- 插值算法的概念
- 一维插值问题
- 一般插值多项式的原理
- 拉格朗日插值法
- 牛顿插值法
- 埃尔米特插值法
- 分段 三次埃尔米特插值和分段三次样条插值(常用,附代码)
    
    
    一、插值算法的概念
   
数学建模比赛中,常常需要根据已知的函数点进行数据、模型的处理和分析,而有的时候现有的数据是极少的,不足以支撑分析的进行,这时候就需要使用一些数学的方法,“模拟产生”一些新的但又比较靠谱的值来满足需求,这就是插值的作用。
    
    
    二、一维插值问题
   
    已知有
    
     
      
       n 
+
1
        n+1
      
      
       
        
        
        
         n
        
        
        
        
         +
        
        
        
       
       
        
        
        
         1
        
       
      
     
    
    个节点
    
     
      
       ( 
x
i
,
y
i
)
(
i
=
0
,
1
,
…
,
n
)
        \text{(}x_i,y_i\text{)}\left( i=0,1,…\text{,}n \right)
      
      
       
        
        
        
         
          (
         
        
        
         
          x
         
         
          
           
            
             
              
              
              
               
                i
               
              
             
            
            
             
            
           
           
            
             
             
            
           
          
         
        
        
         ,
        
        
        
        
         
          y
         
         
          
           
            
             
              
              
              
               
                i
               
              
             
            
            
             
            
           
           
            
             
             
            
           
          
         
        
        
         
          )
         
        
        
        
        
         
          (
         
         
          i
         
         
         
         
          =
         
         
         
         
          0
         
         
          ,
         
         
         
         
          1
         
         
          ,
         
         
         
         
          …
         
         
         
         
          
           ,
          
         
         
          n
         
         
          )
         
        
       
      
     
    
    其中
    
     
      
       x 
i
        x_i
      
      
       
        
        
        
         
          x
         
         
          
           
            
             
              
              
              
               
                i
               
              
             
            
            
             
            
           
           
            
             
             
            
           
          
         
        
       
      
     
    
    互不相同,不妨假设
    
     
      
       a 
=
x
0
<
x
1
<
…
<
x
n
=
b
        a=x_0<x_1<…<x_n=b
      
      
       
        
        
        
         a
        
        
        
        
         =
        
        
        
       
       
        
        
        
         
          x
         
         
          
           
            
             
              
              
              
               
                0
               
              
             
            
            
             
            
           
           
            
             
             
            
           
          
         
        
        
        
        
         <
        
        
        
       
       
        
        
        
         
          x
         
         
          
           
            
             
              
              
              
               
                1
               
              
             
            
            
             
            
           
           
            
             
             
            
           
          
         
        
        
        
        
         <
        
        
        
       
       
        
        
        
         …
        
        
        
        
         <
        
        
        
       
       
        
        
        
         
          x
         
         
          
           
            
             
              
              
              
               
                n
               
              
             
            
            
             
            
           
           
            
             
             
            
           
          
         
        
        
        
        
         =
        
        
        
       
       
        
        
        
         b
        
       
      
     
    
    ,求任一插值点
    
     
      
       x 
∗
(
≠
x
i
)
        x^*(\ne x_i)
      
      
       
        
        
        
         
          x
         
         
          
           
            
             
              
              
              
               
                ∗
               
              
             
            
           
          
         
        
        
         (
        
        
         
          
           
            
             
              
               
               
               
                
                
                
                 
                  
                 
                
                
                
               
              
             
             
              
             
            
            
             
              
              
             
            
           
          
         
         
          =
         
        
        
        
       
       
        
        
        
         
          x
         
         
          
           
            
             
              
              
              
               
                i
               
              
             
            
            
             
            
           
           
            
             
             
            
           
          
         
        
        
         )
        
       
      
     
    
    处的插值
    
     
      
       y 
i
        y_i
      
      
       
        
        
        
         
          y
         
         
          
           
            
             
              
              
              
               
                i
               
              
             
            
            
             
            
           
           
            
             
             
            
           
          
         
        
       
      
     
    
    
    
