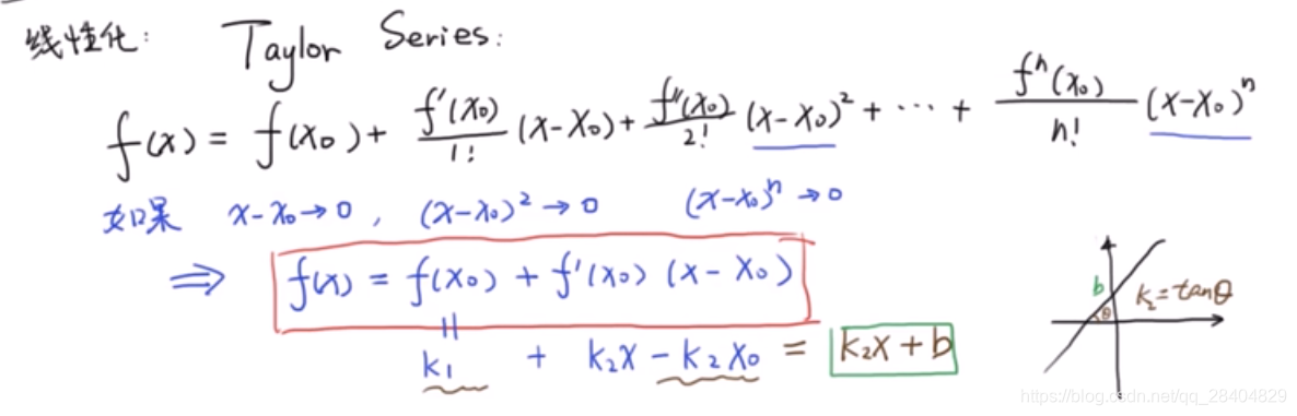
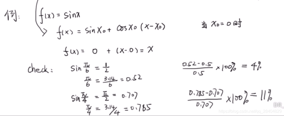
线性化 泰勒级数 泰勒公式
线性系统 Linear System
线性系统符合叠加原理


剩下内容跟计算机没关系… 我也没听懂,不写了
原视频:
https://www.bilibili.com/video/av15612072/?spm_id_from=333.788.videocard.0
版权声明:本文为qq_28404829原创文章,遵循 CC 4.0 BY-SA 版权协议,转载请附上原文出处链接和本声明。