目录
    
   
    
     1.3、  函数间隔(Functional margin)与几何间隔 (Geometrical margin)
    
   
    一、相关概念
   
    1.1、什么是支持向量机
   
    
     支持向量机(support vector machines,SVM)是一种二分类模型,它的目的是寻找一个超平面来对样本进行分割,分割的原则是间隔最大化,最终转化为一个凸二次规划问题来求解。
    
   
    
     1.2、一个线性相关的例子
    
   
下面举个简单的例子,如下图所示,现在有一个二维平面,平面上有两种不同的数据,分别用圈和叉表示。由于这些数据是线性可分的,所以可以用一条直线将这两类数据分开,这条直线就相当于一个超平面,超平面一边的数据点所对应的y全是 -1 ,另一边所对应的y全是1。
     
   
    这个超平面可以用分类函数
    
    表示,当f(x) 等于0的时候,x便是位于超平面上的点,而f(x)大于0的点对应 y=1 的数据点,f(x)小于0的点对应y=-1的点,如下图所示:
   
    
     
   
接下来的问题是,如何确定这个超平面呢?从直观上而言,这个超平面应该是最适合分开两类数据的直线。而判定“最适合”的标准就是这条直线离直线两边的数据的间隔最大。所以,得寻找有着最大间隔的超平面。
    1.3、  函数间隔(Functional margin)与几何间隔    (Geometrical margin)
   
    在超平面w*x+b=0确定的情况下,|w*x+b|能够表示点x到距离超平面的远近,而
    
     通过观察w*x+b的符号与类标记y的符号是否一致可判断分类是否正确
    
    ,所以,可以用(y*(w*x+b))的正负性来判定或表示分类的正确性。于此,我们便引出了函数间隔(functional margin)的概念。
   
    定义函数间隔(用
    
    表示)为:
   
                            
     
   
而超平面(w,b)关于数据集T中所有样本点(xi,yi)的函数间隔最小值(其中,x是特征,y是结果标签,i表示第i个样本),便为超平面(w, b)关于训练数据集T的函数间隔:
                            
    
   
但这样定义的函数间隔有问题,即如果成比例的改变w和b(如将它们改成2w和2b),则函数间隔的值f(x)却变成了原来的2倍(虽然此时超平面没有改变),所以只有函数间隔还远远不够。
事实上,我们可以对法向量w加些约束条件,从而引出真正定义点到超平面的距离–几何间隔(geometrical margin)的概念。
    假定对于一个点 x ,令其垂直投影到超平面上的对应点为 x0 ,w 是垂直于超平面的一个向量,
    
    为样本x到分类间隔的距离,如下图所示:
   
                                    
     
   
    有
    
    ,其中||w||表示的是二阶范数。
   
    又由于  是超平面上的点,满足  ,代入超平面的方程
    
    即可算出:
   
                            
    
   
    为了得到
    
    的绝对值,令
    
    乘上对应的类别 y,即可得出几何间隔(用
    
    表示)的定义:
   
                                    
    
   
从上述函数间隔和几何间隔的定义可以看出:几何间隔就是函数间隔除以||w||,而且函数间隔y*(wx+b) = y*f(x)实际上就是|f(x)|,只是人为定义的一个间隔度量,而几何间隔|f(x)|/||w||才是直观上的点到超平面的距离。
    1.4、最大间隔分类器
   
对一个数据点进行分类,当超平面离数据点的“间隔”越大,分类的确信度(confidence)也越大。所以,为了使得分类的确信度尽量高,需要让所选择的超平面能够最大化这个“间隔”值。这个间隔如下图中的gap / 2所示。
                            
     
   
    通过由前面的分析可知:函数间隔不适合用来最大化间隔值,因为在超平面固定以后,可以等比例地缩放w的长度和b的值,这样可以使得
    
    的值任意大,亦即函数间隔
    
    可以在超平面保持不变的情况下被取得任意大。但几何间隔因为除上了
    
    ,使得在缩放w和b的时候几何间隔
    
    的值是不会改变的,它只随着超平面的变动而变动,因此,这是更加合适的一个间隔。所以,这里要找的最大间隔分类超平面中的“间隔”指的是几何间隔。
   
    回顾下几何间隔的定义
    
    可知:如果令函数间隔
    
    等于1(之所以令
    
    等于1,是为了方便推导和优化,且这样做对目标函数的优化没有影响),则有
    
    = 1 / ||w||且
    
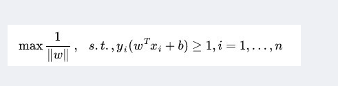
    ,从而上述目标函数转化成了
   
    
     
