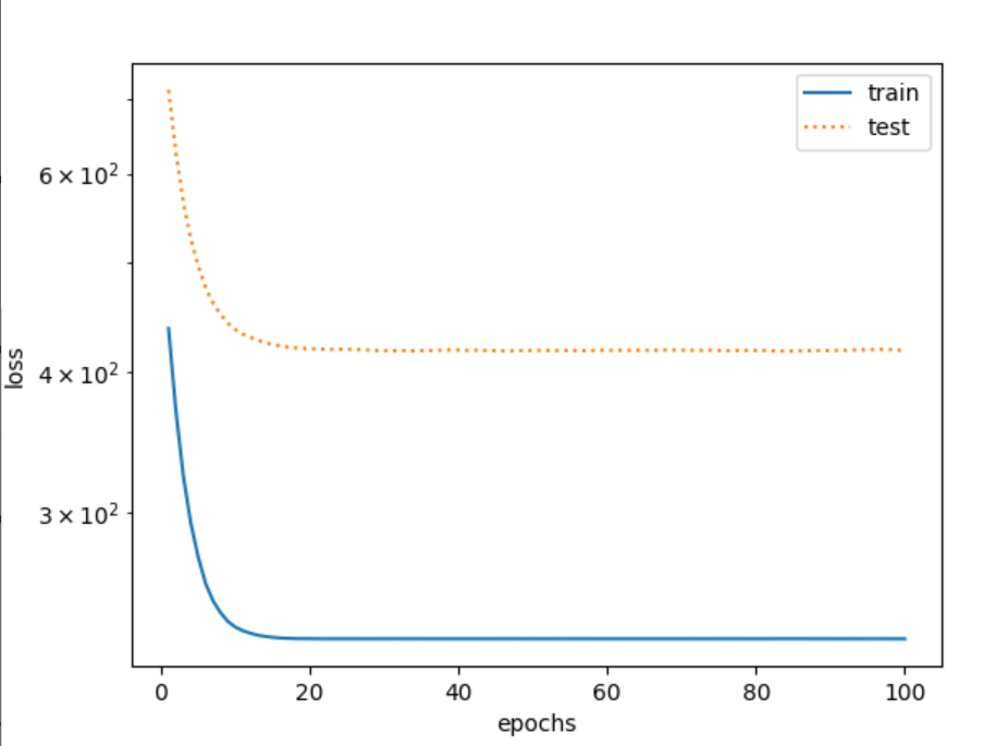
# 三阶多项式函数拟合(正常),先使用与数据生成函数同阶的三阶多项式函数拟合,这个模型的训练误差和在测试数据集的误差都较低
fit_and_plot(poly_features[:n_train, :], poly_features[n_train:, :],
labels[:n_train], labels[n_train:])
print('-' * 80)
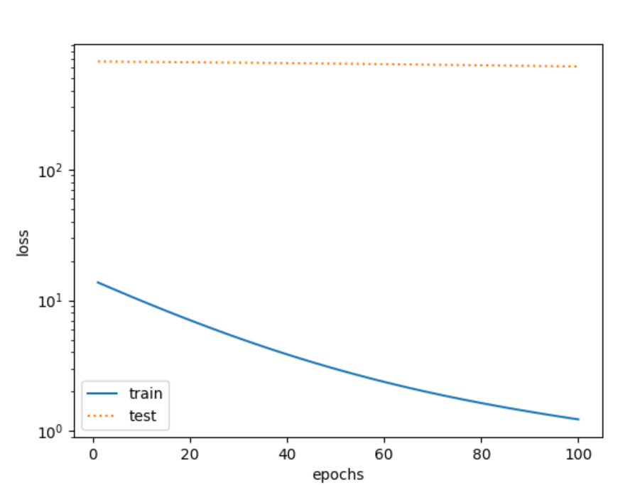
#线性函数拟合(欠拟合),该模型的训练误差在迭代早期下降后便很难继续降低。在完成最后一次迭代周期后,训练误差依旧很高。线性模型在非线性模型(如三阶多项式函数)生成的数据集上容易欠拟合。
fit_and_plot(features[:n_train, :], features[n_train:, :], labels[:n_train],
labels[n_train:])
print('-' * 80)
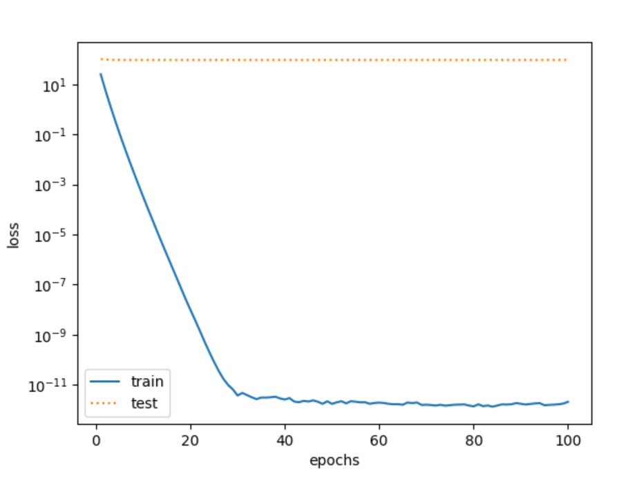
#训练样本不足(过拟合),即便使用与数据生成模型同阶的三阶多项式函数模型,如果训练样本不足,该模型依然容易过拟合。
# 让我们只使用两个样本来训练模型。显然,训练样本过少了,甚至少于模型参数的数量。
# 这使模型显得过于复杂,以至于容易被训练数据中的噪声影响。在迭代过程中,尽管训练误差较低,但是测试数据集上的误差却很高。这是典型的过拟合现象。
fit_and_plot(poly_features[0:2, :], poly_features[n_train:, :], labels[0:2],
labels[n_train:])
out1:
torch.Size([200, 1]) torch.Size([200, 3]) torch.Size([200])
3
final epoch: train loss 0.00014509086031466722 test loss 0.00020924341515637934
weight: tensor([[ 1.1861, -3.3975, 5.6044]])
bias: tensor([4.9946])
--------------------------------------------------------------------------------
final epoch: train loss 183.65853881835938 test loss 174.52203369140625
weight: tensor([[19.2906]])
bias: tensor([1.2503])
--------------------------------------------------------------------------------
final epoch: train loss 1.1808015187853016e-07 test loss 28.033918380737305
weight: tensor([[ 3.1173, -0.4395, 4.6372]])
bias: tensor([-0.4349])



