线性回归、最小二乘

  • Post author:
  • Post category:其他



目录


一,一元一次线性回归


1,回归模型


2,最小二乘法


3,矩阵表示法


二,多元线性一次回归


1,回归模型


2,超定方程组


3,正规方程组


4,最小二乘解


三,一元线性m次回归


四,多元线性回归


1,多元线性回归


2,损失函数


3,损失函数的最小值


一,一元一次线性回归

1,回归模型

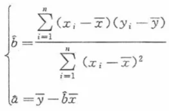
2,最小二乘法

首先把整体偏离程度表示为:

配方法求出Q取最小值时的a和b的值为:

3,矩阵表示法

给定n维列向量x和y,求a,b使得y-bx-a的模取得最小值。

用超定方程组表示:

\begin{pmatrix} x_1 &1 \\ \vdots & \vdots \\x_n & 1 \end{pmatrix}

\begin{pmatrix} b\\ a \end{pmatrix}=

\begin{pmatrix} y_1  \\ \vdots  \\y_n  \end{pmatrix}

先把x和y都减去均值再单位化,然后b的最小二乘解即可表示为b=x^Ty,a=0

二,多元线性一次回归

1,回归模型

m元线性一次回归模型:

y=\sum_{i=0}^m b_ix_i

其中x0 = 1

2,超定方程组

\begin{pmatrix} x_{0_1}&x_{1_1} &…&x_{m_1} \\ \vdots & \vdots & \vdots & \vdots

\\x_{0_n}&x_{1_n} &…&x_{m_n} \end{pmatrix}

\begin{pmatrix} b_0\\ \vdots \\ b_m \end{pmatrix}=

\begin{pmatrix} y_1  \\ \vdots  \\y_n  \end{pmatrix}

m是自变量(样本属性)的数量,n是样本的数量,n>m

设左边的矩阵为A,则要求解的超定方程组是Ab=y,而超定方程组一般是无解的,所以实际上求解目标是求列向量b,使得y-Ab的模最小。

我们把这个解成为超定方程组的最小二乘解。

3,正规方程组

可以证明,超定方程组的最小二乘解满足正规方程组:

A^TAb=A^Ty

4,最小二乘解

若A是列满秩矩阵(即A^TA是可逆矩阵),则正规方程组有唯一解:

b=(A^TA)^{-1}A^Ty

三,一元线性m次回归

\begin{pmatrix} 1&x_1 &…&x_1^m \\ \vdots & \vdots & \vdots & \vdots

\\1&x_n &…&x_n^m \end{pmatrix}

\begin{pmatrix} b_0\\ \vdots \\ b_m \end{pmatrix}=

\begin{pmatrix} y_1  \\ \vdots  \\y_n  \end{pmatrix}

求解这个正规方程组即可。

四,多元线性回归

对于更广泛的多元线性回归,也可以使用最小二乘法,求出各参数的取值。

1,多元线性回归

m元线性回归可以表示成,用m个线性无关的函数(不仅限于多项式),来做曲线拟合。

拟合曲线:

这其实可以看成关于a1,a2…am的m元一次线性函数,所以这叫做m元线性回归。

2,损失函数

假设一共有k个点,那么损失函数可以表示成:

这种用平方表示损失函数的方法,就叫最小二乘法。

L是关于a1,a2…am的m元函数。

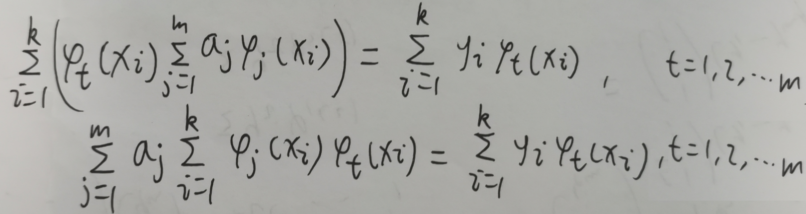
3,损失函数的最小值

要求出m个ai的值,使得损失函数L取到最小值。

很明显,L取最小值时,L关于a1,a2…am的偏导都是0,于是就有了m个方程:

变形:

继续变形:

于是可以用线性代数直接得到解:

PS:分子其实就是把分母右边的φj(xi)换成了yi,分子分母都是k个矩阵求和之后再求行列式。