   
    这个目标函数便是在相应的约束条件
    
    下,最大化这个1/||w||值,而1/||w||便是几何间隔
    
    。
   
    如下图所示,中间的实线便是寻找到的最优超平面(Optimal Hyper Plane),其到两条虚线的距离相等,这个距离便是几何间隔
    
    ,两条虚线之间的距离等于2
    
    ,而虚线上的点则是支持向量。由于这些支持向量刚好在边界上,所以它们满足
    
    ,而对于所有不是支持向量的点,则显然有
    
   
                    
     
   
    二、SMO算法(一种启发式算法)
   
    2.1、SMO算法的基本思路:
   
    1.如果所有的变量的解都满足最优化问题的
    
     KKT
    
    条件 那么这个最优化问题的解就得到了
    
    2.否则选择两个变量 固定其他变量(任意选择两个拉格朗日乘子) 针对这两个变量构建一个二次规划问题
    
    这个二次规划问题关于这两个变量的解应该更加接近二次规划问题的解 使得二次规划问题的目标函数值变得更小
    
    3.此时: 子问题有两个变量 一个是违反KKT条件最严重的一个 一个是由约束条件自动确定的
   
    注意: 选择两个变量实质上只有一个自由变量
    
    因为等式约束:
    
    ∑i=2Nαiyi=0
    
    
     重点:SMO算法实质上包含两个部分
    
    
    1. 求解两个变量二次规划的解析方法
    
    2.选择变量的启发式方法
   
    2.2、两个变量二次规划的求解方法
   
    假设选择的两个变量是 α1,α2α1,α2 其他αiαi是固定的
    
    带入到凸二次规划的对偶问题中, 可以推导为
   
     
   
为了求解两个变量的二次规划问题, 首先分析约束条件 然后再次约束条件中求极小值
    2.3、变量的选择方式
   
    SMO算法在每个子问题中选择两个变量优化 其中至少一个变量是违反KKT条件的
    
    1)第1个变量的选择
    
    选择第1个变量的过程为外层循环 外层循环在训练样本中选取违反KKT条件最严重的样本点
    
    并将其对应的变量作为第1个变量 –> 即:检验训练样本点(xi,yi)(xi,yi)是否满足KKT条件
    
    KKT条件为:
    
     
   
    2)第2个变量的选择
    
    选择第2个变量为内层循环 假设在外层循环中以及找到第一个变量α1α1,现在要在内层循环中找到第2个变量,第二个变量的选择标准是
    
    希望能使α2α2有足够的变化
    
    使得alpha2alpha2的取值满足约束条件,由之前推导可得更新alpha2alpha2条件是:满足二次规划问题和根据|E1−E2||E1−E2|更新α2
   
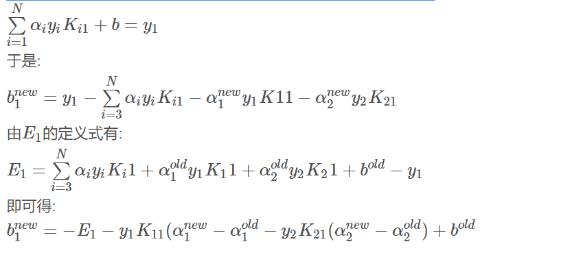
    3)计算阈值b与差值EiEi
    
    每次完成两个变量的优化后 都要重新计算阈值b, 由KKT条件可知
   
     
   
