11.5 拉普拉斯金字塔

  • Post author:
  • Post category:其他



点击此处返回总目录

本次介绍拉普拉斯金字塔。



一、拉普拉斯金字塔

我们前面学的金字塔是高斯金字塔。这里学拉普拉斯金字塔。

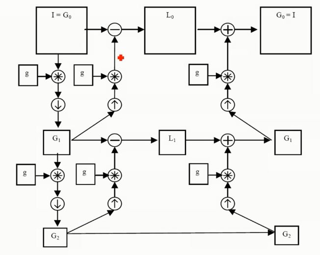
首先对原始图像Gi进行向下取样,然后向上采用,最后与原始图像相减,得到拉普拉斯金字塔图像。

虽然说他的原理很简单,但是很多人对整个过程进行了不同的描述。

我们在看很多教材或官网上面,会有各种各样的图。我们来解释一下。

下面这张图也是比较常见的:

其实就是上面的公式。

使用原始图像 套入公式得到拉普拉斯金字塔第0层。

使用原始图像向下采样Od 代入公式 得到 拉普拉色金字塔第1层。

这张图在看一些资料的时候也经常看到:

也是一样的。

这个图也很常见。

下面这个图也是一样的。



二、代码实现

例1:得到拉普拉斯金字塔第0层

结果:

例2:得到两层拉普拉斯金字塔

结果:



版权声明:本文为pengchengliu原创文章,遵循 CC 4.0 BY-SA 版权协议,转载请附上原文出处链接和本声明。