原码一位乘:
学习传送门:
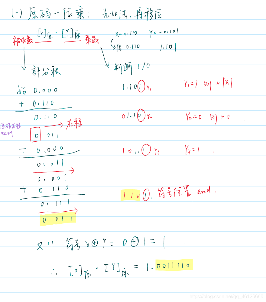
原码一位乘
主要方法:1判断,2加法,3右移,循环结束
其他:
原码逻辑右移,原码高位补零
补码算数移位
![]()
补码一位乘:
学习传送门:
补码一位乘
主要思想:
1判断 2加法 3右移
加法多一轮,判断辅助位
![]()
原码/补码一位乘 异同:
| 原码一位乘法 | 补码一位乘法 |
|---|---|
| 进行n轮加法、移位 |
进行n轮加法、移位, 最后多一次加法 |
|
根据乘数Y的 最低位 确定加什么 |
根据乘数Y的 最低位、辅助位 确定加什么 |
| 每次加法可能+0、[x]原码的绝对值 | 每次加法可能+0、[+x]补码、[-x]补码 |
|
每次移位是 逻辑右移 |
每次移位是 补码的算数右移 |
| 符号位不参与运算,单独算 | 符号位参与运算 |
练习题
待更
版权声明:本文为qq_46126666原创文章,遵循 CC 4.0 BY-SA 版权协议,转载请附上原文出处链接和本声明。
