总结备忘
第一遍没做出来(或者做的时候比较吃力的题目):
29,顺时针打印矩阵,按照自己的想法没写下去,但是应该也是可行的,回头自己尝试写完。
32,扩展2,之字形打印二叉树。没有想到用两个栈,而是自己添加flag变量,通过设置flag变量的true或False来表示奇偶层。这个想法的问题在于:当前层还没打印完的时候, 子节点就已经压进栈中了。
33,二叉搜索树的后序遍历(反推),拿到题之后全没思路。
34,二叉树中和为某一值的路径(递归),自己没写出来。回头需要重点加强。
36题,拿到题之后完全不会,后来才发现其实就是中序遍历的 一个应用而已,还是要加强练习。
37,二叉树的反序列化(即二叉树重构), 给定前序,中序,后序遍历的字符串吗,重构二叉树,这块还需加强。
38, 全排列,全组合。递归解法,需要掌握。
二刷记录:
33, 小坑没跳过去(判断右子树的所有值都要大于root)
36,
第四章 解决面试题的思路
4.2 画图让抽象问题形象化
面试题27:二叉树的镜像(递归/循环)
【题目描述】:
输入一颗二叉树,输出它的镜像。例如,将左图所示二叉树进行镜像处理,输出为右图。
【解题思路】:
思路比较简单,就是每一个节点的左右节点互换即可(叶节点除外,因为叶节点没有左右子节点)。可以使用递归和循环的方式来实现。
- 递归:对于根节点,交换其左右节点;然后分别对其左右子节点递归调用函数。
- 循环:用一个队列保存节点,只要队列不为空就一直循环,每次从队列头部取出一个节点,对于当前节点,交换其左右节点,并将其右节点和左节点依次加入队列。如果是叶节点(没有左右节点),直接continue即可。
面试题28:对称的二叉树(递归)
【题目描述】:
判断一棵二叉树是不是对称的。如果一颗二叉树和它的镜像一样,那么它是对称的。
【解题思路】:
类似上图这样的称为对称的二叉树, 对于同一层的两个节点(比如B和C),需要比较的是B的左孩子和C的右孩子,B的左孙子和C的右孙子,依次递归,但是根节点只有一个,如何处理呢?答案很简单,将根节点“分裂开”即可,这样根节点也就可以一并送入递归部分处理了。
——–2019.7.7 二刷———
对于根节点,比较左右孩子的值是否相等;如果相等,比较左孩子的左孩子和右孩子的右孩子(对称的)。
特殊用例:
- 二叉树为空
- 二叉树只有一个节点
-
二叉树所有节点值都相同。
面试题29:顺时针打印矩阵(重要)
【题目描述】:
输入一个矩阵,按照从外向里,顺时针打印矩阵,如下图,打印出1,2,3,4,8,12,16,15,14,13,9,5,6,7,11,10

解题关键:一圈一圈打印,每圈的起点是有规律可循的,都是对角线上的(start, start)点,而且对于n
n矩阵,对于rows
cols的矩阵,只需循环cols > startX × 2并且 rows > startY × 2次即可。
打印一圈需要经过四步:从左到右, 从上到下,从右到左,从下到上。其中:



- 从左到右(第一步):不需要任何条件,只要矩阵不为空,肯定要经过这步的。
- 从上到下(第二步):前提条件,要求至少两行
- 从右到左(第三步):前提条件,要求至少两行两列
-
从下到上(第四步):前提条件,要求至少三行两列。
有了上述的分析,其实就很好写了,对于特定尺寸的矩阵,先判断需要循环几轮(走几圈),然后每圈按照以上四步打印即可。
4.3 举例让抽象问题具体化
面试题30:包含min函数的栈
题目要求:定义栈的数据结构,使其能够在O(1)的时间内得到栈的最小元素。
解法思路:在push和pop函数的时候需要修改一下,额外定义一个辅助栈,用来存栈里面的最小元素,push和pop栈顶元素的时候,辅助栈也要进行相应的push和pop操作。
面试题31:栈的压入,弹出栈列
题目要求:输入入栈序列和出栈序列,判断该出栈序列是不是该入栈序列可能的弹出顺序。
【判断一个序列是不是栈的弹出序列】
如果下一个弹出从数字刚好是栈顶数字,那么直接弹出;如果下一个弹出的数字不在栈顶,则把压栈序列中还没有入栈的数字压入辅助栈,直到把下一个需要弹出的数字压入栈顶为止;如果所有数字都压入栈后仍没有找到下一个弹出的数字,那么该序列不可能是一个弹出序列。
注意一个小细节:在比较的时候,不要手误写成类似
if stack.pop() == pop_list.pop()
的代码,比较完一轮之后,啥都没干列表就少元素了。。。检查了半天才发现emmm。只有在弹出的时候才能用pop。
面试题32:从上到下打印二叉树
二叉树的层序遍历。借助队列实现。
扩展0:广度优先遍历有向图
同样可以基于队列实现,树是图的退化形式,层序遍历二叉树,本质上来说就是广度优先遍历二叉树。
扩展1:分行从上到下打印二叉树
关键点:不能直接打印一串,还要对节点进行分层
解决方法:需要额外设置两个变量,一个是当前层还有几个节点等待打印,一个是下一层有几个节点。
扩展2:之字形打印二叉树(重要)