二、权重衰减
上一节中我们观察了过拟合现象,即模型的训练误差远小于它在测试集上的误差。虽然增大训练数据集可能会减轻过拟合,但是获取额外的训练数据往往代价高昂。本节介绍应对过拟合问题的常用方法:权重衰减(weight decay)。
2.1 方法
权重衰减等价于 L2范数正则化(regularization)。正则化通过为模型损失函数添加惩罚项使学出的模型参数值较小,是应对过拟合的常用手段。我们先描述L2范数正则化,再解释它为何又称权重衰减。
L2范数正则化在模型原损失函数基础上添加L2范数惩罚项,从而得到训练所需要最小化的函数。L2范数惩罚项指的是模型权重参数每个元素的平方和与一个正的常数的乘积。以(线性回归)中的线性回归损失函数

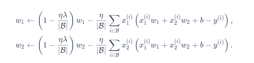
为例,其中w1,w2是权重参数,b是偏差参数,样本i的输入为x1(i),x2(i) ,标签为y(i),样本数为n。将权重参数用向量w=[w1,w2]表示,带有L2范数惩罚项的新损失函数为

其中超参数λ>0。当权重参数均为0时,惩罚项最小。当λ较大时,惩罚项在损失函数中的比重较大,这通常会使学到的权重参数的元素较接近0。当λ设为0时,惩罚项完全不起作用。上式中L2范数平方∥w∥^2展开后得到w1 ^2+w2 ^2 。有了L2范数惩罚项后,在小批量随机梯度下降中,我们将线性回归一节中权重w1和w2的迭代方式更改为
可见,L2 范数正则化令权重w1 和w2先自乘小于1的数,再减去不含惩罚项的梯度。因此,L2范数正则化又叫权重衰减。权重衰减通过惩罚绝对值较大的模型参数为需要学习的模型增加了限制,这可能对过拟合有效。实际场景中,我们有时也在惩罚项中添加偏差元素的平方和。
2.2 高维线性回归实验
下面,我们以高维线性回归为例来引入一个过拟合问题,并使用权重衰减来应对过拟合。设数据样本特征的维度为p。对于训练数据集和测试数据集中特征为x1,x2,…,xp 的任一样本,我们使用如下的线性函数来生成该样本的标签:

其中噪声项ϵ服从均值为0、标准差为0.01的正态分布。为了较容易地观察过拟合,我们考虑高维线性回归问题,如设维度p=200;同时,我们特意把训练数据集的样本数设低,如20。
从零实现
demo2:
import torch
import myutils
import numpy as np
import d2lzh_pytorch as d2l
n_train, n_test, num_inputs = 20, 100, 200
true_w, true_b = torch.ones(num_inputs, 1) * 0.01, 0.05
features = torch.randn((n_train + n_test, num_inputs))
labels = torch.matmul(features, true_w) + true_b
labels += torch.tensor(np.random.normal(0, 0.01, size=labels.size()), dtype=torch.float)
train_features, test_features = features[:n_train, :], features[n_train:, :]
train_labels, test_labels = labels[:n_train], labels[n_train:]
#初始化模型参数,为每个参数都附上梯度
def init_params():
w = torch.randn((num_inputs, 1), requires_grad=True)
b = torch.zeros(1, requires_grad=True)
return [w, b]
#定义L2范数惩罚项
def l2_penalty(w):
return (w**2).sum() / 2
'''
def linreg(X, w, b):
return torch.mm(X, w) + b
def squared_loss(y_hat, y):
# 注意这里返回的是向量, 另外, pytorch里的MSELoss并没有除以 2
return ((y_hat - y.view(y_hat.size())) ** 2) / 2
def sgd(params, lr, batch_size):
# 为了和原书保持一致,这里除以了batch_size,但是应该是不用除的,因为一般用PyTorch计算loss时就默认已经
# 沿batch维求了平均了。
for param in params:
param.data -= lr * param.grad / batch_size # 注意这里更改param时用的param.data
'''
#定义训练和测试
batch_size, num_epochs, lr = 1, 100, 0.003
net, loss = d2l.linreg, d2l.squared_loss
dataset = torch.utils.data.TensorDataset(train_features, train_labels)
train_iter = torch.utils.data.DataLoader(dataset, batch_size, shuffle=True)
def fit_and_plot(lambd):
w, b = init_params()
train_ls, test_ls = [], []
for _ in range(num_epochs):
for X, y in train_iter:
# 添加了L2范数惩罚项
l = loss(net(X, w, b), y) + lambd * l2_penalty(w)
l = l.sum()
if w.grad is not None:
w.grad.data.zero_()
b.grad.data.zero_()
l.backward()
d2l.sgd([w, b], lr, batch_size)
train_ls.append(loss(net(train_features, w, b), train_labels).mean().item())
test_ls.append(loss(net(test_features, w, b), test_labels).mean().item())
myutils.semilogy(range(1, num_epochs + 1), train_ls, 'epochs', 'loss',
range(1, num_epochs + 1), test_ls, ['train', 'test'])
print('L2 norm of w:', w.norm().item()) #norm()求二范数
# 观察过拟合
# 训练并测试高维线性回归模型
# 当lambd设为0时,我们没有使用权重衰减。结果训练误差远小于测试集上的误差。这是典型的过拟合现象。
fit_and_plot(lambd=0)
# 使用权重衰减
# 训练误差虽然有所提高,但测试集上的误差有所下降。过拟合现象得到一定程度的缓解。另外,权重参数的L2范数比不使用权重衰减时的更小,此时的权重参数更接近0。
fit_and_plot(lambd=3)
out2:
L2 norm of w: 12.924983024597168
L2 norm of w: 0.028965411707758904