    三、编程求解线性SVM
   
    3.1、可视化数据集
   
首先我们使用简单的数据集进行测试,局部数据如下图:
     
   
import matplotlib.pyplot as plt
import numpy as np
"""
函数说明:读取数据
Parameters:
    fileName:文件名
Returns:
    dataMat:数据矩阵
    labelMat:数据标签
"""
def loadDataSet(fileName):
    dataMat = []; labelMat = []
    fr = open(fileName)
    for line in fr.readlines():         
        #逐行读取,滤除空格                            
        lineArr = line.strip().split('\t')
        dataMat.append([float(lineArr[0]), float(lineArr[1])])      
        labelMat.append(float(lineArr[2]))                          
    return dataMat,labelMat
"""
函数说明:数据可视化
Parameters:
    dataMat:数据矩阵
    labelMat:数据标签
Returns:
    无
"""
def showDataSet(dataMat, labelMat):
    data_plus = []                                  
    data_minus = []                                 
    for i in range(len(dataMat)):
        if labelMat[i] > 0:
            data_plus.append(dataMat[i])
        else:
            data_minus.append(dataMat[i])
    data_plus_np = np.array(data_plus)             
    data_minus_np = np.array(data_minus)       
    #正样本散点图     
    plt.scatter(np.transpose(data_plus_np)[0], np.transpose(data_plus_np)[1])   
    #负样本散点图
    plt.scatter(np.transpose(data_minus_np)[0], np.transpose(data_minus_np)[1]) 
    plt.show()
if __name__ == '__main__':
    dataMat, labelMat = loadDataSet('testSet.txt')
    showDataSet(dataMat, labelMat)可视化数据:
     