    
    思路:构造函数
    
     
      
       y 
=
f
(
x
)
        y=f\left( x \right)
      
      
       
        
        
        
         y
        
        
        
        
         =
        
        
        
       
       
        
        
        
         f
        
        
        
        
         
          (
         
         
          x
         
         
          )
         
        
       
      
     
    
    ,使得
    
     
      
       f 
(
x
)
        f\left( x \right)
      
      
       
        
        
        
         f
        
        
        
        
         
          (
         
         
          x
         
         
          )
         
        
       
      
     
    
    过所有结点,求
    
     
      
       f 
(
x
∗
)
        f\left( x^* \right)
      
      
       
        
        
        
         f
        
        
        
        
         
          (
         
         
          
           x
          
          
           
            
             
              
               
               
               
                
                 ∗
                
               
              
             
            
           
          
         
         
          )
         
        
       
      
     
    
    即可得到
    
     
      
       y 
∗
        y^*
      
      
       
        
        
        
         
          y
         
         
          
           
            
             
              
              
              
               
                ∗
               
              
             
            
           
          
         
        
       
      
     
    
   
    
    
    三、一般多项式的插值原理
   
    定理:设有
    
     
      
       n 
+
1
        n+1
      
      
       
        
        
        
         n
        
        
        
        
         +
        
        
        
       
       
        
        
        
         1
        
       
      
     
    
    个互不相同的结点
    
     
      
       ( 
x
i
,
y
j
)
(
i
=
0
,
1
,
2
,
…
,
n
)
        \left( x_i,y_j \right) \left( i=0,1,2,…\text{,}n \right)
      
      
       
        
        
        
         
          (
         
         
          
           x
          
          
           
            
             
              
               
               
               
                
                 i
                
               
              
             
             
              
             
            
            
             
              
              
             
            
           
          
         
         
          ,
         
         
         
         
          
           y
          
          
           
            
             
              
               
               
               
                
                 j
                
               
              
             
             
              
             
            
            
             
              
              
             
            
           
          
         
         
          )
         
        
        
        
        
         
          (
         
         
          i
         
         
         
         
          =
         
         
         
         
          0
         
         
          ,
         
         
         
         
          1
         
         
          ,
         
         
         
         
          2
         
         
          ,
         
         
         
         
          …
         
         
         
         
          
           ,
          
         
         
          n
         
         
          )
         
        
       
      
     
    
    ,则存在唯一的多项式:
   
    
    
    使得:
    
    
     
      
       
        L 
n
(
x
j
)
=
y
            j
             
(
j
=
0
,
1
,
2
,
…
,
n
)
         L_n\left( x_j \right) =y_{j\,\,}\,\, \left( j=0,1,2,…\text{,}n \right)
       
       
        
         
         
         
          
           L
          
          
           
            
             
              
               
               
               
                
                 n
                
               
              
             
             
              
             
            
            
             
              
              
             
            
           
          
         
         
         
         
          
           (
          
          
           
            x
           
           
            
             
              
               
                
                
                
                 
                  j
                 
                
               
              
              
               
              
             
             
              
               
               
              
             
            
           
          
          
           )
          
         
         
         
         
          =
         
         
         
        
        
         
         
         
          
           y
          
          
           
            
             
              
               
               
               
                
                 
                  j
                 
                 
                 
                 
                 
                
               
              
             
             
              
             
            
            
             
              
              
             
            
           
          
         
         
         
         
         
         
         
         
          
           (
          
          
           j
          
          
          
          
           =
          
          
          
          
           0
          
          
           ,
          
          
          
          
           1
          
          
           ,
          
          
          
          
           2
          
          
           ,
          
          
          
          
           …
          
          
          
          
           
            ,
           
          
          
           n
          
          
           )
          
         
        
       
      
     
    
    
    注意:
   
- 
     只要
 
 
 
 n+ 1 n+1 
 
 
 
 
 
 
 n
 
 
 
 
 +
 
 
 
 
 
 
 
 
 1
 
 
 
 
 
