graphlib中文API文档

  • Post author:
  • Post category:其他




graphlib中文API文档



(一)API 参考

该页面介绍

graphlib

中主要的概念及有关API。默认,有关功能和对象都在

graphlib

命名空间下。



(1)图概念


graphlib

仅有一个图的概念:

Graph

。创建新的实例可以使用下面的代码:

var g = new Graph()

默认, 会创建一个有向图且不支持节点间具有多条边或者由多个节点构成的复合节点。添加如下参数可以在构建具有特定性质的新的图对象:

  • directed: 该参数设定为

    true

    会获得有向图实例,设定为

    false

    会获得无向图实例。无向图不关心在边中节点相互关联的次序。换一种方式来说,

    g.edge("a", "b") === g.edge("b", "a")

    对无向图而言是成立的。该属性默认为:

    true

  • multigraph: 设定为

    true

    允许图在同一对节点之间具有多条边。该属性默认为:

    false

  • compound: 设定为

    true

    允许图具有复合节点,也就是说允许某结点是一些其他节点的父节点。该属性默认为:

    false

要设定这些属性, 可以通过带有参数的

Graph

构造函数来创建对象。例如, 要创建一个有环且具有复合节点, 且一对节点之间允许具有多条边的图,可以通过下面的代码实现:

var g = new Graph({directed: true, compund: true, multigraph: true})



1)节点和边的表示



graphlib

中, 节点可以通过用户定义的字符串作为

id

来表述。所有节点有关的方法均使用此

String

类型的

id

来唯一标识此节点。下面代码可以实现关于节点的交互操作:

var g = new Graph()
g.setNode("my-id", "my-label");
g.node("my-id"); // 返回 "my-label"


graphlib

中的边可以通过节点的连接关系来标识, 例如:

var g = new Graph();
g.setEdge("source", "target", "my-label");
g.edge("source", "target"); // 返回 "my-label"

然而, 对于各种对边的查询(例如:

outEdges

等)需要能够唯一标识一条边。通过使用

edgeObj

来实现。这个对象是由如下属性构成:

  • v: 边的源头

    source

    或尾部

    tail

    节点对象的id
  • w: 边的目标

    target

    或头部

    head

    节点对象的id
  • name(可选): 该名称可以唯一标识一对节点中多条边的一个

任何边有关的函数来获得边的id都会通过

edgeObj

。例如:

var g = new Graph()
g.setEdge("source", "target", "my-label");
g.edge({v: "source", w: "target"}); // 返回 "my-label"



2)多边图(Multigraphs)

能够在一对节点之间包含多条边的图称作多边图

multigraph

。默认

graphlib

创建的图不支持节点间多边, 但通过在构造函数中设定参数

multigraph

属性为

true

可以构建这种图:

var g = new Graph({multigraph: true})

由于在一对节点中会出现多条边, 就需要一种方式来标识其中的任意一条。通过使用

name

属性来标识一对节点之间多条边中的一条:

var g = new Graph({multigraph: true})
g.setEdge("a", "b", "edge1-label", "edge1");
g.setEdge("a", "b", "edge2-label", "edge2");
g.edge("a", "b", "edge1"); // 返回 "edge1-label"
g.edge("a", "b", "edge2"); // 返回 "edge2-label"
g.edges(); // 返回 [{v: "a", w: "b", name: "edge1"}, {v: "a", w: "b", name: "edge2"}]

多变图允许不具有名字的边被创建:

var g = new Graph({ multigraph: true });
g.setEdge("a", "b", "my-label");
g.edge({v: "a", w: "b"}); // 返回 "my-label"



3)复合节点图(Compound Graphs)

节点可以是其他节点的父节点的图称作复合节点图。所有的子节点来自一个子图

subgraph

。通过如下代码能够创建一个复合节点图:

var g = new Graph({compound: true})
g.setParent("a", "parent");
g.setParent("b", "parent");
g.parent("a") // 返回 "parent"
g.parent("b") // 返回 "parent"
g.parent("parent"); // 返回 undefined



4)默认标签(Default Labels)

当节点和边被创建但未设定标签

Label

, 会被赋予默认的标签。参考

setDefaultNodeLabel



setDefaultEdgeLabel



(2)基础 API



(3)算法 API



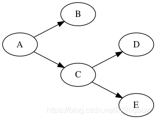
01) alg.components(graph)

查询图中所有连接的节点组并返回这些节点组的数组。每个节点组都是一个数组包含了所有构成它的节点id。

该函数需要遍历约

O(|V|)

次。

例如:

在这里插入图片描述

graphlib.alg.components(g);
// => [
//      ['A', 'B', 'C', 'D'],
//      ['E', 'F', 'G' ],
//      ['H', 'I'],
// ]