   
这就是我们使用的二维数据集,显然线性可分。现在我们使用简化版的SMO算法进行求解。
    3.2、简化版SMO算法求解
   
from time import sleep
import matplotlib.pyplot as plt
import numpy as np
import random
import types
"""
函数说明:读取数据
Parameters:
    fileName:文件名
Returns:
    dataMat:数据矩阵
    labelMat:数据标签
"""
def loadDataSet(fileName):
    dataMat = []; labelMat = []
    fr = open(fileName)
    for line in fr.readlines():
        lineArr = line.strip().split('\t')
        dataMat.append([float(lineArr[0]), float(lineArr[1])])
        labelMat.append(float(lineArr[2]))
    return dataMat,labelMat
"""
函数说明:随机选择alpha
Parameters:
    i:alpha
    m:alpha参数个数
Returns:
    j
"""
def selectJrand(i, m):
    j = i
    while (j == i):
        j = int(random.uniform(0, m))
    return j
"""
函数说明:修剪alpha
Parameters:
    aj:alpha值
    H:alpha上限
    L:alpha下限
Returns:
    aj:alpah值
"""
def clipAlpha(aj,H,L):
    if aj > H:
        aj = H
    if L > aj:
        aj = L
    return aj
"""
函数说明:简化版SMO算法
Parameters:
    dataMatIn:数据矩阵
    classLabels:数据标签
    C:松弛变量
    toler:容错率
    maxIter:最大迭代次数
Returns:
    无
"""
def smoSimple(dataMatIn, classLabels, C, toler, maxIter):
    #转换为numpy的mat存储
    dataMatrix = np.mat(dataMatIn); labelMat = np.mat(classLabels).transpose()
    #初始化b参数,统计dataMatrix的维度
    b = 0; m,n = np.shape(dataMatrix)
    #初始化alpha参数,设为0
    alphas = np.mat(np.zeros((m,1)))
    #初始化迭代次数
    iter_num = 0
    #最多迭代matIter次
    while (iter_num < maxIter):
        alphaPairsChanged = 0
        for i in range(m):
            #步骤1:计算误差Ei
            fXi = float(np.multiply(alphas,labelMat).T*(dataMatrix*dataMatrix[i,:].T)) + b
            Ei = fXi - float(labelMat[i])
            #优化alpha,更设定一定的容错率。
            if ((labelMat[i]*Ei < -toler) and (alphas[i] < C)) or ((labelMat[i]*Ei > toler) and (alphas[i] > 0)):
                #随机选择另一个与alpha_i成对优化的alpha_j
                j = selectJrand(i,m)
                #步骤1:计算误差Ej
                fXj = float(np.multiply(alphas,labelMat).T*(dataMatrix*dataMatrix[j,:].T)) + b
                Ej = fXj - float(labelMat[j])
                #保存更新前的aplpha值,使用深拷贝
                alphaIold = alphas[i].copy(); alphaJold = alphas[j].copy();
                #步骤2:计算上下界L和H
                if (labelMat[i] != labelMat[j]):
                    L = max(0, alphas[j] - alphas[i])
                    H = min(C, C + alphas[j] - alphas[i])
                else:
                    L = max(0, alphas[j] + alphas[i] - C)
                    H = min(C, alphas[j] + alphas[i])
                if L==H: print("L==H"); continue
                #步骤3:计算eta
                eta = 2.0 * dataMatrix[i,:]*dataMatrix[j,:].T - dataMatrix[i,:]*dataMatrix[i,:].T - dataMatrix[j,:]*dataMatrix[j,:].T
                if eta >= 0: print("eta>=0"); continue
                #步骤4:更新alpha_j
                alphas[j] -= labelMat[j]*(Ei - Ej)/eta
                #步骤5:修剪alpha_j
                alphas[j] = clipAlpha(alphas[j],H,L)
                if (abs(alphas[j] - alphaJold) < 0.00001): print("alpha_j变化太小"); continue
                #步骤6:更新alpha_i
                alphas[i] += labelMat[j]*labelMat[i]*(alphaJold - alphas[j])
                #步骤7:更新b_1和b_2
                b1 = b - Ei- labelMat[i]*(alphas[i]-alphaIold)*dataMatrix[i,:]*dataMatrix[i,:].T - labelMat[j]*(alphas[j]-alphaJold)*dataMatrix[i,:]*dataMatrix[j,:].T
                b2 = b - Ej- labelMat[i]*(alphas[i]-alphaIold)*dataMatrix[i,:]*dataMatrix[j,:].T - labelMat[j]*(alphas[j]-alphaJold)*dataMatrix[j,:]*dataMatrix[j,:].T
                #步骤8:根据b_1和b_2更新b
                if (0 < alphas[i]) and (C > alphas[i]): b = b1
                elif (0 < alphas[j]) and (C > alphas[j]): b = b2
                else: b = (b1 + b2)/2.0
                #统计优化次数
                alphaPairsChanged += 1
                #打印统计信息
                print("第%d次迭代 样本:%d, alpha优化次数:%d" % (iter_num,i,alphaPairsChanged))
        #更新迭代次数
        if (alphaPairsChanged == 0): iter_num += 1
        else: iter_num = 0
        print("迭代次数: %d" % iter_num)
    return b,alphas
"""
函数说明:分类结果可视化
Parameters:
    dataMat:数据矩阵
    w:直线法向量
    b:直线解决
Returns:
    无
"""
def showClassifer(dataMat, w, b):
    #绘制样本点
    data_plus = []
    data_minus = []
    for i in range(len(dataMat)):
        if labelMat[i] > 0:
            data_plus.append(dataMat[i])
        else:
            data_minus.append(dataMat[i])
    data_plus_np = np.array(data_plus)
    data_minus_np = np.array(data_minus)
    #正样本散点图
    plt.scatter(np.transpose(data_plus_np)[0], np.transpose(data_plus_np)[1], s=30, alpha=0.7)
    #负样本散点图
    plt.scatter(np.transpose(data_minus_np)[0], np.transpose(data_minus_np)[1], s=30, alpha=0.7)
    #绘制直线
    x1 = max(dataMat)[0]
    x2 = min(dataMat)[0]
    a1, a2 = w
    b = float(b)
    a1 = float(a1[0])
    a2 = float(a2[0])
    y1, y2 = (-b- a1*x1)/a2, (-b - a1*x2)/a2
    plt.plot([x1, x2], [y1, y2])
    #找出支持向量点
    for i, alpha in enumerate(alphas):
        if abs(alpha) > 0:
            x, y = dataMat[i]
            plt.scatter([x], [y], s=150, c='none', alpha=0.7, linewidth=1.5, edgecolor='red')
    plt.show()
"""
函数说明:计算w
Parameters:
    dataMat:数据矩阵
    labelMat:数据标签
    alphas:alphas值
Returns:
    无
"""
def get_w(dataMat, labelMat, alphas):
    alphas, dataMat, labelMat = np.array(alphas), np.array(dataMat), np.array(labelMat)
    w = np.dot((np.tile(labelMat.reshape(1, -1).T, (1, 2)) * dataMat).T, alphas)
    return w.tolist()
if __name__ == '__main__':
    dataMat, labelMat = loadDataSet('testSet.txt')
    b,alphas = smoSimple(dataMat, labelMat, 0.6, 0.001, 40)
    w = get_w(dataMat, labelMat, alphas)
    showClassifer(dataMat, w, b)运行结果:
     