 个结点互异,满足上述插值条件的多项式是唯一存在的。
- 如果不限制多项式的系数,插值多项式并不唯一。
    
    
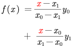
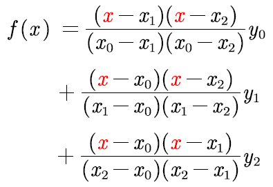
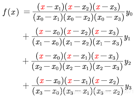
    四、拉格朗日插值法
   
在数值分析中,拉格朗日插值法是以法国十八世纪数学家约瑟夫.路易斯.拉格朗日命名的一种多项式插值方法。在若干个不同的地方得到相应的观测值,拉格朗日插值法可以找到一个多项式,其恰好可以在各个观测的点取到观测到的值。
- 
两个点: 
 
 
 
 (x 0 , y 0 ) , ( x 1 , y 1 ) \left( x_0,y_0 \right) ,\left( x_1,y_1 \right) 
 
 
 
 
 
 
 
 (
 
 
 
 x
 
 
 
 
 
 
 
 
 
 
 0
 
 
 
 
 
 
 
 
 
 
 
 
 
 
 
 
 
 
 ,
 
 
 
 
 
 y
 
 
 
 
 
 
 
 
 
 
 0
 
 
 
 
 
 
 
 
 
 
 
 
 
 
 
 
 
 
 )
 
 
 
 
 
 ,
 
 
 
 
 
 (
 
 
 
 x
 
 
 
 
 
 
 
 
 
 
 1
 
 
 
 
 
 
 
 
 
 
 
 
 
 
 
 
 
 
 ,
 
 
 
 
 
 y
 
 
 
 
 
 
 
 
 
 
 1
 
 
 
 
 
 
 
 
 
 
 
 
 
 
 
 
 
 
 )
 
 
 
 
 
 
 
   
- 
三个点: 
 
 
 
 (x 0 , y 0 ) , ( x 1 , y 1 ) , ( x 2 , y 2 ) \left( x_0,y_0 \right) ,\left( x_1,y_1 \right) ,\left( x_2,y_2 \right) 
 
 
 
 
 
 
 
 (
 
 
 
 x
 
 
 
 
 
 
 
 
 
 
 0
 
 
 
 
 
 
 
 
 
 
 
 
 
 
 
 
 
 
 ,
 
 
 
 
 
 y
 
 
 
 
 
 
 
 
 
 
 0
 
 
 
 
 
 
 
 
 
 
 
 
 
 
 
 
 
 
 )
 
 
 
 
 
 ,
 
 
 
 
 
 (
 
 
 
 x
 
 
 
 
 
 
 
 
 
 
 1
 
 
 
 
 
 
 
 
 
 
 
 
 
 
 
 
 
 
 ,
 
 
 
 
 
 y
 
 
 
 
 
 
 
 
 
 
 1
 
 
 
 
 
 
 
 
 
 
 
 
 
 
 
 
 
 
 )
 
 
 
 
 
 ,
 
 
 
 
 
 (
 
 
 
 x
 
 
 
 
 
 
 
 
 
 
 2
 
 
 
 
 
 
 
 
 
 
 
 
 
 
 
 
 
 
 ,
 
 
 
 
 
 y
 
 
 
 
 
 
 
 
 
 
 2
 
 
 
 
 
 
 
 
 
 
 
 
 
 
 
 
 
 
 )
 
 
 
 
 
 
 
   
- 
四个点: 
 
 
 
 (x 0 , y 0 ) , ( x 1 , y 1 ) , ( x 2 , y 2 ) , ( x 3 , y 3 ) \left( x_0,y_0 \right) ,\left( x_1,y_1 \right) ,\left( x_2,y_2 \right) ,\left( x_3,y_3 \right) 
 
 
 
 
 
 
 
 (
 
 
 
 x
 
 
 
 
 
 
 
 
 
 
 0
 
 
 
 
 
 
 
 
 
 
 
 
 
 
 
 
 
 
 ,
 
 
 
 
 
 y
 
 
 
 
 
 
 
 
 
 
 0
 
 
 
 
 
 
 
 
 
 
 
 
 
 
 
 
 
 
 )
 
 
 
 
 
 ,
 
 
 
 
 
 (
 
 
 
 x
 
 
 
 
 
 
 
 
 