关键点:需要维护两个栈,在打印一个栈里的节点时,将它的子节点保存到另一个栈中,当一层所有节点都打印完毕时,交换着两个栈,并继续打印下一层。
面试题33:二叉搜索树的后序遍历(重要)
题目要求:输入一个数组,判断该数组是不是二查搜索树的后序遍历结果,返回True或False。
回顾:二叉搜索树,是一个二叉树,且满足左节点 < 父节点 < 右节点。

二叉树的后序遍历序列为:[5,7,6,9,11,10,8]
【二叉树后序遍历序列的规律】
最后一个数字是根节点的值,数组中前面的数字可以分为两部分,一部分是左子树节点的值,他们都比根节点的值小,另一部分是右子树节点的值,他们都比根节点的值大。
知道了上述规律,可以使用
递归
的方法实现。
【Attention】:本题需要特别注意的点是,每次递归左右子树之前,必须要保证左子树的所有数字都比root小,右子树的所有数字都比root大,否则没必要递归,直接返回False.
扩展0:二叉搜索树的前序遍历
也是同样的思路,只是前序遍历序列中,第一个数字是根节点的值。
面试题34:二叉树中和为某一值的路径(重要)
题目要求:输入一个二叉树和一个整数,打印出二叉树中节点值的和为该整数的所有路径(从根节点到叶节点)。
如图,给定二叉树和整数22,返回两条路径, [10,5,7]和[10,12]
这题其实是二叉树的深度优先遍历,在树的前序、中序、后序3中遍历方式中,只有**前序遍历是首先访问根节点的。**用递归的方式来解。
分析
看这里
,代码参考
看这里
。
4.4 分解让复杂问题简单化
面试题35:复杂链表的复制(掌握方法三的思路)
(
https://www.cnblogs.com/AndyJee/p/4654545.html
)
【方法1:(时间复杂度:O(N^2))】
分两步实现:
- 复制原始链表上的每一个结点,并通过pNext连接起来;
- 然后再设置每个结点的pSibling指针。
缺点:假设原始链表中某个结点N的pSibling指针指向结点S,那么就需要从头到尾遍历查找结点S,如果从原始链表的头指针开始,经过m步之后达到结点S,那么在复制链表中的结点N’的pSibling指针指向的结点也是距离复制链表s步的结点。通过这种办法就可以为复制链表上的每个结点设置pSibling指针。
【方法2:(时间复杂度:O(N), 空间复杂度O(N))】
方法1是通过链表查找来得到pSibling指针所指向的结点,实际上我们可以通过空间换取时间,将原始链表和复制链表的结点通过哈希表对应起来,这样查找的时间就从O(N)变为O(1)。具体如下:
复制原始链表上的每个结点N创建N’,然后把这些创建出来的结点用pNext连接起来。同时把<N,N’>的配对信息方法一个哈希表中;然后设置复制链表中的每个结点的pSibling指针,如果原始链表中结点N的pSibling指向结点S,那么在复制链表中,对应的N’应该指向S’。
【方法3:
在不使用辅助空间的情况下实现O(N)的时间效率。
】(重要,掌握)
- 先遍历链表,复制每个节点,clone的节点紧接在原节点后面,得到图示的一个交叉链表,复杂度O(n)。
- 设置复制出来的结点的pSibling。将原来的pSibling线复制到clone的节点上,此过程遍历一次就可以完成,复杂度O(n)。
-
把长链表拆分成两个链表,
把奇数位置的结点用pNext连接起来的就是原始链表,把偶数位置的结点通过pNext连接起来的就是复制链表。
此过程复杂度O(n).
面试题36:二叉搜索树与双向链表(中序遍历)(重要)
题目要求:给定二叉搜索树,将该树转化为排序的双向链表,要求不能创建任何新的节点,只能调整树中节点指针的指向。
这个链接写的非常好
https://blog.csdn.net/u010005281/article/details/79657259
本题是二叉树中序遍历的一个应用,先中序遍历到最左侧的节点(即最小的元素对应的节点),然后将该节点设为双向链表的尾节点,在中序遍历的过程中,不断在其后添加新的节点,设置双向指针,并将尾节点后移,当遍历一轮后,双向链表即可生成。代码主要修改的是中序遍历的主体部分。
面试题37:序列化二叉树(二叉树遍历&二叉树重构)
题目要求:请实现两个函数,分别用来序列化和反序列化二叉树。
【二叉树的序列化】:把二叉树按照某种遍历方式(可以前序,中序,后序)的结果以某种格式保存为字符串,用特殊节点表示空节点
【二叉树的序列化】:序列化的反过程,利用字符串,重构二叉树。
这里写的 是前序遍历的序列及反序列化,序列化比较简单,重点是反序列化,相当于重建二叉树。需要加强。
参考这里
面试题38:字符串的排列(全排列,递归)(重要)
题目要求:输入字符串,打印该字符串中字符的所有排列。
难点在于递归的实现,可以参考这篇博客,图文分析很详细
https://blog.csdn.net/u010591976/article/details/82048582