简洁实现
这里我们直接在构造优化器实例时通过weight_decay参数来指定权重衰减超参数。默认下,PyTorch会对权重和偏差同时衰减。我们可以分别对权重和偏差构造优化器实例,从而只对权重衰减。
demo3:
import torch
import myutils
import torch.nn as nn
import numpy as np
n_train, n_test, num_inputs = 20, 100, 200
true_w, true_b = torch.ones(num_inputs, 1) * 0.01, 0.05
features = torch.randn((n_train + n_test, num_inputs))
labels = torch.matmul(features, true_w) + true_b
labels += torch.tensor(np.random.normal(0, 0.01, size=labels.size()), dtype=torch.float)
train_features, test_features = features[:n_train, :], features[n_train:, :]
train_labels, test_labels = labels[:n_train], labels[n_train:]
batch_size, num_epochs, lr = 1, 100, 0.003
loss = nn.MSELoss()
dataset = torch.utils.data.TensorDataset(train_features, train_labels)
train_iter = torch.utils.data.DataLoader(dataset, batch_size, shuffle=True)
def fit_and_plot_pytorch(wd):
# 对权重参数衰减。权重名称一般是以weight结尾
net = nn.Linear(num_inputs, 1)
nn.init.normal_(net.weight, mean=0, std=1)
nn.init.normal_(net.bias, mean=0, std=1)
optimizer_w = torch.optim.SGD(params=[net.weight], lr=lr, weight_decay=wd) # 对权重参数衰减
optimizer_b = torch.optim.SGD(params=[net.bias], lr=lr) # 不对偏差参数衰减
train_ls, test_ls = [], []
for _ in range(num_epochs):
for X, y in train_iter:
l = loss(net(X), y).mean()
optimizer_w.zero_grad()
optimizer_b.zero_grad()
l.backward()
# 对两个optimizer实例分别调用step函数,从而分别更新权重和偏差
optimizer_w.step()
optimizer_b.step()
train_ls.append(loss(net(train_features), train_labels).mean().item())
test_ls.append(loss(net(test_features), test_labels).mean().item())
myutils.semilogy(range(1, num_epochs + 1), train_ls, 'epochs', 'loss',
range(1, num_epochs + 1), test_ls, ['train', 'test'])
print('L2 norm of w:', net.weight.data.norm().item())
# 观察过拟合
# 训练并测试高维线性回归模型
# 当lambd设为0时,我们没有使用权重衰减。结果训练误差远小于测试集上的误差。这是典型的过拟合现象。
fit_and_plot_pytorch(0)
# 使用权重衰减
# 训练误差虽然有所提高,但测试集上的误差有所下降。过拟合现象得到一定程度的缓解。另外,权重参数的L2范数比不使用权重衰减时的更小,此时的权重参数更接近0。
fit_and_plot_pytorch(3)
out3:
L2 norm of w: 13.81008243560791
L2 norm of w: 0.07008302211761475


三、丢弃法(dropout)
除了前一节介绍的权重衰减以外,深度学习模型常常使用丢弃法(dropout) 来应对过拟合问题。丢弃法有一些不同的变体。本节中提到的丢弃法特指倒置丢弃法(inverted dropout)。
3.1 方法