   
     
   
其中,中间的蓝线为求出来的分类器,用红圈圈出的点为支持向量点。
    3.3、编程实现非线性SVM
   
首先我们编程实现可视化数据集
# -*-coding:utf-8 -*-
import matplotlib.pyplot as plt
import numpy as np
def loadDataSet(fileName):
    """
    读取数据
    Parameters:
        fileName - 文件名
    Returns:
        dataMat - 数据矩阵
        labelMat - 数据标签
    """
    dataMat = []; labelMat = []
    fr = open(fileName)
    for line in fr.readlines():                                     #逐行读取,滤除空格等
        lineArr = line.strip().split('\t')
        dataMat.append([float(lineArr[0]), float(lineArr[1])])      #添加数据
        labelMat.append(float(lineArr[2]))                          #添加标签
    return dataMat,labelMat
def showDataSet(dataMat, labelMat):
    """
    数据可视化
    Parameters:
        dataMat - 数据矩阵
        labelMat - 数据标签
    Returns:
        无
    """
    data_plus = []                                  #正样本
    data_minus = []                                 #负样本
    for i in range(len(dataMat)):
        if labelMat[i] > 0:
            data_plus.append(dataMat[i])
        else:
            data_minus.append(dataMat[i])
    data_plus_np = np.array(data_plus)              #转换为numpy矩阵
    data_minus_np = np.array(data_minus)            #转换为numpy矩阵
    plt.scatter(np.transpose(data_plus_np)[0], np.transpose(data_plus_np)[1])   #正样本散点图
    plt.scatter(np.transpose(data_minus_np)[0], np.transpose(data_minus_np)[1]) #负样本散点图
    plt.show()
if __name__ == '__main__':
    dataArr,labelArr = loadDataSet('testSetRBF.txt')                        #加载训练集
    showDataSet(dataArr, labelArr)运行结果:
     