 
 1
 
 
 
 
 
 
 
 
 
 
 
 
 
 
 
 
 
 
 ,
 
 
 
 
 
 y
 
 
 
 
 
 
 
 
 
 
 1
 
 
 
 
 
 
 
 
 
 
 
 
 
 
 
 
 
 
 )
 
 
 
 
 
 ,
 
 
 
 
 
 (
 
 
 
 x
 
 
 
 
 
 
 
 
 
 
 2
 
 
 
 
 
 
 
 
 
 
 
 
 
 
 
 
 
 
 ,
 
 
 
 
 
 y
 
 
 
 
 
 
 
 
 
 
 2
 
 
 
 
 
 
 
 
 
 
 
 
 
 
 
 
 
 
 )
 
 
 
 
 
 ,
 
 
 
 
 
 (
 
 
 
 x
 
 
 
 
 
 
 
 
 
 
 3
 
 
 
 
 
 
 
 
 
 
 
 
 
 
 
 
 
 
 ,
 
 
 
 
 
 y
 
 
 
 
 
 
 
 
 
 
 3
 
 
 
 
 
 
 
 
 
 
 
 
 
 
 
 
 
 
 )
 
 
 
 
 
 
 
   
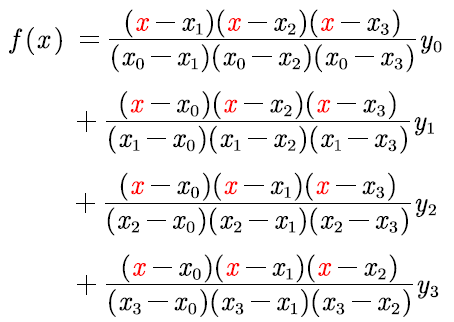
    拉格朗日插值多项式中特别的函数:
    
    
    
    
    
    
    由上述公式可得拉格朗日插值多项式为:
    
    
    
    拉格朗日插值的缺点:高次插值会产生龙格现象,即在两端处波动极大,产生明显的震荡。在不熟悉曲线的运动趋势的前提下,不要轻易使用高次插值。
    
     
   
    
    
    五、牛顿插值法
   
    差商的定义:称
    
     
      
       f 
[
x
0
,
x
k
]
=
f
(
x
k
)
−
f
(
x
0
)
x
k
−
x
0
        f\left[ x_0,x_k \right] =\frac{f\left( x_k \right) -f\left( x_0 \right)}{x_k-x_0}
      
      
       
        
        
        
         f
        
        
        
        
         
          [
         
         
          
           x
          
          
           
            
             
              
               
               
               
                
                 0
                
               
              
             
             
              
             
            
            
             
              
              
             
            
           
          
         
         
          ,
         
         
         
         
          
           x
          
          
           
            
             
              
               
               
               
                
                 k
                
               
              
             
             
              
             
            
            
             
              
              
             
            
           
          
         
         
          ]
         
        
        
        
        
         =
        
        
        
       
       
        
        
        
         
         
         
          
           
            
             
              
              
              
               
                
                 
                  x
                 
                 
                  
                   
                    
                     
                      
                      
                      
                       
                        k
                       
                      
                     
                    
                    
                     
                    
                   
                   
                    
                     
                     
                    
                   
                  
                 
                
                
                 −
                
                
                 
                  x
                 
                 
                  
                   
                    
                     
                      
                      
                      
                       
                        0
                       
                      
                     
                    
                    
                     
                    
                   
                   
                    
                     
                     
                    
                   
                  
                 
                
               
              
             
             
              
              
              
              
             
             
              
              
              
               
                
                 f
                
                
                 
                  
                   (
                  
                 
                 
                  
                   x
                  
                  
                   
                    
                     
                      
                       
                       
                       
                        
                         k
                        
                       
                      
                     
                     
                      
                     
                    
                    
                     
                      
                      
                     
                    
                   
                  
                 
                 
                  
                   )
                  
                 
                
                
                 −
                
                
                 f
                
                
                 
                  
                   (
                  
                 
                 
                  
                   x
                  
                  
                   
                    
                     
                      
                       
                       
                       
