将正整数n表示成一系列正整数之和:n=n1+n2+…+nk,其中n1≥n2≥…≥nk≥1,k≥1。
正整数n的这种表示称为正整数n的划分。求正整数n的不同划分个数。
例如:正整数6有如下11种不同的划分:
6;
5+1;
4+2,4+1+1;
3+3,3+2+1,3+1+1+1;
2+2+2,2+2+1+1,2+1+1+1+1;
1+1+1+1+1+1。
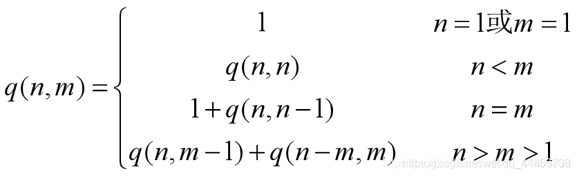
在本例中,如果设p(n)为正整数n的划分数,则难以找到递归关系,因此考虑增加一个自变量:将最大加数n1不大于m的划分个数记作q(n,m)。可以建立q(n,m)的如下递归关系。
#include<iostream>
using namespace std;
int q(int n, int m){
if(n < 1 || m < 1){
return 0;
}if(n == 1 || m == 1){
return 1;
}if(n < m){
return q(n,n);
}if(n == m){
return 1 + q(n, m-1);
}else{
return q(n, m-1)+q(n-m, m);
}
}
int main(){
int x = q(6,6);
cout << x << endl;
}

关键要理解n>m的情况。逐步减少,递归到其他情形中去
版权声明:本文为weixin_44469806原创文章,遵循 CC 4.0 BY-SA 版权协议,转载请附上原文出处链接和本声明。