CNN交叉熵损失函数

  • Post author:
  • Post category:其他


转参考知乎ID(小飞鱼)链接:

损失函数-交叉熵损失函数


1.交叉熵损失函数表达式


1.1二分类式:L=-[y*log(p)+(1-y)*log(1-p)]


参数含义:

y:样本标签,正确为1,错误为0

p:预测正确概率


1.2多分类表达式如图:


参数含义:

M:类别的数量

yc:只是变量,正确为1,否则为0

Pc:预测正确的概率


2.函数的性质

右图可得,函数为凸函数,求导即可得到全局最优值。


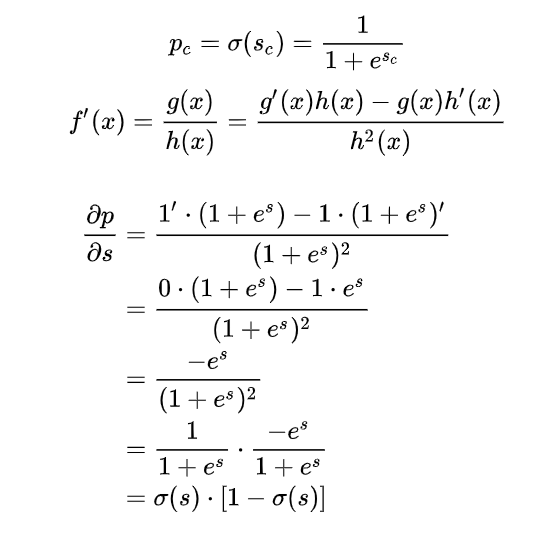
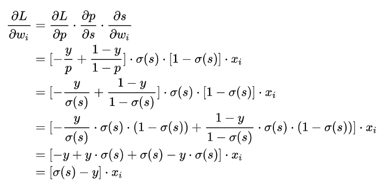
3.二分类情况函数求导推导

如上图所示,求导分为三部分,即:

(1)第一部分:

(2)第二部分:

(3)第三部分:

(4)合并得:


4.优点


梯度下降算法在更新参数的时候,模型的学习率与两个数值有关。


一:学习率(自身设定的超参数)


二:偏导值(决定函数由上图所示)


当学习效果较差时,学习的速率越快,当学习效果变好时,学习的速率就会减缓。