   
由运行结果可知:数据明显是线性不可分的。
    3.4、编写核函数及其测试
   
# -*-coding:utf-8 -*-
import matplotlib.pyplot as plt
import numpy as np
import random
class optStruct:
    """
    数据结构,维护所有需要操作的值
    Parameters:
        dataMatIn - 数据矩阵
        classLabels - 数据标签
        C - 松弛变量
        toler - 容错率
        kTup - 包含核函数信息的元组,第一个参数存放核函数类别,第二个参数存放必要的核函数需要用到的参数
    """
    def __init__(self, dataMatIn, classLabels, C, toler, kTup):
        self.X = dataMatIn                                #数据矩阵
        self.labelMat = classLabels                        #数据标签
        self.C = C                                         #松弛变量
        self.tol = toler                                 #容错率
        self.m = np.shape(dataMatIn)[0]                 #数据矩阵行数
        self.alphas = np.mat(np.zeros((self.m,1)))         #根据矩阵行数初始化alpha参数为0
        self.b = 0                                         #初始化b参数为0
        self.eCache = np.mat(np.zeros((self.m,2)))         #根据矩阵行数初始化虎误差缓存,第一列为是否有效的标志位,第二列为实际的误差E的值。
        self.K = np.mat(np.zeros((self.m,self.m)))        #初始化核K
        for i in range(self.m):                            #计算所有数据的核K
            self.K[:,i] = kernelTrans(self.X, self.X[i,:], kTup)
def kernelTrans(X, A, kTup):
    """
    通过核函数将数据转换更高维的空间
    Parameters:
        X - 数据矩阵
        A - 单个数据的向量
        kTup - 包含核函数信息的元组
    Returns:
        K - 计算的核K
    """
    m,n = np.shape(X)
    K = np.mat(np.zeros((m,1)))
    if kTup[0] == 'lin': K = X * A.T                       #线性核函数,只进行内积。
    elif kTup[0] == 'rbf':                                 #高斯核函数,根据高斯核函数公式进行计算
        for j in range(m):
            deltaRow = X[j,:] - A
            K[j] = deltaRow*deltaRow.T
        K = np.exp(K/(-1*kTup[1]**2))                     #计算高斯核K
    else: raise NameError('核函数无法识别')
    return K                                             #返回计算的核K
def loadDataSet(fileName):
    """
    读取数据
    Parameters:
        fileName - 文件名
    Returns:
        dataMat - 数据矩阵
        labelMat - 数据标签
    """
    dataMat = []; labelMat = []
    fr = open(fileName)
    for line in fr.readlines():                                     #逐行读取,滤除空格等
        lineArr = line.strip().split('\t')
        dataMat.append([float(lineArr[0]), float(lineArr[1])])      #添加数据
        labelMat.append(float(lineArr[2]))                          #添加标签
    return dataMat,labelMat
def calcEk(oS, k):
    """
    计算误差
    Parameters:
        oS - 数据结构
        k - 标号为k的数据
    Returns:
        Ek - 标号为k的数据误差
    """
    fXk = float(np.multiply(oS.alphas,oS.labelMat).T*oS.K[:,k] + oS.b)
    Ek = fXk - float(oS.labelMat[k])
    return Ek
def selectJrand(i, m):
    """
    函数说明:随机选择alpha_j的索引值
    Parameters:
        i - alpha_i的索引值
        m - alpha参数个数
    Returns:
        j - alpha_j的索引值
    """
    j = i                                 #选择一个不等于i的j
    while (j == i):
        j = int(random.uniform(0, m))
    return j
def selectJ(i, oS, Ei):
    """
    内循环启发方式2
    Parameters:
        i - 标号为i的数据的索引值
        oS - 数据结构
        Ei - 标号为i的数据误差
    Returns:
        j, maxK - 标号为j或maxK的数据的索引值
        Ej - 标号为j的数据误差
    """
    maxK = -1; maxDeltaE = 0; Ej = 0                         #初始化
    oS.eCache[i] = [1,Ei]                                      #根据Ei更新误差缓存
    validEcacheList = np.nonzero(oS.eCache[:,0].A)[0]        #返回误差不为0的数据的索引值
    if (len(validEcacheList)) > 1:                            #有不为0的误差
        for k in validEcacheList:                           #遍历,找到最大的Ek
            if k == i: continue                             #不计算i,浪费时间
            Ek = calcEk(oS, k)                                #计算Ek
            deltaE = abs(Ei - Ek)                            #计算|Ei-Ek|
            if (deltaE > maxDeltaE):                        #找到maxDeltaE
                maxK = k; maxDeltaE = deltaE; Ej = Ek