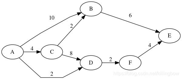
02) alg.dijkstra(graph, source, weightFn, edgeFn)

该函数实现了

Dijkstra算法

, 会查询图

g

中从

source

节点到所有其它节点的最短路径。该函数会返回一个形式如

v -> {distance, predecessor}



map

。其中

distance

距离属性会获得

source



v

的最短路径上的权重合,如果没有任何路径可达则为

Number.POSITIVE_INFINITY

。另外的

predecessor

属性可以用来逆序遍历该

source



v

最短路径上的每个节点。

可选参数

weightFn(e)

为权重计算函数, 返回边

e

的权重。如果没有提供

weightFn

,那么每条边会被赋予权重1。当遍历的任何边的权重为负数时,该函数会抛出一个

Error

异常。

可选参数

edgeFn(v)

会在遍历事件中返回最短路径上所有边上节点的

id

。默认该函数会使用

g.outEdges

来获得该节点。

示例:

在这里插入图片描述

function weight(e) {return g.edge(e);}

graphlib.alg.dijkstra(g, "A", weight);
// => {
//      A: {distance: 0},
//      B: {distance: 6, predecessor: 'C'},
//      C: {distance: 4, predecessor: 'A'},
//      D:{distance: 2, predecessor: 'A'},
//      E: {distance: 8, predecessor: 'F'},
//      F: {distance: 4, predecessor: 'D'}
// }



03) alg.dijkstraAll(graph, weightFn, edgeFn)

该函数找到每个节点到所有其它可达节点的最短路径。它与

alg.dijkstra

相似,区别在于返回单源头数据

single-source array

, 它返回型如

source -> alg.dijksta(g, source, weightFn, edgeFn)



map

结构。

该函数的可选参数

weightFn(e)

是权重获得函数,返回边

e

的权重。如果没有提供

weightFn

所有的边会被假定具有相同的权重1。当遍历的边中包含负数权重,该函数会抛出

Error

异常。

该函数的可选参数

edgeFn(u)

返回到

u

节点时该最短路径中所有节点

id

。默认通过函数

g.outEdges

从边获得节点。

该函数需要遍历约

O(|V| * ( |E| + |V| ) * log |V|)

次。

示例:

在这里插入图片描述

function weight(e) { return g.edge(e); }

graphlib.alg.dijkstraAll(g, function(e) { return g.edge(e); });

// => { A:
//       { A: { distance: 0 },
//         B: { distance: 6, predecessor: 'C' },
//         C: { distance: 4, predecessor: 'A' },
//         D: { distance: 2, predecessor: 'A' },
//         E: { distance: 8, predecessor: 'F' },
//         F: { distance: 4, predecessor: 'D' } },
//      B:
//       { A: { distance: Infinity },
//         B: { distance: 0 },
//         C: { distance: Infinity },
//         D: { distance: Infinity },
//         E: { distance: 6, predecessor: 'B' },
//         F: { distance: Infinity } },
//      C: { ... },
//      D: { ... },
//      E: { ... },
//      F: { ... } }



04) alg.findCycles(graph)

该函数对于图

g

返回存在于环上的所有节点。如果不止一个环存在于图中,该函数会以数组形式返回所有的环,每个环由其上所有节点的

id

数组表示。如果仅仅需要判定图中是否有环,方法

alg.isAcyclic

是更加有效的。

var g = new graphlib.Graph();                                           
g.setNode(1);                                                           
g.setNode(2);                                                           
g.setNode(3);                                                           
g.setEdge(1, 2);                                                        
g.setEdge(2, 3);                                                        
                                                                        
graphlib.alg.findCycles(g);                                             
// => []                                                                
                                                                        
g.setEdge(3, 1);                                                        
graphlib.alg.findCycles(g);                                             
// => [ [ '3', '2', '1' ] ]                                             
                                                                        
g.setNode(4);                                                           
g.setNode(5);                                                           
g.setEdge(4, 5);                                                        
g.setEdge(5, 4);                                                        
graphlib.alg.findCycles(g);                                             
// => [ [ '3', '2', '1' ], [ '5', '4' ] ]



05) alg.floydWarshall(graph, weightFn, edgeFn)

该函数实现了弗洛伊德

Floyd-Warshall

算法,能够查询图中每个节点到其余所有节点的最短路径。类似于

alg.dijkstraAll

,区别在于弗洛伊德算法对于某些图会更加有效,且该函数也能够适应负数的权重。该函数返回型如

source -> {target -> {distance, predecessor}



map



distance

属性是

source



target

节点的权重合,如果没有可达路径则为

Number.POSITIVE_INFINITY



predecessor

属性可以用来逆序遍历从

source



target

最短路径上的所有元素。

该函数的可选参数

weightFn(e)

