part-7 共模抑制比CMRR

  • Post author:
  • Post category:其他


运放的共模抑制比是常被关注的参数,尤其是在差分放大器和仪表放大器中。但这里只讨论共模抑制比以及其带来的误差。

首先来了解下共模输入电压:指运放的两个输入引脚电压的

平均值


。如下图所示,对于双极性输入级的运放,运放的共模输入电压,一般达不到电源轨。而有些rail to rail 输入运放的共模电压是可以达到电源轨的。


1

在理想运放中,差模放大倍数是无穷大,共模放大倍数是0.但是实际中却达不到,不存在差模无穷大和共模放大0,于是就定义共模抑制比为差模增益与共模增益的比值。


image

还有一个参数很常见:CMR,它其实是CMRR的对数表示,如下:


image

这两个参数经常被混用,不过只有了解他们都是在表示运放对共模信号的抑制能力就可以了。

运放之所以违背我们的期望,对共模信号进行放大,主要是如下原因:

(1)运放输入级的不匹配。这又可以分为 源极或漏极电阻的不匹配,信号源电阻不匹配,栅极-漏极电容不匹配,正向跨导不匹配以及栅极漏电流引起的不匹配问题;

(2)拖尾电流源的输出阻抗;

(3)拖尾电流源的寄生电容会随频率的变化而变化。

下面就挑几个看看其影响。

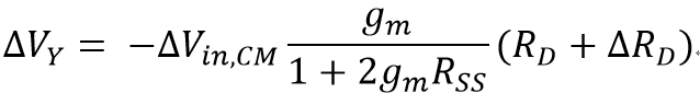
(1)电阻不匹配

如下图所示,由于电阻的不匹配,一个共模电压的变化△Vin,会在X,Y 点转化成一个差模电压。


2


3

计算如下:


image


image

(2)晶体管的不匹配

管子的不匹配会导致两管子的电流有微小差别,并且两个的跨导是不一样的。


4

由于输入级管子的不匹配会导致共模信号转化成一个差模的误差,可以用下面的公式表示,它表示失配跨导引起的CMRR。


image

(3)拖尾恒流源的寄生电容随频率变化而变化

这个会引起恒流源电流的变化,差分输入端射极或源极电阻用恒流源代替的目的是保持电流恒定和高阻抗。但它的电流如果随频率发生变化,势必降低差分输入端的共模抑制能力。如下图:


5

差分放大器和仪表放大器,无非是多个运放和电阻集成在了一起,只是用激光修调过,所以匹配度很好,所以CMRR比较高。如果自己用普通运放和外围电阻搭建的话,CMRR很难达到集成的效果。

差分放大器和仪表放大器的CMRR主要受集成的差分放大电阻影响。因此掌握Trim电阻精度的工艺是制作仪放,差放的核心技术,可以参考Bruce Trump的博文“差动放大器—良好匹配电阻器不可或缺的器件”。



版权声明:本文为qq_29506411原创文章,遵循 CC 4.0 BY-SA 版权协议,转载请附上原文出处链接和本声明。