【Java笔试题】160. 相交链表

  • Post author:
  • Post category:java


编写一个程序,找到两个单链表相交的起始节点。

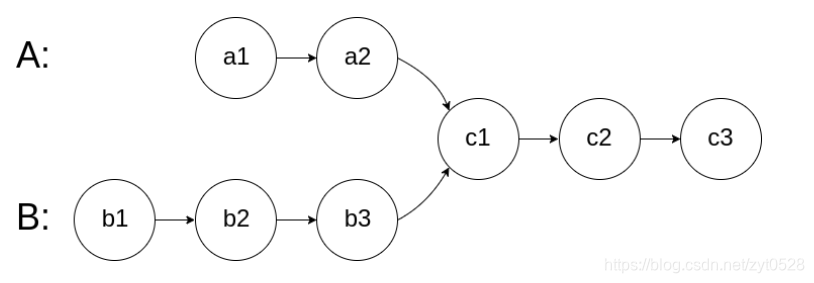
如下面的两个链表:

在节点 c1 开始相交。

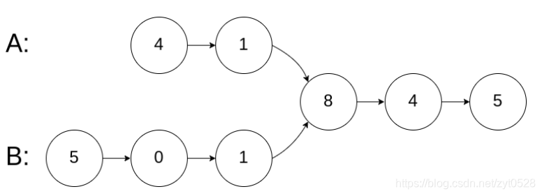
示例 1:

输入:intersectVal = 8, listA = [4,1,8,4,5], listB = [5,0,1,8,4,5], skipA = 2, skipB = 3

输出:Reference of the node with value = 8

输入解释:相交节点的值为 8 (注意,如果两个链表相交则不能为 0)。从各自的表头开始算起,链表 A 为 [4,1,8,4,5],链表 B 为 [5,0,1,8,4,5]。在 A 中,相交节点前有 2 个节点;在 B 中,相交节点前有 3 个节点。

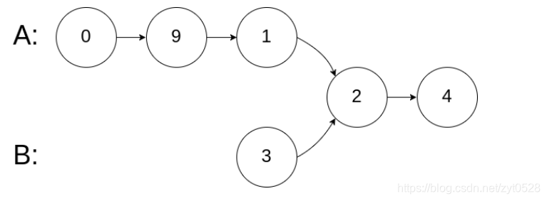
示例 2:

输入:intersectVal = 2, listA = [0,9,1,2,4], listB = [3,2,4], skipA = 3, skipB = 1

输出:Reference of the node with value = 2

输入解释:相交节点的值为 2 (注意,如果两个链表相交则不能为 0)。从各自的表头开始算起,链表 A 为 [0,9,1,2,4],链表 B 为 [3,2,4]。在 A 中,相交节点前有 3 个节点;在 B 中,相交节点前有 1 个节点。

示例 3:

输入:intersectVal = 0, listA = [2,6,4], listB = [1,5], skipA = 3, skipB = 2

输出:null

输入解释:从各自的表头开始算起,链表 A 为 [2,6,4],链表 B 为 [1,5]。由于这两个链表不相交,所以 intersectVal 必须为 0,而 skipA 和 skipB 可以是任意值。

解释:这两个链表不相交,因此返回 null。

注意:

如果两个链表没有交点,返回 null.

在返回结果后,两个链表仍须保持原有的结构。

可假定整个链表结构中没有循环。

程序尽量满足 O(n) 时间复杂度,且仅用 O(1) 内存。

来源:力扣(LeetCode)

链接:https://leetcode-cn.com/problems/intersection-of-two-linked-lists

著作权归领扣网络所有。商业转载请联系官方授权,非商业转载请注明出处。


解题思路

求两个单链表的长度,计算两个单链表的长度的差值 x,让长的单链表的指针先走 x 步,然后两个链表的指针同时一人一步走。当两个指针相遇并且两个指针都不为空的时候,两个指针指向的就是相交节点,否则就返回 null

代码实现

/**
 * Definition for singly-linked list.
 * public class ListNode {
 *     int val;
 *     ListNode next;
 *     ListNode(int x) {
 *         val = x;
 *         next = null;
 *     }
 * }
 */
public class Solution {
    public ListNode getIntersectionNode(ListNode headA, ListNode headB) {
        int len1 = 0;
        int len2 = 0;
        ListNode ps = headA;
        ListNode pl = headB;
        while (ps != null){
            len1++;
            ps = ps.next;
        }
        while (pl != null){
            len2++;
            pl = pl.next;
        }
        int x = 0;
        if (len1 > len2){
            x = len1 - len2;
            pl = headA;
            ps = headB;
        }else {
            x = len2 - len1;
            pl = headB;
            ps = headA;
        }
        while (x > 0){
            pl = pl.next;
            x--;
        }
        while (ps != pl && ps != null && pl != null){
            pl = pl.next;
            ps = ps.next;
        }
        if (pl == ps && pl != null){
            return pl;
        }

        return null;
    }
}



版权声明:本文为zyt0528原创文章,遵循 CC 4.0 BY-SA 版权协议,转载请附上原文出处链接和本声明。