        return maxK, Ej                                        #返回maxK,Ej
    else:                                                   #没有不为0的误差
        j = selectJrand(i, oS.m)                            #随机选择alpha_j的索引值
        Ej = calcEk(oS, j)                                    #计算Ej
    return j, Ej                                             #j,Ej
def updateEk(oS, k):
    """
    计算Ek,并更新误差缓存
    Parameters:
        oS - 数据结构
        k - 标号为k的数据的索引值
    Returns:
        无
    """
    Ek = calcEk(oS, k)                                        #计算Ek
    oS.eCache[k] = [1,Ek]                                    #更新误差缓存
def clipAlpha(aj,H,L):
    """
    修剪alpha_j
    Parameters:
        aj - alpha_j的值
        H - alpha上限
        L - alpha下限
    Returns:
        aj - 修剪后的alpah_j的值
    """
    if aj > H:
        aj = H
    if L > aj:
        aj = L
    return aj
def innerL(i, oS):
    """
    优化的SMO算法
    Parameters:
        i - 标号为i的数据的索引值
        oS - 数据结构
    Returns:
        1 - 有任意一对alpha值发生变化
        0 - 没有任意一对alpha值发生变化或变化太小
    """
    #步骤1:计算误差Ei
    Ei = calcEk(oS, i)
    #优化alpha,设定一定的容错率。
    if ((oS.labelMat[i] * Ei < -oS.tol) and (oS.alphas[i] < oS.C)) or ((oS.labelMat[i] * Ei > oS.tol) and (oS.alphas[i] > 0)):
        #使用内循环启发方式2选择alpha_j,并计算Ej
        j,Ej = selectJ(i, oS, Ei)
        #保存更新前的aplpha值,使用深拷贝
        alphaIold = oS.alphas[i].copy(); alphaJold = oS.alphas[j].copy();
        #步骤2:计算上下界L和H
        if (oS.labelMat[i] != oS.labelMat[j]):
            L = max(0, oS.alphas[j] - oS.alphas[i])
            H = min(oS.C, oS.C + oS.alphas[j] - oS.alphas[i])
        else:
            L = max(0, oS.alphas[j] + oS.alphas[i] - oS.C)
            H = min(oS.C, oS.alphas[j] + oS.alphas[i])
        if L == H:
            print("L==H")
            return 0
        #步骤3:计算eta
        eta = 2.0 * oS.K[i,j] - oS.K[i,i] - oS.K[j,j]
        if eta >= 0:
            print("eta>=0")
            return 0
        #步骤4:更新alpha_j
        oS.alphas[j] -= oS.labelMat[j] * (Ei - Ej)/eta
        #步骤5:修剪alpha_j
        oS.alphas[j] = clipAlpha(oS.alphas[j],H,L)
        #更新Ej至误差缓存
        updateEk(oS, j)
        if (abs(oS.alphas[j] - alphaJold) < 0.00001):
            print("alpha_j变化太小")
            return 0
        #步骤6:更新alpha_i
        oS.alphas[i] += oS.labelMat[j]*oS.labelMat[i]*(alphaJold - oS.alphas[j])
        #更新Ei至误差缓存
        updateEk(oS, i)
        #步骤7:更新b_1和b_2
        b1 = oS.b - Ei- oS.labelMat[i]*(oS.alphas[i]-alphaIold)*oS.K[i,i] - oS.labelMat[j]*(oS.alphas[j]-alphaJold)*oS.K[i,j]
        b2 = oS.b - Ej- oS.labelMat[i]*(oS.alphas[i]-alphaIold)*oS.K[i,j]- oS.labelMat[j]*(oS.alphas[j]-alphaJold)*oS.K[j,j]
        #步骤8:根据b_1和b_2更新b
        if (0 < oS.alphas[i]) and (oS.C > oS.alphas[i]): oS.b = b1
        elif (0 < oS.alphas[j]) and (oS.C > oS.alphas[j]): oS.b = b2
        else: oS.b = (b1 + b2)/2.0
        return 1
    else:
        return 0
def smoP(dataMatIn, classLabels, C, toler, maxIter, kTup = ('lin',0)):
    """
    完整的线性SMO算法
    Parameters:
        dataMatIn - 数据矩阵
        classLabels - 数据标签
        C - 松弛变量
        toler - 容错率
        maxIter - 最大迭代次数
        kTup - 包含核函数信息的元组
    Returns:
        oS.b - SMO算法计算的b
        oS.alphas - SMO算法计算的alphas
    """
    oS = optStruct(np.mat(dataMatIn), np.mat(classLabels).transpose(), C, toler, kTup)                #初始化数据结构
    iter = 0                                                                                         #初始化当前迭代次数
    entireSet = True; alphaPairsChanged = 0
    while (iter < maxIter) and ((alphaPairsChanged > 0) or (entireSet)):                            #遍历整个数据集都alpha也没有更新或者超过最大迭代次数,则退出循环
        alphaPairsChanged = 0
        if entireSet:                                                                                #遍历整个数据集
            for i in range(oS.m):