从零实现
demo4:
import torch
import myutils
import numpy as np
import d2lzh_pytorch as d2l
#dropout函数将以drop_prob的概率丢弃X中的元素
def dropout(X, drop_prob):
X = X.float() # float() 函数用于将整数和字符串转换成浮点数
assert 0 <= drop_prob <= 1 # 检查条件,不符合就终止程序
keep_prob = 1 - drop_prob
# 这种情况下把全部元素都丢弃
if keep_prob == 0:
return torch.zeros_like(X)
mask = (torch.rand(X.shape) < keep_prob).float() #mask随机变量(0或者1)
return mask * X / keep_prob
#测试dropout函数
X = torch.arange(16).view(2, 8)
print(dropout(X, 0)) #都不丢弃
print(dropout(X, 0.5)) #丢弃一半
print(dropout(X, 1)) #全部丢弃
# 定义模型参数
# 使用Fashion-MNIST数据集,定义一个包含两个隐藏层的多层感知机,其中两个隐藏层的输出个数都是256
num_inputs, num_outputs, num_hiddens1, num_hiddens2 = 784, 10, 256, 256
W1 = torch.tensor(np.random.normal(0, 0.01, size=(num_inputs, num_hiddens1)), dtype=torch.float, requires_grad=True)
b1 = torch.zeros(num_hiddens1, requires_grad=True)
W2 = torch.tensor(np.random.normal(0, 0.01, size=(num_hiddens1, num_hiddens2)), dtype=torch.float, requires_grad=True)
b2 = torch.zeros(num_hiddens2, requires_grad=True)
W3 = torch.tensor(np.random.normal(0, 0.01, size=(num_hiddens2, num_outputs)), dtype=torch.float, requires_grad=True)
b3 = torch.zeros(num_outputs, requires_grad=True)
params = [W1, b1, W2, b2, W3, b3]
# 定义模型
# 定义的模型将全连接层和激活函数ReLU串起来,并对每个激活函数的输出使用丢弃法
# 可以分别设置各个层的丢弃概率。通常的建议是把靠近输入层的丢弃概率设得小一点。在这个实验中,我们把第一个隐藏层的丢弃概率设为0.2,把第二个隐藏层的丢弃概率设为0.5
# 我们可以通过参数is_training来判断运行模式为训练还是测试,并只需在训练模式下使用丢弃法
drop_prob1, drop_prob2 = 0.2, 0.5
def net(X, is_training=True):
X = X.view(-1, num_inputs)
H1 = (torch.matmul(X, W1) + b1).relu()
if is_training: # 只在训练模型时使用丢弃法
H1 = dropout(H1, drop_prob1) # 在第一层全连接后添加丢弃层
H2 = (torch.matmul(H1, W2) + b2).relu()
if is_training:
H2 = dropout(H2, drop_prob2) # 在第二层全连接后添加丢弃层
return torch.matmul(H2, W3) + b3
# 我们在对模型评估的时候不应该进行丢弃,所以我们修改一下evaluate_accuracy函数
def evaluate_accuracy(data_iter, net):
acc_sum, n = 0.0, 0
for X, y in data_iter: #pytorch模型
if isinstance(net, torch.nn.Module):
net.eval() # 评估模式, 这会关闭dropout
acc_sum += (net(X).argmax(dim=1) == y).float().sum().item()
net.train() # 改回训练模式
else: # 自定义的模型
if('is_training' in net.__code__.co_varnames): # 如果net有is_training这个参数
# 将is_training设置成False
acc_sum += (net(X, is_training=False).argmax(dim=1) == y).float().sum().item()
else:
acc_sum += (net(X).argmax(dim=1) == y).float().sum().item()
n += y.shape[0]
return acc_sum / n
#训练和测试模型
'''
由于原书的mxnet中的SoftmaxCrossEntropyLoss在反向传播的时候相对于沿batch维求和了,而PyTorch默认的是求平均,
所以用PyTorch计算得到的loss比mxnet小很多(大概是maxnet计算得到的1/batch_size这个量级),所以反向传播得到的梯度也小很多,
所以为了得到差不多的学习效果,我们把学习率调得成原书的约batch_size倍,原书的学习率为0.5,这里设置成100.0。
(之所以这么大,应该是因为d2lzh_pytorch里面的sgd函数在更新的时候除以了batch_size,其实PyTorch在计算loss的时候已经除过一次了,sgd这里应该不用除了)
'''
num_epochs, lr, batch_size = 5, 100.0, 256 #相当于train_ch3里的sgd函数和loss都除了一遍batch_size
loss = torch.nn.CrossEntropyLoss()
train_iter, test_iter = d2l.load_data_fashion_mnist(batch_size)
loss_list, train_acc_list, test_acc_list = myutils.train_ch3(net, train_iter, test_iter, loss, num_epochs, batch_size, params, lr)
myutils.show_img(num_epochs, loss_list, train_acc_list, test_acc_list)
out4:
tensor([[ 0., 1., 2., 3., 4., 5., 6., 7.],
[ 8., 9., 10., 11., 12., 13., 14., 15.]])
tensor([[ 0., 0., 4., 0., 8., 10., 12., 0.],
[16., 18., 0., 0., 24., 26., 0., 30.]])
tensor([[0., 0., 0., 0., 0., 0., 0., 0.],
[0., 0., 0., 0., 0., 0., 0., 0.]])
D:\Anaconda3\envs\py36\lib\site-packages\torchvision\datasets\mnist.py:498: UserWarning: The given NumPy array is not writeable, and PyTorch does not support non-writeable tensors. This means you can write to the underlying (supposedly non-writeable) NumPy array using the tensor. You may want to copy the array to protect its data or make it writeable before converting it to a tensor. This type of warning will be suppressed for the rest of this program. (Triggered internally at ..\torch\csrc\utils\tensor_numpy.cpp:180.)
return torch.from_numpy(parsed.astype(m[2], copy=False)).view(*s)
epoch 1, loss 0.0045, train acc 0.546, test acc 0.702
epoch 2, loss 0.0023, train acc 0.781, test acc 0.810
epoch 3, loss 0.0019, train acc 0.820, test acc 0.822
epoch 4, loss 0.0017, train acc 0.840, test acc 0.824
epoch 5, loss 0.0016, train acc 0.849, test acc 0.835

