Latex公式编号: 多行公式多编号,多行公式单编号

  • Post author:
  • Post category:其他



目录


多行公式多编号


多行公式单编号,编号居中


多行公式无编号


多行公式多编号,有的行没有编号


一行公式分多行写


情况(case)划分


大括号单编号


大括号多编号


提示:

  • \begin{align} 与 \begin{equation}不能同时使用
  • \begin{aligned} 只能与 \begin{equation}同时使用
  • 要想使用\begin{align},需要在 \begin{document} 之前插入\usepackage{amsmath}
  • \begin{align}的用法应该与\begin{gather}用法相同,区别是:

    • \begin{align}是默认右对齐,或者用 & 指定对齐位置
    • \begin{gather} 默认是居中对齐,不能与 & 结合使用

概括:

  • 导言区要加上,amsmath宏包
  • 如果想有编号,可以用gather,align
  • 如果想某一行没有编号,在用\\换行前使用\nonumber
  • 如果不想有编号,可以gather*,align*,或者在后面加上命令\notag
  • 如果想一行公式分开写,用split
  • 如果想选择判断,用cases
  • align,split,cases 的公式对齐,用&

这里主要介绍使用 \begin{align}的公式编号,以LSTM的公式为例子:

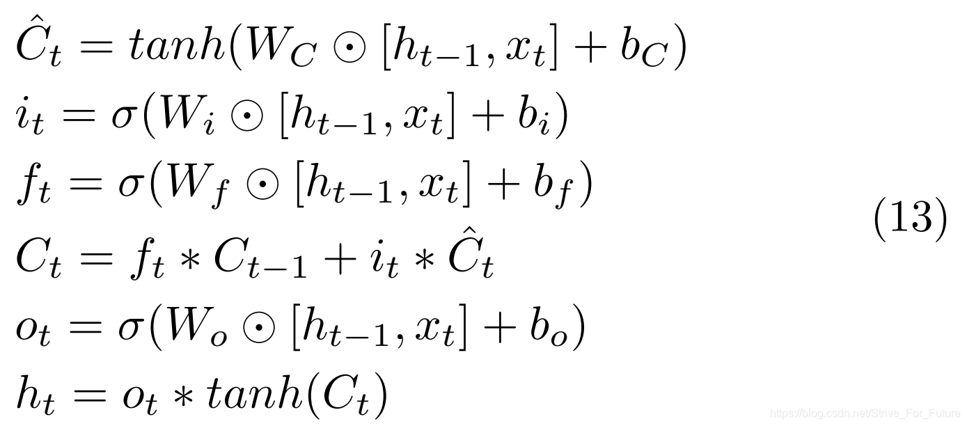
多行公式多编号

% 多行公式多编号
\begin{align}
\hat{C}_t &= tanh(W_C\odot[h_{t-1},x_t]+b_C) \\
i_t&=\sigma(W_i\odot[h_{t-1},x_t]+b_i) \\ 
f_t&=\sigma(W_f\odot[h_{t-1},x_t]+b_f) \\
C_t&=f_t * C_{t-1}+i_t * \hat{C}_t \\
o_t&=\sigma(W_o\odot[h_{t-1},x_t]+b_o) \\
h_t&=o_t * tanh(C_t)
\end{align}

实现效果:

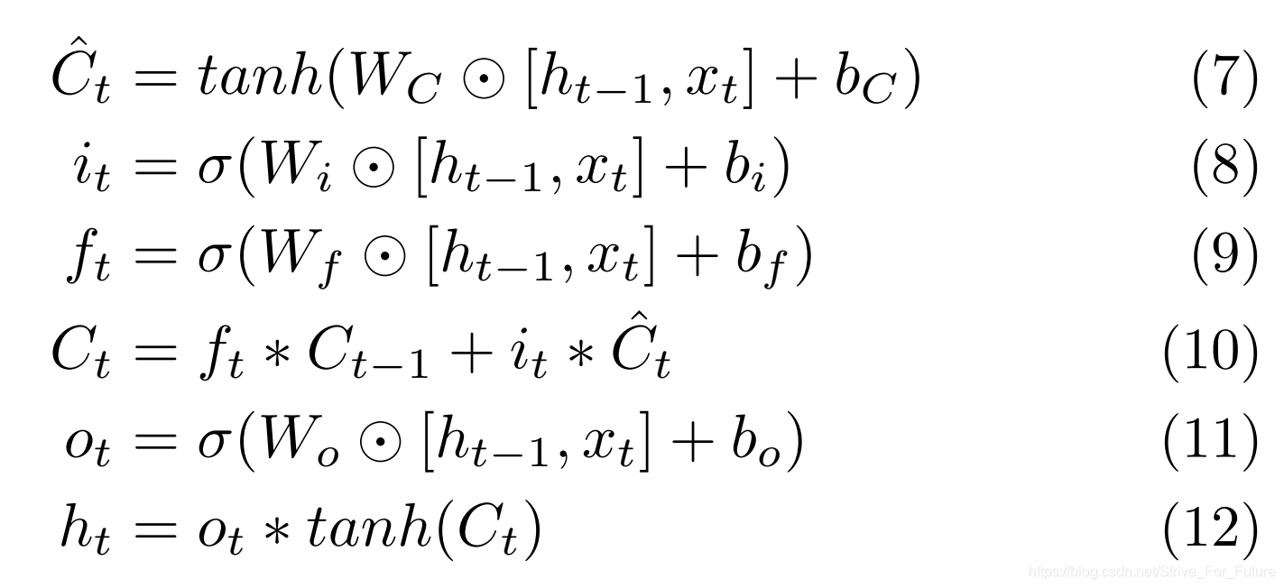
多行公式单编号,编号居中

% 多行公式单编号
\begin{equation}
\begin{aligned}
&\hat{C}_t = tanh(W_C\odot[h_{t-1},x_t]+b_C) \\
&i_t=\sigma(W_i\odot[h_{t-1},x_t]+b_i) \\ 
&f_t=\sigma(W_f\odot[h_{t-1},x_t]+b_f) \\
&C_t=f_t * C_{t-1}+i_t * \hat{C}_t \\
&o_t=\sigma(W_o\odot[h_{t-1},x_t]+b_o) \\
&h_t=o_t * tanh(C_t)
\end{aligned}
\end{equation}

实现效果:

多行公式无编号

% 多行公式无编号
\begin{align*}
\hat{C}_t &= tanh(W_C\odot[h_{t-1},x_t]+b_C) \\
i_t&=\sigma(W_i\odot[h_{t-1},x_t]+b_i) \\ 
f_t&=\sigma(W_f\odot[h_{t-1},x_t]+b_f) \\
C_t&=f_t * C_{t-1}+i_t * \hat{C}_t \\
o_t&=\sigma(W_o\odot[h_{t-1},x_t]+b_o) \\
h_t&=o_t * tanh(C_t)
\end{align*}

实现效果:

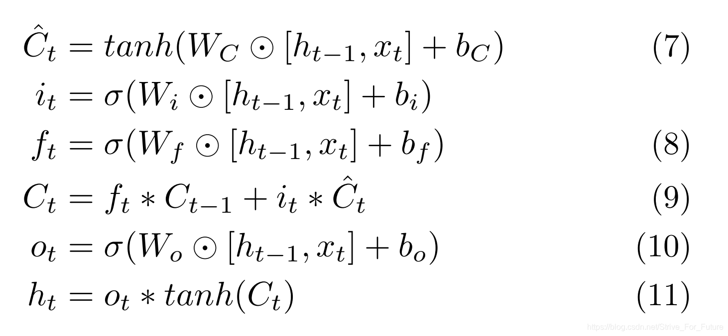
多行公式多编号,有的行没有编号

% 多行公式多编号,有的行没有编号
\begin{align}
\hat{C}_t &= tanh(W_C\odot[h_{t-1},x_t]+b_C) \\
i_t&=\sigma(W_i\odot[h_{t-1},x_t]+b_i)  \nonumber \\ 
f_t&=\sigma(W_f\odot[h_{t-1},x_t]+b_f) \\
C_t&=f_t * C_{t-1}+i_t * \hat{C}_t \\
o_t&=\sigma(W_o\odot[h_{t-1},x_t]+b_o) \\
h_t&=o_t * tanh(C_t)
\end{align}

实现效果:

一行公式分多行写

%split环境(用$对齐)(一个公式分为多行排版)
\begin{equation}
	\begin{split}
	\cos 2x &= \cos^2 x - \sin^2 x\\
	        &= 2\cos^2 x - 1
	\end{split}
\end{equation}

实现效果:

情况(case)划分

\begin{equation}
	D(x) = \begin{cases}
	      1, & if \ x \in Q \\
	      0, & if \ x \in R	
		   \end{cases}
\end{equation}

实现效果:

大括号单编号

\begin{align}
\left\{     %在equation环境下使用,用\left\{命令添加左大括号,用\right.以打点.结束
	\begin{aligned}
	x&=eq1\\
	y&=eq2+1
	\end{aligned}
\right.
\end{align}

实现效果:

大括号多编号

\usepackage{cases}

% 大括号多编号
\begin{numcases}{}
	x_1&=eq1 \label{eqsystem1} \\
	x_2+1&=eq2 \label{eqsystem2}
\end{numcases}

实现效果:

更多大括号与编号的情况参考:

latex多行公式加大括号、整体编号及多行编号及不同方法的区别

参考:

latex12-LaTeX数学公式的多行公式(一)



版权声明:本文为Strive_For_Future原创文章,遵循 CC 4.0 BY-SA 版权协议,转载请附上原文出处链接和本声明。