                alphaPairsChanged += innerL(i,oS)                                                    #使用优化的SMO算法
                print("全样本遍历:第%d次迭代 样本:%d, alpha优化次数:%d" % (iter,i,alphaPairsChanged))
            iter += 1
        else:                                                                                         #遍历非边界值
            nonBoundIs = np.nonzero((oS.alphas.A > 0) * (oS.alphas.A < C))[0]                        #遍历不在边界0和C的alpha
            for i in nonBoundIs:
                alphaPairsChanged += innerL(i,oS)
                print("非边界遍历:第%d次迭代 样本:%d, alpha优化次数:%d" % (iter,i,alphaPairsChanged))
            iter += 1
        if entireSet:                                                                                #遍历一次后改为非边界遍历
            entireSet = False
        elif (alphaPairsChanged == 0):                                                                #如果alpha没有更新,计算全样本遍历
            entireSet = True
        print("迭代次数: %d" % iter)
    return oS.b,oS.alphas                                                                             #返回SMO算法计算的b和alphas
def testRbf(k1 = 1.3):
    """
    测试函数
    Parameters:
        k1 - 使用高斯核函数的时候表示到达率
    Returns:
        无
    """
    dataArr,labelArr = loadDataSet('testSetRBF.txt')                        #加载训练集
    b,alphas = smoP(dataArr, labelArr, 200, 0.0001, 100, ('rbf', k1))        #根据训练集计算b和alphas
    datMat = np.mat(dataArr); labelMat = np.mat(labelArr).transpose()
    svInd = np.nonzero(alphas.A > 0)[0]                                        #获得支持向量
    sVs = datMat[svInd]
    labelSV = labelMat[svInd];
    print("支持向量个数:%d" % np.shape(sVs)[0])
    m,n = np.shape(datMat)
    errorCount = 0
    for i in range(m):
        kernelEval = kernelTrans(sVs,datMat[i,:],('rbf', k1))                #计算各个点的核
        predict = kernelEval.T * np.multiply(labelSV,alphas[svInd]) + b     #根据支持向量的点,计算超平面,返回预测结果
        if np.sign(predict) != np.sign(labelArr[i]): errorCount += 1        #返回数组中各元素的正负符号,用1和-1表示,并统计错误个数
    print("训练集错误率: %.2f%%" % ((float(errorCount)/m)*100))             #打印错误率
    dataArr,labelArr = loadDataSet('testSetRBF2.txt')                         #加载测试集
    errorCount = 0
    datMat = np.mat(dataArr); labelMat = np.mat(labelArr).transpose()
    m,n = np.shape(datMat)
    for i in range(m):
        kernelEval = kernelTrans(sVs,datMat[i,:],('rbf', k1))                 #计算各个点的核
        predict=kernelEval.T * np.multiply(labelSV,alphas[svInd]) + b         #根据支持向量的点,计算超平面,返回预测结果
        if np.sign(predict) != np.sign(labelArr[i]): errorCount += 1        #返回数组中各元素的正负符号,用1和-1表示,并统计错误个数
    print("测试集错误率: %.2f%%" % ((float(errorCount)/m)*100))             #打印错误率
def showDataSet(dataMat, labelMat):
    """
    数据可视化
    Parameters:
        dataMat - 数据矩阵
        labelMat - 数据标签
    Returns:
        无
    """
    data_plus = []                                  #正样本
    data_minus = []                                 #负样本
    for i in range(len(dataMat)):
        if labelMat[i] > 0:
            data_plus.append(dataMat[i])
        else:
            data_minus.append(dataMat[i])
    data_plus_np = np.array(data_plus)              #转换为numpy矩阵
    data_minus_np = np.array(data_minus)            #转换为numpy矩阵
    plt.scatter(np.transpose(data_plus_np)[0], np.transpose(data_plus_np)[1])   #正样本散点图
    plt.scatter(np.transpose(data_minus_np)[0], np.transpose(data_minus_np)[1]) #负样本散点图
    plt.show()
if __name__ == '__main__':
    testRbf()
     
   
可以看到,训练集错误率为9%,测试集错误率都是18%。可以尝试更换不同的K1参数以观察测试错误率、训练错误率、支持向量个数随k1的变化情况。你会发现K1过大,会出现过拟合的情况,即训练集错误率低,但是测试集错误率高。
    四、总结
   
    4.1、SVM的优缺点:
   
优点:
- 可用于线性/非线性分类,也可以用于回归,泛化错误率低,也就是说具有良好的学习能力,且学到的结果具有很好的推广性。
- 可以解决小样本情况下的机器学习问题,可以解决高维问题,可以避免神经网络结构选择和局部极小点问题。
- SVM是最好的现成的分类器,现成是指不加修改可直接使用。并且能够得到较低的错误率,SVM可以对训练集之外的数据点做很好的分类决策。
缺点:
- 对参数调节和和函数的选择敏感。
 