简洁实现
在PyTorch中,我们只需要在全连接层后添加Dropout层并指定丢弃概率。在训练模型时,Dropout层将以指定的丢弃概率随机丢弃上一层的输出元素;在测试模型时(即model.eval()后),Dropout层并不发挥作用。
demo5:
import torch
import myutils
import torch.nn as nn
import d2lzh_pytorch as d2l
num_inputs, num_outputs, num_hiddens1, num_hiddens2 = 784, 10, 256, 256
drop_prob1, drop_prob2 = 0.2, 0.5
net = nn.Sequential(
nn.Flatten(),
nn.Linear(num_inputs, num_hiddens1),
nn.ReLU(),
# 在第一个全连接层之后添加一个dropout层
nn.Dropout(drop_prob1),
nn.Linear(num_hiddens1, num_hiddens2),
nn.ReLU(),
# 在第二个全连接层之后添加一个dropout层
nn.Dropout(drop_prob2),
nn.Linear(num_hiddens2, num_outputs)
)
for param in net.parameters():
nn.init.normal_(param, mean=0, std=0.01)
num_epochs, batch_size = 5, 256 #区别于复杂实现,这里的lr不再为100
loss = torch.nn.CrossEntropyLoss()
train_iter, test_iter = d2l.load_data_fashion_mnist(batch_size)
optimizer = torch.optim.SGD(net.parameters(), lr=0.5)
loss_list, train_acc_list, test_acc_list = myutils.train_ch3(net, train_iter, test_iter, loss, num_epochs, batch_size, None, None, optimizer)
myutils.show_img(num_epochs, loss_list, train_acc_list, test_acc_list)
out5:
epoch 1, loss 0.0048, train acc 0.518, test acc 0.685
epoch 2, loss 0.0023, train acc 0.781, test acc 0.785
epoch 3, loss 0.0020, train acc 0.818, test acc 0.806
epoch 4, loss 0.0018, train acc 0.836, test acc 0.813
epoch 5, loss 0.0017, train acc 0.845, test acc 0.798

