目录
1.4 图像保真度准则 (Fidelity Criteria)
2.2算术编码 (Arithmetic Coding) 消除编码冗余
2.3LZW编码 (Lempel-Ziv-Welch coding)
1.基本概念
1.1 图像压缩概念及其分类
数据压缩
以尽可能少的数据表示信源所发出的信号,减少数据所占用的存储空间
信息论中称
信源编码
- 无失真编码
- 有失真编码(或称限失真编码)
图像压缩
数据压缩技术在图像中的应用。
- 无损压缩(Lossless compression):原始数据可完全从压缩数据中恢复出来,
即在压缩和解压缩过程中没有信息损失
。 压缩比2:1左右- 有损压缩(Lossy compression) :原始数据不能完全从压缩数据中恢复出来,即恢复数据只是在某种失真度下的近似。 压缩比2:1-1000:1;
1.2 数据冗余
信源数据 = 有用数据 + 冗余数据
如果能减少或消除冗余数据,就能取得压缩的效果。
压缩比(Compression Ratio,CR)
n1(压缩前)、( n2压缩后) 代表两个表示相同信息的数据集,压缩比定义为:
前/后
压缩比越大越好,若为1,则没有压缩
三种基本的图像冗余
1.
编码冗余(Coding Redundancy)
编码冗余:
如果一个图像的灰度级编码,使用了
多于实际需要的编码符号
,就称该图像包含了编码冗余。
解决方法:
可变长编码(Variable-length coding,VLC)、haffman编码
2.
像素间冗余 (Interpixel Redundancy)
像素间冗余
:反映图像像素之间的相关性
行程编码
:具有相同灰度值的像素组成的序列,称一个行程。
不懂……
![]()
![]()
3.
心理视觉冗余 (Psychovisual Redundancy)
心理视觉冗余:
在正常
视觉
处理过程中,各种信息的相对重要程度不同,
不重要的信息
称心理视觉冗余。
消除心理视觉冗余
:
量化
(一般是图像处理第一步)
- 消除心理视觉冗余数据会导致一定量
信息的丢失
。- 量化是不可逆的,导致数据
有损压缩。
1.3 图像信息的度量
自信息量
I(x)
一个随机事件发生某一结果后所带来的信息量称为自信息量,简称自信息,定义为
其发生概率对数的负值
。若随机事件xi发生的概率为p(xi),它的自信息I(xi)为:
![]()
自信息量的
单位
取决于对数所取的底
- 若以2为底,单位为比特(bit, binary unit)
- 若以e为底,单位为奈特(nat, nature unit)
- 若以10为底,单位为哈特(hart,以纪念Hartley; 1928年 Hartley提出信息量的关系)
条件自信息量
I(x|y)
条件概率对数的负值。设在yj条件下发生xi的条件概率为p(xi|yj),那么它的条件自信息量为:
![]()
信源熵
H(X)
信源的平均信息量
,信源各个离散消息的自信息量的数学期望,简称熵,标记为H(X)。
![]()
条件熵
H(X|Y)
已知随机变量Y的条件下,随机变量X的条件熵H(X|Y)。
![]()
信源编码
无失真信源编码定理
:对于离散信源X,实现
无失真编码
的条件是其
平均码字长度不能小于其信息熵
,即
H(X) ≤ L< H(X) + ε
其中L为码字平均长度,ε表示任意小正数.
所以无失真编码后平均码长的存在一个理论下限——图像信息熵。
理论上,最佳无失真编码的平均码长可以无限接近、但总是大于或等于图像熵H。存在任意接近该下限的编码方法。
变字长编码定理:
对出现概率大的信符赋予短码字,而对小的赋予长码字,则编码的平均码长不会大于任何其它排列方式。
1.4 图像保真度准则 (Fidelity Criteria)
保真度准则
评价信息损失的测度
。描述解码图像相对于原始图像的偏离程度。常用保真度准则分为两大类:
- 客观保真度准则 损失的信息量用原始图像与解码图像的函数表示
![]()
- 主观保真度准则 观察者观察图像并给该图像评分
1.5 图像压缩模型
信源编码器和信源解码器模型
2.图像压缩方法
2.1Huffman编码 消除编码冗余
根据信源数据符号发生的概率进行编码。
(比较简单不解释 看个例题)
2.2算术编码 (Arithmetic Coding) 消除编码冗余
算术编码基本原理:是将
被编码的信息流
(称为消息)表示成
实数0和1之间的一个区间
消息越长,编码表示它的区间就越小,表示这一小区间所需的二进制位数就越多。
算术编码与Huffman都属于可变长编码,但算术编码更接近于最优熵编码,
优于Huffman编码
。
算术编码用到两个基本参数:
符号的概率和它的编码区间
。
例子:
2.3LZW编码 (Lempel-Ziv-Welch coding)
又称字符串表编码
LZW编码思想
:
编码过程中将所遇到的字符串建立一个字符串表,字符串表中的每个字符串都对应一个索引,编码时用字串表中的索引替代原始的字符串,达到压缩的目的
方法:
每当字符串表中没有的字符串第一次出现时,它就被原样保存,同时给这个字符串分配一个索引。
当这个串再次出现时,只保存它的索引。
【说明】字符串表是在编码过程中动态生成的,
字符串表不必保存在压缩文件里
。因为解码时,字符串表可由压缩文件的信息动态重构。
参考文章:
LZW压缩算法原理解析 – 个人文章 – SegmentFault 思否
例题:(有空再重新翻译吧)
2.4位平面编码
先进行位平面分解,然后编码。
位平面分解
