RC低通滤波器

  • Post author:
  • Post category:其他


先来几个不错的资源链接:

1.RC滤波器截止频率在线计算器:

http://www.eechina.com/tools/rc_filter_cutoff_frequency.html

2.

详谈一阶RC低通滤波器如何过滤高频噪声(网上不错的一个帖子





http://www.elecfans.com/instrument/631912.html

3.【滤波器学习笔记】一阶RC低通滤波(下页截图来源)

https://blog.csdn.net/qq_27334499/article/details/52186336

先来一个高通和低通的对比:

一些概念的解释:

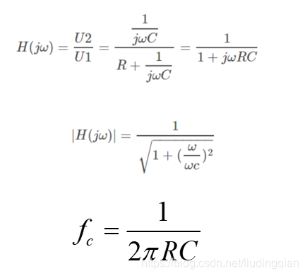
时间常数t = RC,而截止频率f = 1/(2 π RC)

时间常数和

截止频率

是从不同方面分析RC充电电路所用的描述量。

当我们从时域角度分析

RC电路

,我们会用RC充电常数。

当我们从频域角度分析

RC电路

(即RC滤波器),我们会用

截止频率

。当输入量的频率等于

截止频率

时,输出与输入的幅值之比为0.707,即增益为-3dB。

注意幅度关于频率的函数的变化趋势,其最大值是1.然后随着频率的增加而衰减,具体的解释参考【滤波器学习笔记】一阶RC低通滤波。

纸上得来终觉浅。实际来一个电路仿真验证一下,更直观的认识。

R=10K,C=700pF,由公式得截止频率Fc=22784Hz,做AC仿真(0~100kHz)(做AC分析,关于频率的分析时,理想输入源的频率设不设不影响)

从上图可知,最开始的增益基本就是0dB,在22784Hz时,增益的衰减是3dB,和理论差不多。



版权声明:本文为liudingqian原创文章,遵循 CC 4.0 BY-SA 版权协议,转载请附上原文出处链接和本声明。