四、正向传播、反向传播和计算图
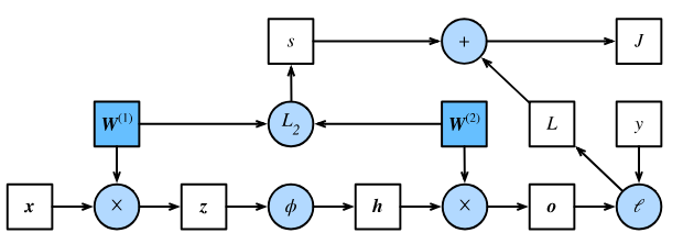
前面几节里我们使用了小批量随机梯度下降的优化算法来训练模型。在实现中,我们只提供了模型的正向传播(forward propagation)的计算,即对输入计算模型输出,然后通过autograd模块来调用系统自动生成的backward函数计算梯度。基于反向传播(back-propagation)算法的自动求梯度极大简化了深度学习模型训练算法的实现。本节我们将使用数学和计算图(computational graph)两个方式来描述正向传播和反向传播。具体来说,我们将以带L2 范数正则化的含单隐藏层的多层感知机为样例模型解释正向传播和反向传播。
4.1 正向传播

4.2 正向传播的计算图
我们通常绘制计算图来可视化运算符和变量在计算中的依赖关系。图中绘制了本节中样例模型正向传播的计算图,其中左下角是输入,右上角是输出。可以看到,图中箭头方向大多是向右和向上,其中方框代表变量,圆圈代表运算符,箭头表示从输入到输出之间的依赖关系。

4.3 反向传播

4.4 训练深度学习模型

五、数值稳定性和模型初始化
理解了正向传播与反向传播以后,来讨论一下深度学习模型的数值稳定性问题以及模型参数的初始化方法。深度模型有关数值稳定性的典型问题是衰减(vanishing)和爆炸(explosion)。
5.1 衰减和爆炸

5.2 随机初始化模型参数
在神经网络中,通常需要随机初始化模型参数。下面我们来解释这样做的原因。
回顾3.8节(多层感知机)图3.3描述的多层感知机。为了方便解释,假设输出层只保留一个输出单元o1(删去o2和o3 以及指向它们的箭头),且隐藏层使用相同的激活函数。如果将每个隐藏单元的参数都初始化为相等的值,那么在正向传播时每个隐藏单元将根据相同的输入计算出相同的值,并传递至输出层。在反向传播中,每个隐藏单元的参数梯度值相等。因此,这些参数在使用基于梯度的优化算法迭代后值依然相等。之后的迭代也是如此。在这种情况下,无论隐藏单元有多少,隐藏层本质上只有1个隐藏单元在发挥作用。因此,正如在前面的实验中所做的那样,
我们通常将神经网络的模型参数,特别是权重参数,进行随机初始化。
PyTorch的默认随机初始化
随机初始化模型参数的方法有很多。在线性回归的简洁实现中,我们使用torch.nn.init.normal_()使模型net的权重参数采用正态分布的随机初始化方式。不过,PyTorch中nn.Module的模块参数都采取了较为合理的初始化策略(不同类型的layer具体采样的哪一种初始化方法的可参考源代码),因此一般不用我们考虑。
Xavier随机初始化
还有一种比较常用的随机初始化方法叫作Xavier随机初始化。 假设某全连接层的输入个数为a,输出个数为b,Xavier随机初始化将使该层中权重参数的每个元素都随机采样于均匀分布

它的设计主要考虑到,模型参数初始化后,每层输出的方差不该受该层输入个数影响,且每层梯度的方差也不该受该层输出个数影响。