:将一幅图像分解为一系列二值图像
- 对于 8 位 256 灰度级图像来说,如果它的每个灰度值用二进制表示,选择将这 8 个数字用 8 个字节来表示,如 32 的二进制表示是 00100000,将其储存为[0 ,0, 1, 0, 0, 0, 0, 0],则其二维图像可以理解为一个 8 层的三维图像,每一层代表一个比特平面。
- 高阶平面储存的信息比低阶平面的多
- 参考:
5.5 Python图像处理之图像编码-位平面编码_集电极的博客-CSDN博客_python 图像编码
位平面编码:
自然码Natural Code m个比特:
![]()
![]()
重构是使用第 n 个平面的像素值乘以常数 2^(n-1)
格雷码Gray Code 异或操作
![]()
![]()
![]()
2.5
预测编码
相邻的像素是高度相关的。根据前面的像素值预测像素值,然后编码预测值与实际值之间的差值。
相邻像素之间的差异很小。只需要少量的比特来表示差异。 这些差异可以被量化,以进一步减少编码数据。
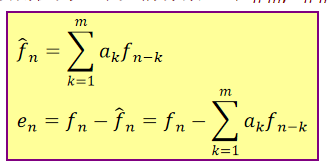
预测编码:
预测器的输出取整,计算预测误差en 。
解码器根据接
解码:
收到的误差重建
预测器
预测器:
输入图像的像素fn逐个进入预测器,预测器根据过去的输入产生当前输入像素的估计值。
线性预测器:
预测值为m个先前像素,即fn-m, fn-m+1,….,fn-1的线性组合。
最优预测器
:最优准则是最小化平方预测误差MSE
最优线性预测器:
计算线性预测系数ai,以最小化E{
}
一堆公式不知道讲啥 跳过了
量化器 ???????
量化器
:将预测误差
量化为
预测器的输入为已编码像素的重构值,而非已编码像素原始值
2.6变换编码
预测编码:
利用邻近像素在灰度上的相关性,对某一像素的预测误差进行编码。
变换编码:
利用整块子图像所有像素在灰度上的相关性,对变换系数进行编码。
通常是指将某种
正交变换
作为
映射变换
,用
变换系数
来
表示原始图像
,
对变换系数进行量化和编码
。
正交变换作用
: 正交变换将空域高度相关的像素灰度值变为弱相关或不相关的系数。
正交变换之后,变换域中总能量不变,但
能量将会重新分布
。图像通过正交变换后实现了
能量的集中
,使大多数系数为零或是很小的数值正交变换后,
没有丢失图像所包含的信息
。
WHT Walsh-Hadamard Transform
DCT Discrete Cosine Transform 二维离散余弦变换
DWT
Discrete Wavelet Transformation
离散小波变换
3.图像压缩标准
3.1 二值图像压缩标准
G3和G4
G3 非自适应、1维行程编码技术 非自适应
G4是G3的1种简化版本,其中只使用2维编码
JBIG(Joint Bi-level Image experts Group),JBIG2
可以支持很高的图像分辨率
累进操作方式
无损压缩
压缩率比G3和G4高
3.2 静止图像压缩标准
JPEG (Joint Picture Expert Group)
该标准定义了两种方式的编码:
- 基于DCT变换的非可逆编码方式,该方式又分基本系统和扩展系统。
- 基于DPCM的可逆编码方式。
综合上面的两种方式,JPEG共有四种工作模式:
- 顺序编码模式;
- 渐进编码模式;
- 无失真编码模式;
- 分层编码工作模式。
JPEG2000
编码变换采用DWT变换为主的多分辨编码方式,是具有
更高压缩率
和提供很多新功能的新型静态图像压缩标准。
JPEG基本系统编码器
量化:(频域)
3.3 视频压缩标准
MPEG标准
MPEG标准包括3个子标准,即MPEG系统标准、MPEG视频标准和MPEG音频标准。
- MPEG系统是用来解决视频流和音频流的多路复用和同步等问题
- MPEG视频和音频主要研究视频信号和音频信号的压缩和解压缩技术
MPEG标准 应用范围 主要编码技术 帧序列 MPEG-1
运动图像及其伴音的编码,VCD,MP3音乐
1、DCT变换
2、前向、双向运动补偿预测
3、Zig-zag排序
4、Huffman编码、算术编码
5、每15帧至少要有一个I帧
I B P构成 MPEG-2
高清晰度电视(HDTV) 的视频及伴音信号,DVD
MPEG-4 各种音频视频 MPEG-7 多媒体内容描述接口 MPEG-21 多媒体框架标准
电视会议标准
:H.261、H.263
H.261 序列灰度图像压缩标准
H.263 称为低码率图像编码国际标准
电视会议标准 H.261标准 H.263标准 应用范围 电视会议 可视电话 主要编码技术 DCT变换
向前运动补偿预测
Zig-zag排序
霍夫曼编码
DCT变换
双向运动补偿预测
Zig-zag排序
霍夫曼编码
帧序列 I P构成 I B P构成
MPEG帧的分类:
连续帧图像压缩的基本思想
- 帧内编码技术:根据同帧附近像素来加以预测
- 帧间编码技术:根据附近帧中的像素来加以预测
I帧
(Intra-picture)
不需要参考其它画面
而独立进行压缩编码的画面
P帧
(Predicted-picture)
参考前面已编码的I或P画面
进行
预测编码
的画面
B帧
(Bidirectional-picture)
既参考前面
的I或P画面、
又参考后面
的I或P画面进行
双向预测编码的画面
画面的编码顺序与解码顺序可能不同,所以一个GOP(group of pictures)中的画面在编码前和解码后都必须重新排序
