概括之前学的:

上图中只有softmax做多分类回归还没接触,其他都接触过了,现在来讲讲Softmax回归如何做多分类,及它和逻辑回归做多分类的区别
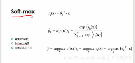
Softmax 做多分类

解读上图:借助下图的例子解读
对于第一个公式,和逻辑回归不同的是theta下面多了个k
-
k代表做的是几分类,如下图,做三分类
k=1的时候,此时的theta就是一列:w1,w2,w3,w4
k=2的时候,theta为一列:w5,w6,w7,w8
k=3 … …
对于第二个公式,和逻辑回归不同的是sigmoid函数不一样了,逻辑回归是1 / (1+e^-z),而
Softmax是上图的第二个公式,如下图例:
k = 1时,它的sigmoid函数结果就 = e^s1 / ( e ^s1 +e ^s2 +e ^s3)
版权声明:本文为qq_41386300原创文章,遵循 CC 4.0 BY-SA 版权协议,转载请附上原文出处链接和本声明。