                        
                         0
                        
                       
                      
                     
                     
                      
                     
                    
                    
                     
                      
                      
                     
                    
                   
                  
                 
                 
                  
                   )
                  
                 
                
               
              
             
            
            
             
            
           
           
            
             
             
            
           
          
         
         
         
        
       
      
     
    
    为函数
    
     
      
       f 
(
x
)
        f\left( x \right)
      
      
       
        
        
        
         f
        
        
        
        
         
          (
         
         
          x
         
         
          )
         
        
       
      
     
    
    关于点
    
     
      
       x 
0
,
x
1
        x_0,x_1
      
      
       
        
        
        
         
          x
         
         
          
           
            
             
              
              
              
               
                0
               
              
             
            
            
             
            
           
           
            
             
             
            
           
          
         
        
        
         ,
        
        
        
        
         
          x
         
         
          
           
            
             
              
              
              
               
                1
               
              
             
            
            
             
            
           
           
            
             
             
            
           
          
         
        
       
      
     
    
    的一阶差商,也可以成为均差。
   
    二阶差商:
    
     
      
       f 
[
x
0
,
x
1
,
x
2
]
=
f
[
x
1
,
x
2
]
−
f
[
x
0
,
x
1
]
x
2
−
x
0
        f\left[ x_0,x_1,x_2 \right] =\frac{f\left[ x_1,x_2 \right] -f\left[ x_0,x_1 \right]}{x_2-x_0}
      
      
       
        
        
        
         f
        
        
        
        
         
          [
         
         
          
           x
          
          
           
            
             
              
               
               
               
                
                 0
                
               
              
             
             
              
             
            
            
             
              
              
             
            
           
          
         
         
          ,
         
         
         
         
          
           x
          
          
           
            
             
              
               
               
               
                
                 1
                
               
              
             
             
              
             
            
            
             
              
              
             
            
           
          
         
         
          ,
         
         
         
         
          
           x
          
          
           
            
             
              
               
               
               
                
                 2
                
               
              
             
             
              
             
            
            
             
              
              
             
            
           
          
         
         
          ]
         
        
        
        
        
         =
        
        
        
       
       
        
        
        
         
         
         
          
           
            
             
              
              
              
               
                
                 
                  x
                 
                 
                  
                   
                    
                     
                      
                      
                      
                       
                        2
                       
                      
                     
                    
                    
                     
                    
                   
                   
                    
                     
                     
                    
                   
                  
                 
                
                
                 −
                
                
                 
                  x
                 
                 
                  
                   
                    
                     
                      
                      
                      
                       
                        0
                       
                      
                     
                    
                    
                     
                    
                   
                   
                    
                     
                     
                    
                   
                  
                 
                
               
              
             
             
              
              
              
              
             
             
              
              
              
               
                
                 f
                
                
                 
                  
                   [
                  
                 
                 
                  
                   x
                  
                  
                   
                    
                     
                      
                       
                       
                       
                        
                         1
                        
                       
                      
                     
                     
                      
                     
                    
                    
                     
                      
                      
                     
                    
                   
                  
                 
                 
                  ,
                 
                 
                  
                   x
                  
                  
                   
                    
                     
                      
                       
                       
                       
                        
                         2
                        
                       
                      
                     
                     
                      
                     
                    
                    
                     
                      
                      
                     
                    
                   
                  
                 
                 
                  
                   ]
                  
                 
                
                
                 −
                
                
                 f
                
                
                 
                  
                   [
                  
                 
                 
                  
                   x
                  
                  
                   
                    
                     
                      
                       
                       
                       
                        
                         0
                        
                       
                      
                     
                     
                      
                     
                    
                    
                     
                      
                      
                     
                    
                   
                  
                 
                 
                  ,
                 
                 
                  
                   x
                  
                  
                   
                    
                     
                      
                       
                       
                       
                        
                         1
                        
                       
                      
                     
                     
                      
                     
                    
                    
                     
                      
                      
                     
                    
                   
                  
                 
                 
                  
                   ]
                  
                 
                
               
              
             
            
            
             
            
           
           
            
             
             
            
           
          
         
         
         
        
       
      
     
