1 多元线性回归的基本原理
线性回归是机器学习中最简单的回归算法,多元线性回归指的就是一个样本有多个特征的线性回归问题。对于一个有
n
n
n
个特征的样本
i
i
i
而言,它的回归结果可以写作一个几乎人人熟悉的方程:




先定义了
损失函数
,然后通过最小化损失函数或损失函数的某种变化来将求解参数向量,以此将单纯的求解问题转化为一个最优化问题。在多元线性回归中,我们的损失函数如下定义:

2 最小二乘法求解多元线性回归的参数




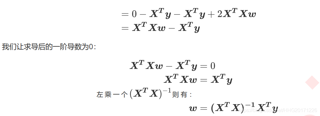
到了这里,我们希望能够将 留在等式的左边,其他与特征矩阵有关的部分都放到等式的右边,如此就可以求出
w
w
w
的最优解了。这个功能非常容易实现,只需要我们左乘
X
T
X
X^TX
X
T
X
的逆矩阵就可以。
在这里,逆矩阵存在的充分必要条件是特征矩阵不存在多重共线性
linear_model.LinearRegression
linear_model.LinearRegression
使用普通最小二乘法的线性回归
class sklearn.linear_model.LinearRegression (fit_intercept=True,
normalize=False,
copy_X=True,
n_jobs=None
)
参数:
-
fit_intercept
:布尔值,可不填,默认为True
是否计算此模型的截距。如果设置为False,则不会计算截距 -
normalize
:布尔值,可不填,默认为False
当fit_intercept设置为False时,将忽略此参数。如果为True,则特征矩阵X在进入回归之前将会被减去均值(中心化)并除以L2范式(缩放)。如果你希望进行标准化,请在fit数据之前使用preprocessing模块中的标准化专用类StandardScaler -
copy_X
:布尔值,可不填,默认为True
如果为真,将在X.copy()上进行操作,否则的话原本的特征矩阵X可能被线性回归影响并覆盖 -
n_jobs
:整数或者None,可不填,默认为None
用于计算的作业数。只在多标签的回归和数据量足够大的时候才生效。除非None在joblib.parallel_backend上下文中,否则None统一表示为1。如果输入 -1,则表示使用全部的CPU来进行计算。
线性回归的类可能是我们目前为止学到的最简单的类,仅有四个参数就可以完成一个完整的算法。并且看得出,这些参数中并没有一个是必填的,更没有对我们的模型有不可替代作用的参数。这说明,线性回归的性能,往往取决于数据本身,而并非是我们的调参能力,线性回归也因此对数据有着很高的要求。幸运的是,现实中大部分连续型变量之间,都存在着或多或少的线性联系。所以线性回归虽然简单,却很强大。
(sklearn中的线性回归可以处理多标签问题,只需要在fit的时候输入多维度标签就可以了。)
代码:
#1. 导入需要的模块和库
from sklearn.linear_model import LinearRegression as LR
from sklearn.model_selection import train_test_split
from sklearn.model_selection import cross_val_score
from sklearn.datasets import fetch_california_housing as fch #加利福尼亚房屋价值数据集
import pandas as pd
#2. 导入数据,探索数据
housevalue = fch() #会需要下载,大家可以提前运行试试看
X = pd.DataFrame(housevalue.data) #放入DataFrame中便于查看
y = housevalue.target
print(X.shape)
X.columns = housevalue.feature_names
#3. 分训练集和测试集
Xtrain, Xtest, Ytrain, Ytest = train_test_split(X,y,test_size=0.3,random_state=420)
#重新建立索引
for i in [Xtrain, Xtest]:
i.index = range(i.shape[0])
#如果希望进行数据标准化,还记得应该怎么做吗?
#先用训练集训练标准化的类,然后用训练好的类分别转化训练集和测试集
#4. 建模
reg = LR().fit(Xtrain, Ytrain)
yhat = reg.predict(Xtest)
#5. 探索建好的模型
#reg.coef_ 参数w1,w2.....wn
print(reg.coef_)
#截距 reg.intercept_
print(reg.intercept_)