回归算法

  • Post author:
  • Post category:其他


1.  什么是回归算法

回归算法是监督型算法的一种,通过利用测试集数据来建立模型,再利用这个模型训练集中的数据进行处理的算法。线性回归旨在寻找到一根线,这个线到到达所有样本点的距离的和是最小的。常用在预测和分类领域。

2. 线性回归中经常使用的两种算法

a. 最小二乘法

公式:
\Theta = (X^{T}X)^{-1}X^{T}Y

推导过程:见博文:

https://blog.csdn.net/qq_27576655/article/details/82218489

b. 梯度下降法

利用迭代的思想,不断的更新θ值,最终θ会收缩到某个值上。

θ的变化公式:
\Theta =\Theta -\alpha\cdot \frac{\partial J(\Theta )}{\partial \Theta }

α为步长,学习率

详情见下面链接:


https://blog.csdn.net/yato0514/article/details/82261821

使用梯度下降法的过程中如果遇到局部最优解应该怎么办?

学习率的选择是否正确:学习率过大容易跳过最优解,学习率过小迭代速度又会非常慢。

算法初始值的选择:初始值不同,θ最终收敛的值会不同。所以一般会取多个不同的θ值进行试验,最后选损失函数最小的那个值。

标准化:不同的特征的取值范围不同,他们收敛的速度也会不一样,为了减少特征值取值的影响,尽量需要标准化。

c. 局部加权回归 后面了解

3. 如何解决线性回归中的过拟合现象

过拟合产生的原因是因为θ值过多或者是θ值过哦大造成的,解决方法可以使用L1正则(又称为lasso回归)或者L2正则

(又称为ridge回归,岭回归)或者elastic net(弹性网络)算法

L1正则公式如下,其中 λ>0

J(\Theta )=\frac{1}{2}\sum_{i=1}^{m}(h_{\Theta }(x_{i} )-y_{i})^{2}+\lambda \sum_{j=1}^{n}\left |\Theta _{j} \right |

L2正则公式如下:其中 λ>0

J(\Theta )=\frac{1}{2}\sum_{i=1}^{m}(h_{\Theta }(x_{i} )-y_{i})^{2}+\lambda \sum_{j=1}^{n}\Theta_{j}^{2}

elastic net公式如下:其中 λ>0,p在[0,1]之间

J(\Theta )=\frac{1}{2}\sum_{i=1}^{m}(h_{\Theta }(x_{i} )-y_{i})^{2}+\lambda( \rho \sum_{j=1}^{n}\left | \Theta _{j} \right |+ (1-\rho )\sum_{j=1}^{n}\Theta_{j}^{2})

特点:Ridge模型具有较高的准确性、鲁棒性以及稳定性,不会丢失特征;LASSO模型具有较高的求解

速度(会丢失特征);elastic net 综合两者的优点

4. 模型效果判断

取值范围(负无穷,1],值越大表示模型越拟合训练数据;最优解是1;当模型

预测为随机值的时候,有可能为负;

5. 机器学习调参

在实际工作中,对于各种算法模型(线性回归)来讲,我们需要获取θ、λ、p的值;θ的求解其实就是算法模型的求解,一般不需要开发人员参与(算法已经实现),主要需要求解的是λ和p的值,这个过程就叫做调参(超参)

交叉验证:将训练数据分为多份,其中一份进行数据验证并获取最优的超参:λ和p;比如:十折交叉验证、五折交叉验证(scikit-learn中默认)等

6. 分类算之逻辑回归算法

logistic回归

a. 因变量转换公式

h(\Theta )=g(\Theta _{0}x_{0}+\Theta _{1}x_{1}+\Theta _{2}x_{2})
->
g(h(\Theta ))=\frac{1}{1+e^{-h(\Theta )}}

损失函数如下:

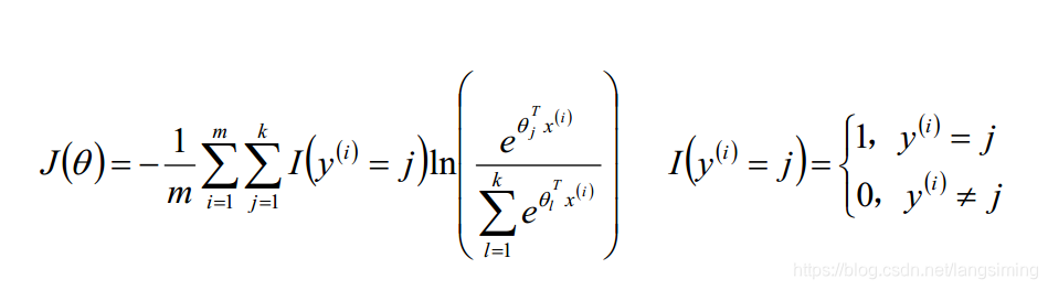
softmax回归

用于多元分类

它的因变量转换公式:

损失函数:损失函数中会求一个预测值到其他类型间的误差,将被转换的因变量对数化,作为这个误差值。



版权声明:本文为langsiming原创文章,遵循 CC 4.0 BY-SA 版权协议,转载请附上原文出处链接和本声明。