数论函数
   
什么是数论函数?
定义域在正整数的函数。(下文如无特殊说明均为数论函数)
    积性函数
   
什么是积性函数?
积性函数即满足这个性质的数论函数:
    
    ,人话说就是只要互质,可以乘除的就是积性函数。
   
    
     可以看出任何积性函数的第1项都是1。
    
    否则不满足
    
   
而完全积性函数就是:
    
    ,人话说就是没有条件,完全可以乘除。
   
只要能满足这样的东西就行。
    几个常见的积性函数
   
    1.莫比乌斯函数
    
    的取值后面再说
   
    2.欧拉函数
    
    表示1~i这些正整数中和i互质的数的个数。
   
    3.除数函数
    
    表示n的所有约数的k次方和。
   
    引申出来有
    
    ,即d函数表示该数约数个数,sigma函数表示该数约数和。
   
    4.单位函数:
    
    ,即n=1(红字性质)时等于1,反之为0.后面那个叫艾普西隆,英文epsilon。
   
    5.为了方便定义的函数:
    
    下文有用。
   
    狄利克雷卷积
   
狄利克雷卷积是一种运算方式(吧)?对于乘法性狄利克雷卷积,它的性质就是:
    
   
注意*表示“卷”而不是乘。乘法表示是什么都不写或者·或者x。
人话说就是,两个积性函数指定项的卷积即枚举其因数,用第一个函数的因数项和另一个函数的另一个因数项相乘再求和。
    满足的性质
   
    1.交换律:
    
   
    2.结合律:
    
   
    3.分配律:
    
   
    
     4.单位元:
     
     ,即任何积性函数卷积艾普西隆就是自己。
    
   
    常见的狄利克雷卷积
   
    
     1.约数个数
    
   
    
   
    
     2.约数和
    
   
    
   
    
     
      3.莫比乌斯函数的定义
     
    
   
    
   
即
    
   
    
     4.Id函数由欧拉函数所得的卷积
    
   
试证明
    
   
设有n个分数分别是
    
   
其中有的分数可以约分为最简分数。可以看出约分后的分母是n的约数
    且由于这时这个分母与分子互质且这个分母比n小,所以对于每个分母a会出现
    
    次。
   
所以
    
   
    
     5.欧拉函数的一种卷积方式
    
   
试证明
    
   
由4得
    
   
    
   
    
   
    
   
    莫比乌斯反演的本质
   
狄利克雷卷积的最大特点就是这样的函数都可以线性筛求出来。有了狄利克雷卷积,我们就可以说说莫比乌斯反演的本质了。
形如
    
   
即
    
   
    
   
    
   
    
    这才是真正的证明。
   
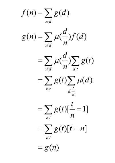
至于后缀和形式,那是另一种证明方式,这里贴一张图上来。(注:图中f与g的意义与本文相反。)
     
   
这才是莫比乌斯函数与莫比乌斯反演的意义。要先明确莫比乌斯函数的定义,再谈反演。
更新于2019.2.20
对于有种后缀和形式的莫比乌斯反演,还有更重要的另一种表示方法:
    如果
    
    ,N和M是给定常数,则
   
    
   
 