若含有重复字符,则要对全排列进行去重处理
https://blog.csdn.net/fuxuemingzhu/article/details/79513101
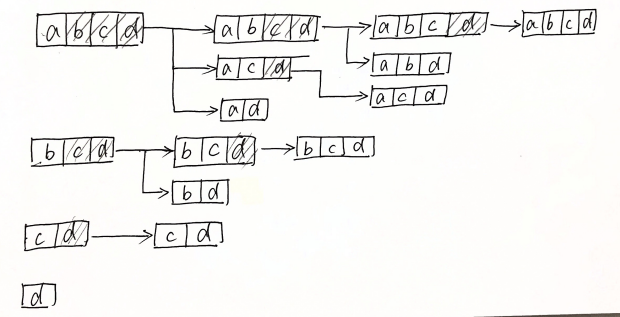
扩展:全组合(递归)(重要)
其实和全排列类似,也是用递归的方法实现,区别在于两点:
- 递归时传入的string字符串,由于是组合问题,所以ab和ba是一样的,没必要每次循环都传所有字符串进行,当首字符是a的时候,已经遍历了这种情况,因此,当首字符是b的时候,就只需要考虑和后面的字符之间的可能组合了。当遍历到最后一个字符时,只需要输出它本身即可。
-
全排列是要走到最后一步,才能输出完整的路径。但是对于全组合问题,需要每走一步打印一步,走到最后一步意味着终止。

注意下图的关键点:任何一个路径,如果一旦到达最后一个字符(d),就意味着该路径的终止。
相关题目(正方体定点和,国际象棋上放置皇后)
-
在正方体八个顶点上放数字,使得三组相对的面上的4个顶点之和相等。
-
8*8国际象棋上摆8个皇后,任何两个皇后不能处于同一行,同一列,同一对角线,问总共多少摆法?
思路:每个皇后肯定占据一行,所以定义一个数组来表示皇后所在的列,col[i]来表示第i个皇后所处的列,对col数组的八个值赋值0-7,然后对该数组全排列,这样一来,就能保证每个皇后不同行且不同列。只需判断每一个排列对应的皇后是不是在同一条对角线上即可,即判断
j - i == col[j] - col[i] or i - j == col[i] - col[j]
,如果满足,则排除这个排列。
【举一反三】:
如果面试题是按照一定要求摆放若干个数字,则可以先求出所欲排列,然后一一判断每个排列是否满足要求。