数值分析MOOC期中考试题目及答案(后十题)
答案均为自己做之后记录的,如有错误,可留言反馈,因此产生的影响,后果自负哈!

解:答案选D


解:答案选A


解:答案选D


解:答案选A。根据牛顿迭代法的一般格式。

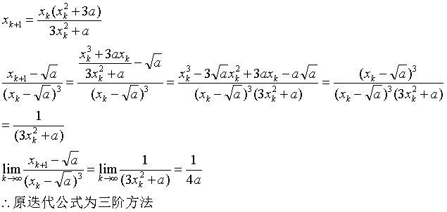
解:答案选C。构造矩阵收敛阶的定义,并化简。


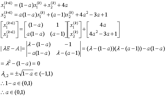
解:好像也有点问题,先留着,以后再看~欢迎大家评论哦,谢谢!


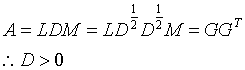
解:答案选A


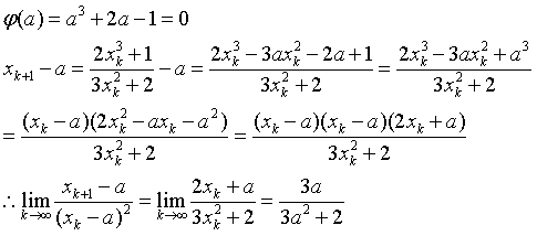
解:答案选C


解:答案选B


解:
版权声明:本文为qq_36770651原创文章,遵循 CC 4.0 BY-SA 版权协议,转载请附上原文出处链接和本声明。