    
   
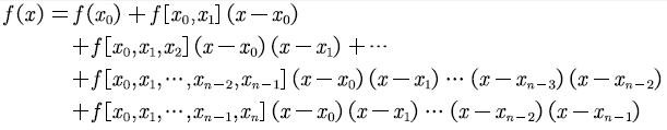
具体牛顿插值的多项式如下:
    
    
    牛顿插值与拉格朗日插值比较
   
- 与拉格朗日插值法相比,牛顿插值法的计算过程具有继承性(牛顿插值法每次插值只和前n项的值有关,这样每次只要在原来函数上添加新的项,就能够产生新的插值函数),但牛顿插值也存在龙格现象。
- 这两种插值方法仅仅要求插值多项式在插值结点处与被插函数有相同的函数值,而这种插值多项式却不能全面反映被插函数的特性。在许多的实际问题中,不仅要求插值函数与被插函数在所有结点处有相同的函数值,它也需要在一个或者全部结点上插值多项式与被插函数具有相同的低阶甚至是高阶的倒数值。对于这样的要求,这两种插值方法都不能满足。
    
    
    六、埃尔米特插值
   
这种插值方法不但要求节点上的函数值相等,而且要求对应的导数值也相等,甚至要求高阶导数也相等,满足这种要求的插值多项式就是埃尔米特插值多项式。
具体原理:
    设函数
    
     
      
       f 
(
x
)
        f\left( x \right)
      
      
       
        
        
        
         f
        
        
        
        
         
          (
         
         
          x
         
         
          )
         
        
       
      
     
    
    在区间[a,b]上有n+1个互异节点
    
     
      
       a 
=
x
0
<
x
1
<
…
<
x
n
=
b
        a=x_0<x_1<…<x_n=b
      
      
       
        
        
        
         a
        
        
        
        
         =
        
        
        
       
       
        
        
        
         
          x
         
         
          
           
            
             
              
              
              
               
                0
               
              
             
            
            
             
            
           
           
            
             
             
            
           
          
         
        
        
        
        
         <
        
        
        
       
       
        
        
        
         
          x
         
         
          
           
            
             
              
              
              
               
                1
               
              
             
            
            
             
            
           
           
            
             
             
            
           
          
         
        
        
        
        
         <
        
        
        
       
       
        
        
        
         …
        
        
        
        
         <
        
        
        
       
       
        
        
        
         
          x
         
         
          
           
            
             
              
              
              
               
                n
               
              
             
            
            
             
            
           
           
            
             
             
            
           
          
         
        
        
        
        
         =
        
        
        
       
       
        
        
        
         b
        
       
      
     
    
    ,定义在[a,b]上函数
    
     
      
       f 
(
x
)
        f\left( x \right)
      
      
       
        
        
        
         f
        
        
        
        
         
          (
         
         
          x
         
         
          )
         
        
       
      
     
    
    在节点上满足:
   
    
    
    可唯一确定一个次数不超过2n+1的多项式
    
     
      
       H 
2
n
+
1
(
x
)
=
H
(
x
)
        H_{2n+1}\left( x \right) =H\left( x \right)
      
      
       
        
        
        
         
          H
         
         
          
           
            
             
              
              
              
               
                
                 2
                
                
                 n
                
                
                 +
                
                
                 1
                
               
              
             
            
            
             
            
           
           
            
             
             
            
           
          
         
        
        
        
        
         
          (
         
         
          x
         
         
          )
         
        
        
        
        
         =
        
        
        
       
       
        
        
        
         H
        
        
        
        
         
          (
         
         
          x
         
         
          )
         
        
       
      
     
    
    满足:
    
    
    
    其余项为:
    
     
   
    
    
    七、分段三次埃尔米特插值和分段三次样条插值
   
    
     分段三次埃尔米特插值
    
    :直接使用埃尔米特插值得到的多项式次数较高,也存在龙格现象,因此在实际应用中,往往使用分段三次埃尔米特插值多项式(PCHIP)
   