用于返回边

e

的权重。如果未提供

weightFunc

每个边的权重会被假设为1。

该函数的可选参数

edgeFn(v)

用于返回所有到

v

节点的最短路径上的节点

id

。默认该函数通过

outEdges

函数来获得图上节点的

id

该算法需要运行约

O(|V|^3)

次。

示例:

在这里插入图片描述

function weight(e) { return g.edge(e); }

graphlib.alg.floydWarshall(g, function(e) { return g.edge(e); });

// => { A:
//       { A: { distance: 0 },
//         B: { distance: 6, predecessor: 'C' },
//         C: { distance: 4, predecessor: 'A' },
//         D: { distance: 2, predecessor: 'A' },
//         E: { distance: 8, predecessor: 'F' },
//         F: { distance: 4, predecessor: 'D' } },
//      B:
//       { A: { distance: Infinity },
//         B: { distance: 0 },
//         C: { distance: Infinity },
//         D: { distance: Infinity },
//         E: { distance: 6, predecessor: 'B' },
//         F: { distance: Infinity } },
//      C: { ... },
//      D: { ... },
//      E: { ... },
//      F: { ... } }



06) alg.isAcyclic(graph)

对于给定的图

g

,如果图内没有环则返回

true

否则返回

false

。该算法会在其探知到环时尽快返回。可以通过使用

alg.findCycles

函数来获得图内详细的环信息列表。

var g = new graphlib.Graph();                                               
g.setNode(1);                                                        
g.setNode(2);                                                        
g.setNode(3);                                                        
g.setEdge(1, 2);                                               
g.setEdge(2, 3);                                               
                                                                           
graphlib.alg.isAcyclic(g);                                                    
// =>true                                                                                                                                   
g.setEdge(3, 1);                                               
graphlib.alg.isAcyclic(g);                                                    
// => false     



07) alg.postorder(graph, vs)

该函数调用会对于图

g

以节点

vs

为起点,进行一次后序遍历

postorder traversal

。遍历过程中通过回调函数

callback(v)

来访问每个经过的节点

v

在这里插入图片描述

graphlib.alg.postorder(g, "A");
// => One of:
// [ "B", "D", "E", C", "A" ]
// [ "B", "E", "D", C", "A" ]
// [ "D", "E", "C", B", "A" ]
// [ "E", "D", "C", B", "A" ]



08) alg.preorder(graph, vs)

该函数调用会对于图

g

以节点

vs

为起点,进行一次前序遍历。遍历过程中通过回调函数

callback(v)

来访问每个经过的节点

v

在这里插入图片描述

graphlib.alg.preorder(g, "A");
// => One of:
// [ "A", "B", "C", "D", "E" ]
// [ "A", "B", "C", "E", "D" ]
// [ "A", "C", "D", "E", "B" ]
// [ "A", "C", "E", "D", "B" ]



09) alg.prim(graph, weightFn)

对于连通的无向图通过

Prim

算法能够获得最小生成树。该函数返回最小生成树作为无向图。该算法在

算法导论

第三版634页被提及。

该函数使用

weightFn(e)

来获得边

e

的权重。如果该图不是连通图,就会抛出错误

Error

该函数运行约

O(|E| log |V|)

次。

示例:

在这里插入图片描述

function weight(e) {return g(e);}
graphlib.alg.prim(g, weight);

将返回树(描述为图):

在这里插入图片描述



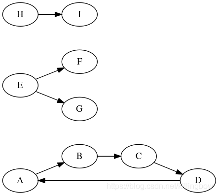
10) alg.tarjan(graph)

该函数实现了

Tarjan

算法,能够找到图

g

中的

强连通部分

。每一个强连通部分都是一组节点的集合,这些节点能够通过有向边到达该集合中的每个节点。强连通部分可以收缩为一个节点,该节点不再能与图中任何其它点到达或者反向到达。这样的强连通部分必然至少包含一个环。

示例:

在这里插入图片描述

graphlib.alg.tarjan(g);
// => [ [ 'F', 'G' ],
//      [ 'H', 'D', 'C' ],
//      [ 'E', 'B', 'A' ] ]



11) alg.topsort(graph)


topological sorting

拓扑排序的一个实现。

对于图

g

该函数返回型如

u -> v

的边的数组,该数组中

u

先于

v

出现。如果该图中有环就无法生成这样的列表并且会抛出

CycleException

异常。

示例:

在这里插入图片描述

graphlib.alg.topsort(g)
// [ '1', '2', '3', '4' ] or [ '1', '3', '2', '4' ]