    MATLAB有内置函数
    
     p = pchip(x,y,new_x)
    
x是已知的样本点的横坐标,y是已知样本点的纵坐标,new_x是要插入处对应的横坐标
一个实例,代码如下:
% 分段三次埃尔米特插值
x = -pi:pi; y = sin(x); 
new_x = -pi:0.1:pi;
p = pchip(x,y,new_x);
figure(1); % 在同一个脚本文件里面,要想画多个图,需要给每个图编号,否则只会显示最后一个图哦~
plot(x, y, 'o', new_x, p, 'r-')
% plot函数用法:
% plot(x1,y1,x2,y2) 
% 线方式: - 实线 :点线 -. 虚点线 - - 波折线 
% 点方式: . 圆点  +加号  * 星号  x x形  o 小圆
% 颜色: y黄; r红; g绿; b蓝; w白; k黑; m紫; c青
    代码运行结果如下:
    
    
    
    
     分段三次样条插值
    
    :设
    
     
      
       y 
=
f
(
x
)
        y=f\left( x \right)
      
      
       
        
        
        
         y
        
        
        
        
         =
        
        
        
       
       
        
        
        
         f
        
        
        
        
         
          (
         
         
          x
         
         
          )
         
        
       
      
     
    
    在点
    
     
      
       x 
0
,
x
1
,
x
2
,
…
,
x
n
        x_0,x_1,x_2,…,x_n
      
      
       
        
        
        
         
          x
         
         
          
           
            
             
              
              
              
               
                0
               
              
             
            
            
             
            
           
           
            
             
             
            
           
          
         
        
        
         ,
        
        
        
        
         
          x
         
         
          
           
            
             
              
              
              
               
                1
               
              
             
            
            
             
            
           
           
            
             
             
            
           
          
         
        
        
         ,
        
        
        
        
         
          x
         
         
          
           
            
             
              
              
              
               
                2
               
              
             
            
            
             
            
           
           
            
             
             
            
           
          
         
        
        
         ,
        
        
        
        
         …
        
        
        
        
         ,
        
        
         
          x
         
         
          
           
            
             
              
              
              
               
                n
               
              
             
            
            
             
            
           
           
            
             
             
            
           
          
         
        
       
      
     
    
    的值为
    
     
      
       y 
0
,
y
1
,
y
2
,
…
,
y
n
        y_0,y_1,y_2,…,y_n
      
      
       
        
        
        
         
          y
         
         
          
           
            
             
              
              
              
               
                0
               
              
             
            
            
             
            
           
           
            
             
             
            
           
          
         
        
        
         ,
        
        
        
        
         
          y
         
         
          
           
            
             
              
              
              
               
                1
               
              
             
            
            
             
            
           
           
            
             
             
            
           
          
         
        
        
         ,
        
        
        
        
         
          y
         
         
          
           
            
             
              
              
              
               
                2
               
              
             
            
            
             
            
           
           
            
             
             
            
           
          
         
        
        
         ,
        
        
        
        
         …
        
        
        
        
         ,
        
        
         
          y
         
         
          
           
            
             
              
              
              
               
                n
               
              
             
            
            
             
            
           
           
            
             
             
            
           
          
         
        
       
      
     
    
    ,若函数
    
     
      
       S 
(
x
)
        S\left( x \right)
      
      
       
        
        
        
         S
        
        
        
        
         
          (
         
         
          x
         
         
          )
         
        
       
      
     
    
    满足下列条件
   
- 
     
 
 
 S( x i ) = f ( x i ) = y i , i = 0 , 1 , 2 , … , n S\left( x_i \right) =f\left( x_i \right) =y_i,i=0,1,2,…,n 
 
 
 
 
 
 
 S
 
 
 
 
 
 (
 
 
 
 x
 
 
 
 
 
 
 
 
 
 
 i
 
 
 
 
 
 
 
 
 
 
 
 
 
 
 
 
 
 
 )
 
 
 
 
 
 =
 
 
 
 
 
 
 
 
 f
 
 
 
 
 
 (
 
 
 
 x
 
 
 
 
 
 
 
 
 
 
 i
 
 
 
 
 
 
 
 
 
 
 
 
 
 
 
 
 
 
 )
 
 
 
 
 
 =
 
 
 
 
 
 
 
 
 
 y
 
 
 
 
 
 
 
 
 
 
 i
 
 
 
 
 
 
 
 
 
 
 
 
 
 
 
 
 
 
 ,
 
 
 
 
 i
 
 
 
 
 =
 
 
 
 
 
 
 
 
 0
 
 
 ,
 
 
 
 
 1
 
 
 ,
 
 
 
 
 2
 
 
 ,
 
 
 
 
 …
 
 
 
 
 ,
 
 
 
 
 n
 
 
 
 
 
- 
     在每一个子区间
 
 
 
 [x i , x i + 1 ] ( i = 0 , 1 , 2 , … , n − 1 ) \left[ x_i,x_{i+1} \right] \left( i=0,1,2,…,n-1 \right) 
 
 
 
 
 
 
 
 [
 
 
 
 x
 
 
 
 
 
 
 
 
 
 
 i
 
 
 
 
 
 
 
 
 
 
 
 
 
 
 
 
 
 
 ,
 
 
 
 
 
 x
 
 
 
 
 
 
 
 
 
 
 
 i
 
 
 +
 
 
 1
 
 
 
 
 
 
 
 
 
 
 
 
 
 
 
 
 
 
 
 ]
 
 
 
 
 
 
 (
 
 
 i
 
 
 
 
 =
 
 
 
 
 0
 
 
 ,
 
 
 
 
 1
 
 
 ,
 
 
 
 
 2
 
 
 ,
 
 
 
 
 …
 
 
 
 
 ,
 
 
 
 
 n
 
 
 
 
 −
 
 
 
 
 1
 
 
 )
 
 
 
 
 
 
 上
 
 
 
 S( x ) S\left( x \right) 
 
 
 
 
 
 
 S
 
 
 
 
 
 (
 
 
 x
 
 
 )
 
 
 
 
 
 
 是三次多项式
- 
     
 
 
 S( x ) S\left( x \right) 
 
 
 
 
 
 
 S
 
 
 
 
 
 (
 
 
 x
 
 
 )
 
 
 
 
 
 
 在[a,b]上二阶连续可微
    则称
    
     
      
       S 
(
x
)
        S\left( x \right)
      
      
       
        
        
        
         S
        
        
        
        
         
          (
         
         
          x
         
         
          )
         
        
       
      
     
    
    为函数
    
     
      
       f 
(
x
)
        f\left( x \right)
      
      
       
        
        
        
         f
        
        
        
        
         
          (
         
         
          x
         
         
          )
         
        
       
      
     
    
    的三次样条插值函数。
   
三次样条插值函数实例:
    MATLAB有内置函数:
    
     p = spline(x,y,new_x)
    
x是已知的样本点的横坐标,y是已知样本点的纵坐标,new_x是要插入处对应的横坐标。
代码示例如下:
% 三次样条插值和分段三次埃尔米特插值的对比
x = -pi:pi; 
y = sin(x); 
new_x = -pi:0.1:pi;
p1 = pchip(x,y,new_x);   %分段三次埃尔米特插值
p2 = spline(x,y,new_x);  %三次样条插值
figure(2);
plot(x,y,'o',new_x,p1,'r-',new_x,p2,'b-')
legend('样本点','三次埃尔米特插值','三次样条插值','Location','SouthEast')   %标注显示在东南方向
% 说明:
% LEGEND(string1,string2,string3, …)
% 分别将字符串1、字符串2、字符串3……标注到图中,每个字符串对应的图标为画图时的图标。
% ‘Location’用来指定标注显示的位置
    
    
    分析生成结果:可以看出,三次样条生成的曲线更加光滑。在实际建模中,由于我们不知道数据的生成过程,因此两种插值都可以使用。
   
    
     注意点
    
    :
   
- 上面学习的这些插值算法可用于短期预测。
- 在实际建模过程中,尽量不要使用插值算法来预测,如果要进行预测,可以选择下面更新的拟合算法或者一些专门用来预测的算法,这些都可以在接下来的更新中学习到。
    
     更多有关于插值法的经典获奖论文,关注公众号,回复,“插值算法”,即可免费领取!!!
    
    
     
   
 
